|
ROOT 6.14/05 Reference Guide |
This class allows to draw quantile-quantile plots.
Plots can be drawn for 2 datasets or for a dataset and a theoretical distribution function
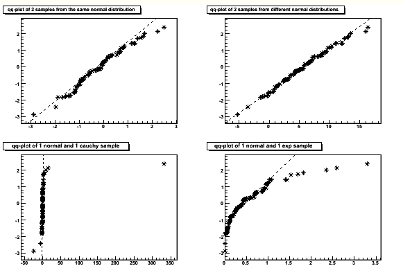
Quantile-quantile plots are used to determine whether 2 samples come from the same distribution. A qq-plot draws the quantiles of one dataset against the quantile of the the other. The quantiles of the dataset with fewer entries are on Y axis, with more entries - on X axis. A straight line, going through 0.25 and 0.75 quantiles is also plotted for reference. It represents a robust linear fit, not sensitive to the extremes of the datasets. If the datasets come from the same distribution, points of the plot should fall approximately on the 45 degrees line. If they have the same distribution function, but location or scale different parameters, they should still fall on the straight line, but not the 45 degrees one. The greater their departure from the straight line, the more evidence there is, that the datasets come from different distributions. The advantage of qq-plot is that it not only shows that the underlying distributions are different, but, unlike the analytical methods, it also gives information on the nature of this difference: heavier tails, different location/scale, different shape, etc.
Some examples of qqplots of 2 datasets:
Quantile-quantile plots are used to determine if the dataset comes from the specified theoretical distribution, such as normal. A qq-plot draws quantiles of the dataset against quantiles of the specified theoretical distribution. (NOTE, that density, not CDF should be specified) A straight line, going through 0.25 and 0.75 quantiles can also be plotted for reference. It represents a robust linear fit, not sensitive to the extremes of the dataset. As in the 2 datasets case, departures from straight line indicate departures from the specified distribution.
"The correlation coefficient associated with the linear fit to the data in the probability plot (qq plot in our case) is a measure of the goodness of the fit. Estimates of the location and scale parameters of the distribution are given by the intercept and slope. Probability plots can be generated for several competing distributions to see which provides the best fit, and the probability plot generating the highest correlation coefficient is the best choice since it generates the straightest probability plot."
From "Engineering statistic handbook",
http://www.itl.nist.gov/div898/handbook/eda/section3/probplot.htm
Example of a qq-plot of a dataset from N(3, 2) distribution and TMath::Gaus(0, 1) theoretical function. Fitting parameters are estimates of the distribution mean and sigma.
References:
http://www.itl.nist.gov/div898/handbook/eda/section3/qqplot.htm
http://www.itl.nist.gov/div898/handbook/eda/section3/probplot.htm
Definition at line 18 of file TGraphQQ.h.
Public Member Functions | |
| TGraphQQ () | |
| default constructor More... | |
| TGraphQQ (Int_t n, Double_t *x) | |
| Creates a quantile-quantile plot of dataset x. More... | |
| TGraphQQ (Int_t n, Double_t *x, TF1 *f) | |
| Creates a quantile-quantile plot of dataset x against function f. More... | |
| TGraphQQ (Int_t nx, Double_t *x, Int_t ny, Double_t *y) | |
| Creates a quantile-quantile plot of dataset x against dataset y Parameters nx and ny are respective array sizes. More... | |
| virtual | ~TGraphQQ () |
| Destroys a TGraphQQ. More... | |
| TF1 * | GetF () const |
| Double_t | GetXq1 () const |
| Double_t | GetXq2 () const |
| Double_t | GetYq1 () const |
| Double_t | GetYq2 () const |
| void | SetFunction (TF1 *f) |
| Sets the theoretical distribution function (density!) and computes its quantiles. More... | |
Public Member Functions inherited from TGraph | |
| TGraph () | |
| Graph default constructor. More... | |
| TGraph (Int_t n) | |
| Constructor with only the number of points set the arrays x and y will be set later. More... | |
| TGraph (Int_t n, const Int_t *x, const Int_t *y) | |
| Graph normal constructor with ints. More... | |
| TGraph (Int_t n, const Float_t *x, const Float_t *y) | |
| Graph normal constructor with floats. More... | |
| TGraph (Int_t n, const Double_t *x, const Double_t *y) | |
| Graph normal constructor with doubles. More... | |
| TGraph (const TGraph &gr) | |
| Copy constructor for this graph. More... | |
