Logo ROOT   6.14/05
Reference Guide
candlehisto.C File Reference

Detailed Description

View in nbviewer Open in SWAN Example showing how to combine the various candle plot options.

pict1_candlehisto.C.png
pict2_candlehisto.C.png
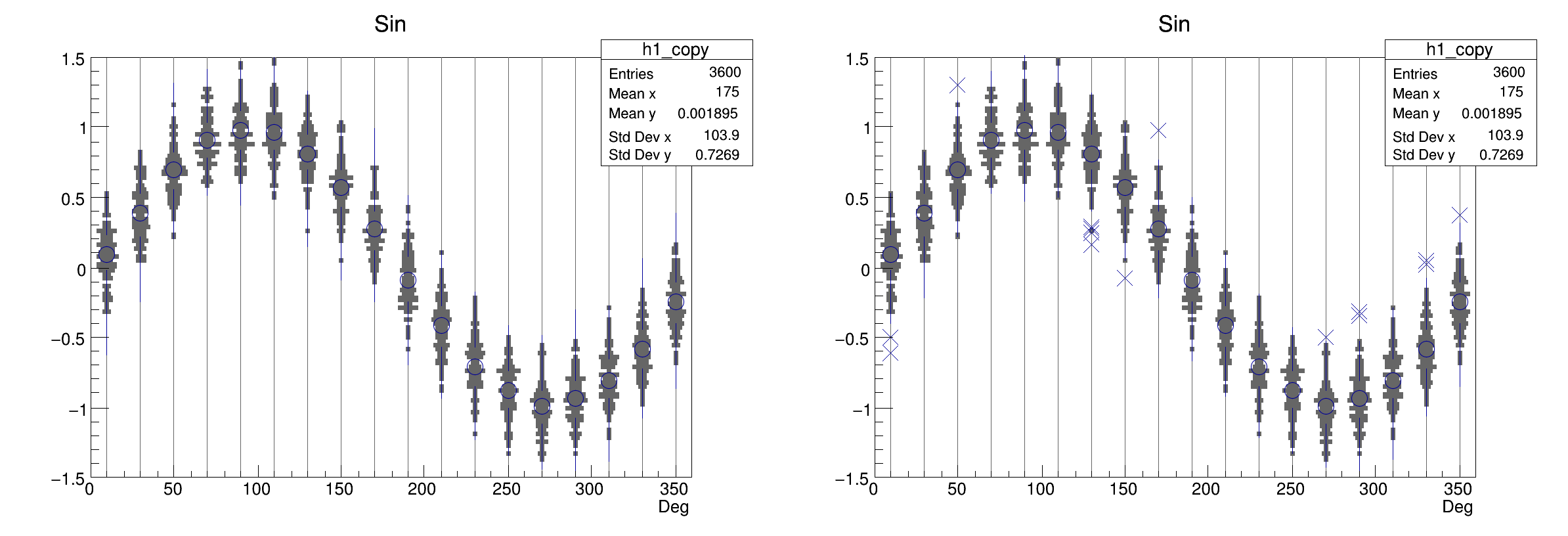
pict3_candlehisto.C.png
void candlehisto()
{
TCanvas *c1 = new TCanvas("c1", "Candle Presets", 800, 600);
c1->Divide(3, 2);
TRandom *rng = new TRandom();
TH2I *h1 = new TH2I("h1", "Sin", 18, 0, 360, 100, -1.5, 1.5);
h1->GetXaxis()->SetTitle("Deg");
float myRand;
for (int i = 0; i < 360; i+= 10) {
for (int j = 0; j < 100; j++) {
myRand = rng->Gaus(sin(i * 3.14 / 180), 0.2);
h1->Fill(i, myRand);
}
}
for (int i = 1; i < 7; i++) {
c1->cd(i);
TString title = TString::Format("CANDLEX%d", i);
TH2I *myhist = (TH2I*)h1->DrawCopy(title);
myhist->SetTitle(title);
}
TCanvas *c2 = new TCanvas("c2", "Violin Presets", 800, 300);
c2->Divide(2, 1);
for (int i = 1; i < 3; i++) {
c2->cd(i);
TString title = TString::Format("VIOLINX%d", i);
TH2I *myhist = (TH2I*)h1->DrawCopy(title);
myhist->SetFillColor(kGray + 2);
}
TCanvas *c3 = new TCanvas("c3", "Playing with candle and violin-options", 800, 600);
c3->Divide(3, 2);
TString myopt[6] = {"1000000", "2000000", "3000000", "1112111", "112111", "112111"};
for (int i = 0; i < 6; i++) {
c3->cd(i + 1);
TString title = TString::Format("candlex(%s)", myopt[i].Data());
TH2I *myhist = (TH2I*)h1->DrawCopy(title);
myhist->SetFillColor(kYellow);
if (i == 4) {
TH2I *myhist2 = (TH2I*)h1->DrawCopy("candlex(1000000) same");
myhist2->SetFillColor(kRed);
}
if (i == 5) {
myhist->SetBarWidth(0.2);
myhist->SetBarOffset(0.25);
TH2I *myhist2 = (TH2I*)h1->DrawCopy("candlex(2000000) same");
myhist2->SetFillColor(kRed);
myhist2->SetBarWidth(0.6);
myhist2->SetBarOffset(-0.5);
}
myhist->SetTitle(title);
}
}
Author
Georg Troska

Definition in file candlehisto.C.