Logo ROOT   6.14/05
Reference Guide
combinedFit.C File Reference

Detailed Description

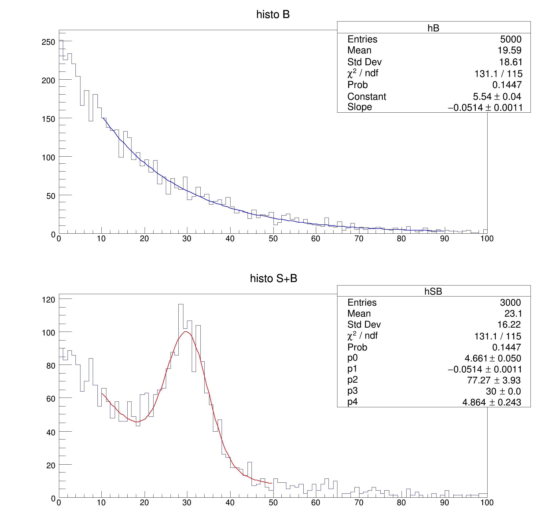
View in nbviewer Open in SWAN Combined (simultaneous) fit of two histogram with separate functions and some common parameters

See http://root.cern.ch/phpBB3//viewtopic.php?f=3&t=11740#p50908 for a modified version working with Fumili or GSLMultiFit

N.B. this macro must be compiled with ACliC

pict1_combinedFit.C.png
Processing /mnt/build/workspace/root-makedoc-v614/rootspi/rdoc/src/v6-14-00-patches/tutorials/fit/combinedFit.C...
****************************************
Minimizer is Minuit2 / Migrad
Chi2 = 131.104
NDf = 115
Edm = 2.11602e-08
NCalls = 225
Par_0 = 5.5396 +/- 0.0354094
Par_1 = 4.66089 +/- 0.050106
Par_2 = -0.0514037 +/- 0.00108539 (limited)
Par_3 = 77.2733 +/- 3.93105 (limited)
Par_4 = 30 (fixed)
Par_5 = 4.864 +/- 0.243005
#include "Fit/Fitter.h"
#include "Fit/BinData.h"
#include "Fit/Chi2FCN.h"
#include "TH1.h"
#include "TList.h"
#include "HFitInterface.h"
#include "TCanvas.h"
#include "TStyle.h"
// definition of shared parameter
// background function
int iparB[2] = { 0, // exp amplitude in B histo
2 // exp common parameter
};
// signal + background function
int iparSB[5] = { 1, // exp amplitude in S+B histo
2, // exp common parameter
3, // gaussian amplitude
4, // gaussian mean
5 // gaussian sigma
};
// Create the GlobalCHi2 structure
struct GlobalChi2 {
fChi2_1(&f1), fChi2_2(&f2) {}
// parameter vector is first background (in common 1 and 2)
// and then is signal (only in 2)
double operator() (const double *par) const {
double p1[2];
for (int i = 0; i < 2; ++i) p1[i] = par[iparB[i] ];
double p2[5];
for (int i = 0; i < 5; ++i) p2[i] = par[iparSB[i] ];
return (*fChi2_1)(p1) + (*fChi2_2)(p2);
}
};
void combinedFit() {
TH1D * hB = new TH1D("hB","histo B",100,0,100);
TH1D * hSB = new TH1D("hSB","histo S+B",100, 0,100);
TF1 * fB = new TF1("fB","expo",0,100);
fB->SetParameters(1,-0.05);
hB->FillRandom("fB");
TF1 * fS = new TF1("fS","gaus",0,100);
fS->SetParameters(1,30,5);
hSB->FillRandom("fB",2000);
hSB->FillRandom("fS",1000);
// perform now global fit
TF1 * fSB = new TF1("fSB","expo + gaus(2)",0,100);
// set the data range
rangeB.SetRange(10,90);
ROOT::Fit::BinData dataB(opt,rangeB);
ROOT::Fit::FillData(dataB, hB);
rangeSB.SetRange(10,50);
ROOT::Fit::BinData dataSB(opt,rangeSB);
ROOT::Fit::FillData(dataSB, hSB);
ROOT::Fit::Chi2Function chi2_B(dataB, wfB);
ROOT::Fit::Chi2Function chi2_SB(dataSB, wfSB);
GlobalChi2 globalChi2(chi2_B, chi2_SB);
const int Npar = 6;
double par0[Npar] = { 5,5,-0.1,100, 30,10};
// create before the parameter settings in order to fix or set range on them
fitter.Config().SetParamsSettings(6,par0);
// fix 5-th parameter
fitter.Config().ParSettings(4).Fix();
// set limits on the third and 4-th parameter
fitter.Config().ParSettings(2).SetLimits(-10,-1.E-4);
fitter.Config().ParSettings(3).SetLimits(0,10000);
fitter.Config().ParSettings(3).SetStepSize(5);
fitter.Config().SetMinimizer("Minuit2","Migrad");
// fit FCN function directly
// (specify optionally data size and flag to indicate that is a chi2 fit)
fitter.FitFCN(6,globalChi2,0,dataB.Size()+dataSB.Size(),true);
ROOT::Fit::FitResult result = fitter.Result();
result.Print(std::cout);
TCanvas * c1 = new TCanvas("Simfit","Simultaneous fit of two histograms",
10,10,700,700);
c1->Divide(1,2);
c1->cd(1);
gStyle->SetOptFit(1111);
fB->SetFitResult( result, iparB);
fB->SetRange(rangeB().first, rangeB().second);
fB->SetLineColor(kBlue);
hB->GetListOfFunctions()->Add(fB);
hB->Draw();
c1->cd(2);
fSB->SetFitResult( result, iparSB);
fSB->SetRange(rangeSB().first, rangeSB().second);
fSB->SetLineColor(kRed);
hSB->GetListOfFunctions()->Add(fSB);
hSB->Draw();
}
Author
Lorenzo Moneta

Definition in file combinedFit.C.