| TGraph (const TVectorF &vx, const TVectorF &vy) | |
| Graph constructor with two vectors of floats in input A graph is build with the X coordinates taken from vx and Y coord from vy The number of points in the graph is the minimum of number of points in vx and vy. More... | |
| TGraph (const TVectorD &vx, const TVectorD &vy) | |
| Graph constructor with two vectors of doubles in input A graph is build with the X coordinates taken from vx and Y coord from vy The number of points in the graph is the minimum of number of points in vx and vy. More... | |
| TGraph (const TH1 *h) | |
| Graph constructor importing its parameters from the TH1 object passed as argument. More... | |
| TGraph (const TF1 *f, Option_t *option="") | |
| Graph constructor importing its parameters from the TF1 object passed as argument. More... | |
| TGraph (const char *filename, const char *format="%lg %lg", Option_t *option="") | |
| Graph constructor reading input from filename. More... | |
| virtual | ~TGraph () |
| Graph default destructor. More... | |
| virtual void | Apply (TF1 *f) |
| Apply function f to all the data points f may be a 1-D function TF1 or 2-d function TF2 The Y values of the graph are replaced by the new values computed using the function. More... | |
| virtual void | Browse (TBrowser *b) |
| Browse. More... | |
| virtual Double_t | Chisquare (TF1 *f1, Option_t *option="") const |
| Return the chisquare of this graph with respect to f1. More... | |
| virtual void | ComputeRange (Double_t &xmin, Double_t &ymin, Double_t &xmax, Double_t &ymax) const |
| Compute the x/y range of the points in this graph. More... | |
| virtual Int_t | DistancetoPrimitive (Int_t px, Int_t py) |
| Compute distance from point px,py to a graph. More... | |
| virtual void | Draw (Option_t *chopt="") |
| Draw this graph with its current attributes. More... | |
| virtual void | DrawGraph (Int_t n, const Int_t *x, const Int_t *y, Option_t *option="") |
| Draw this graph with new attributes. More... | |
| virtual void | DrawGraph (Int_t n, const Float_t *x, const Float_t *y, Option_t *option="") |
| Draw this graph with new attributes. More... | |
| virtual void | DrawGraph (Int_t n, const Double_t *x=0, const Double_t *y=0, Option_t *option="") |
| Draw this graph with new attributes. More... | |
| virtual void | DrawPanel () |
| Display a panel with all graph drawing options. More... | |
| virtual Double_t | Eval (Double_t x, TSpline *spline=0, Option_t *option="") const |
| Interpolate points in this graph at x using a TSpline. More... | |
| virtual void | ExecuteEvent (Int_t event, Int_t px, Int_t py) |
| Execute action corresponding to one event. More... | |
| virtual void | Expand (Int_t newsize) |
| If array sizes <= newsize, expand storage to 2*newsize. More... | |
| virtual void | Expand (Int_t newsize, Int_t step) |
| If graph capacity is less than newsize points then make array sizes equal to least multiple of step to contain newsize points. More... | |
| virtual TObject * | FindObject (const char *name) const |
| Search object named name in the list of functions. More... | |
| virtual TObject * | FindObject (const TObject *obj) const |
| Search object obj in the list of functions. More... | |
| virtual TFitResultPtr | Fit (const char *formula, Option_t *option="", Option_t *goption="", Axis_t xmin=0, Axis_t xmax=0) |
| Fit this graph with function with name fname. More... | |
| virtual TFitResultPtr | Fit (TF1 *f1, Option_t *option="", Option_t *goption="", Axis_t xmin=0, Axis_t xmax=0) |
| Fit this graph with function f1. More... | |
| virtual void | FitPanel () |
| Display a GUI panel with all graph fit options. More... | |
| virtual Double_t | GetCorrelationFactor () const |
| Return graph correlation factor. More... | |
| virtual Double_t | GetCovariance () const |
| Return covariance of vectors x,y. More... | |
| Bool_t | GetEditable () const |
| Return kTRUE if kNotEditable bit is not set, kFALSE otherwise. More... | |
| virtual Double_t | GetErrorX (Int_t bin) const |
| This function is called by GraphFitChisquare. More... | |
| virtual Double_t | GetErrorXhigh (Int_t bin) const |
| This function is called by GraphFitChisquare. More... | |
| virtual Double_t | GetErrorXlow (Int_t bin) const |
| This function is called by GraphFitChisquare. More... | |
| virtual Double_t | GetErrorY (Int_t bin) const |
| This function is called by GraphFitChisquare. More... | |
| virtual Double_t | GetErrorYhigh (Int_t bin) const |
| This function is called by GraphFitChisquare. More... | |
| virtual Double_t | GetErrorYlow (Int_t bin) const |
| This function is called by GraphFitChisquare. More... | |
| virtual Double_t * | GetEX () const |
| virtual Double_t * | GetEXhigh () const |
| virtual Double_t * | GetEXhighd () const |
| virtual Double_t * | GetEXlow () const |
| virtual Double_t * | GetEXlowd () const |
| virtual Double_t * | GetEY () const |
| virtual Double_t * | GetEYhigh () const |
| virtual Double_t * | GetEYhighd () const |
| virtual Double_t * | GetEYlow () const |
| virtual Double_t * | GetEYlowd () const |
| TF1 * | GetFunction (const char *name) const |
| Return pointer to function with name. More... | |
| TH1F * | GetHistogram () const |
| Returns a pointer to the histogram used to draw the axis Takes into account the two following cases. More... | |
| TList * | GetListOfFunctions () const |
| Double_t | GetMaximum () const |
| Int_t | GetMaxSize () const |
| virtual Double_t | GetMean (Int_t axis=1) const |
| Return mean value of X (axis=1) or Y (axis=2) More... | |
| Double_t | GetMinimum () const |
| Int_t | GetN () const |
| virtual Int_t | GetPoint (Int_t i, Double_t &x, Double_t &y) const |
| Get x and y values for point number i. More... | |
| virtual Double_t | GetRMS (Int_t axis=1) const |
| Return RMS of X (axis=1) or Y (axis=2) More... | |
| Double_t * | GetX () const |
| TAxis * | GetXaxis () const |
| Get x axis of the graph. More... | |
| Double_t * | GetY () const |
| TAxis * | GetYaxis () const |
| Get y axis of the graph. More... | |
| virtual void | InitExpo (Double_t xmin=0, Double_t xmax=0) |
| Compute Initial values of parameters for an exponential. More... | |
| virtual void | InitGaus (Double_t xmin=0, Double_t xmax=0) |
| Compute Initial values of parameters for a gaussian. More... | |
| virtual void | InitPolynom (Double_t xmin=0, Double_t xmax=0) |
| Compute Initial values of parameters for a polynom. More... | |
| virtual Int_t | InsertPoint () |
| Insert a new point at the mouse position. More... | |
| virtual void | InsertPointBefore (Int_t ipoint, Double_t x, Double_t y) |
Insert a new point with coordinates (x,y) before the point number ipoint. More... | |
| virtual Double_t | Integral (Int_t first=0, Int_t last=-1) const |
| Integrate the TGraph data within a given (index) range. More... | |
| virtual Bool_t | IsEditable () const |
| virtual Int_t | IsInside (Double_t x, Double_t y) const |
| Return 1 if the point (x,y) is inside the polygon defined by the graph vertices 0 otherwise. More... | |
| virtual void | LeastSquareFit (Int_t m, Double_t *a, Double_t xmin=0, Double_t xmax=0) |
| Least squares polynomial fitting without weights. More... | |
| virtual void | LeastSquareLinearFit (Int_t n, Double_t &a0, Double_t &a1, Int_t &ifail, Double_t xmin=0, Double_t xmax=0) |
| Least square linear fit without weights. More... | |
| virtual Int_t | Merge (TCollection *list) |
| Adds all graphs from the collection to this graph. More... | |
| TGraph & | operator= (const TGraph &) |
| Equal operator for this graph. More... | |
| virtual void | Paint (Option_t *chopt="") |
| Draw this graph with its current attributes. More... | |
| void | PaintGraph (Int_t npoints, const Double_t *x, const Double_t *y, Option_t *chopt) |
| Draw the (x,y) as a graph. More... | |
| void | PaintGrapHist (Int_t npoints, const Double_t *x, const Double_t *y, Option_t *chopt) |
| Draw the (x,y) as a histogram. More... | |
| virtual void | PaintStats (TF1 *fit) |
| Draw the stats. More... | |
| virtual void | Print (Option_t *chopt="") const |
| Print graph values. More... | |
| virtual void | RecursiveRemove (TObject *obj) |
| Recursively remove object from the list of functions. More... | |
| virtual Int_t | RemovePoint () |
| Delete point close to the mouse position. More... | |
| virtual Int_t | RemovePoint (Int_t ipoint) |
| Delete point number ipoint. More... | |
| virtual void | SavePrimitive (std::ostream &out, Option_t *option="") |
| Save primitive as a C++ statement(s) on output stream out. More... | |
| virtual void | Set (Int_t n) |
| Set number of points in the graph Existing coordinates are preserved New coordinates above fNpoints are preset to 0. More... | |
| virtual void | SetEditable (Bool_t editable=kTRUE) |
| if editable=kFALSE, the graph cannot be modified with the mouse by default a TGraph is editable More... | |
| virtual void | SetHistogram (TH1F *h) |
| virtual void | SetMaximum (Double_t maximum=-1111) |
| Set the maximum of the graph. More... | |
| virtual void | SetMinimum (Double_t minimum=-1111) |
| Set the minimum of the graph. More... | |
| virtual void | SetName (const char *name="") |
| Set graph name. More... | |
| virtual void | SetNameTitle (const char *name="", const char *title="") |
| Set graph name and title. More... | |
| virtual void | SetPoint (Int_t i, Double_t x, Double_t y) |
| Set x and y values for point number i. More... | |
| virtual void | SetTitle (const char *title="") |
| Set graph title. More... | |
| virtual void | Sort (Bool_t(*greater)(const TGraph *, Int_t, Int_t)=&TGraph::CompareX, Bool_t ascending=kTRUE, Int_t low=0, Int_t high=-1111) |
| Sorts the points of this TGraph using in-place quicksort (see e.g. More... | |
| virtual void | UseCurrentStyle () |
| Set current style settings in this graph This function is called when either TCanvas::UseCurrentStyle or TROOT::ForceStyle have been invoked. More... | |
| void | Zero (Int_t &k, Double_t AZ, Double_t BZ, Double_t E2, Double_t &X, Double_t &Y, Int_t maxiterations) |
| Find zero of a continuous function. More... | |
Public Member Functions inherited from TNamed | |
| TNamed () | |
| TNamed (const char *name, const char *title) | |
| TNamed (const TString &name, const TString &title) | |
| TNamed (const TNamed &named) | |
| TNamed copy ctor. More... | |
| virtual | ~TNamed () |
| TNamed destructor. More... | |
| virtual void | Clear (Option_t *option="") |
| Set name and title to empty strings (""). More... | |
| virtual TObject * | Clone (const char *newname="") const |
| Make a clone of an object using the Streamer facility. More... | |
| virtual Int_t | Compare (const TObject *obj) const |
| Compare two TNamed objects. More... | |
| virtual void | Copy (TObject &named) const |
| Copy this to obj. More... | |
| virtual void | FillBuffer (char *&buffer) |
| Encode TNamed into output buffer. More... | |
| virtual const char * | GetName () const |
| Returns name of object. More... | |
| virtual const char * | GetTitle () const |
| Returns title of object. More... | |
| virtual ULong_t | Hash () const |
| Return hash value for this object. More... | |
| virtual Bool_t | IsSortable () const |
| virtual void | ls (Option_t *option="") const |
| List TNamed name and title. More... | |
| TNamed & | operator= (const TNamed &rhs) |
| TNamed assignment operator. More... | |
| virtual Int_t | Sizeof () const |
| Return size of the TNamed part of the TObject. More... | |
Public Member Functions inherited from TObject | |
| TObject () | |
| TObject constructor. More... | |
| TObject (const TObject &object) | |
| TObject copy ctor. More... | |
| virtual | ~TObject () |
| TObject destructor. More... | |
| void | AbstractMethod (const char *method) const |
| Use this method to implement an "abstract" method that you don't want to leave purely abstract. More... | |
| virtual void | AppendPad (Option_t *option="") |
| Append graphics object to current pad. More... | |
| ULong_t | CheckedHash () |
| Checked and record whether for this class has a consistent Hash/RecursiveRemove setup (*) and then return the regular Hash value for this object. More... | |
| virtual const char * | ClassName () const |
| Returns name of class to which the object belongs. More... | |
| virtual void | Delete (Option_t *option="") |
| Delete this object. More... | |
| virtual void | DrawClass () const |
| Draw class inheritance tree of the class to which this object belongs. More... | |
| virtual TObject * | DrawClone (Option_t *option="") const |
Draw a clone of this object in the current selected pad for instance with: gROOT->SetSelectedPad(gPad). More... | |
| virtual void | Dump () const |
| Dump contents of object on stdout. More... | |
| virtual void | Error (const char *method, const char *msgfmt,...) const |
| Issue error message. More... | |
| virtual void | Execute (const char *method, const char *params, Int_t *error=0) |
| Execute method on this object with the given parameter string, e.g. More... | |
| virtual void | Execute (TMethod *method, TObjArray *params, Int_t *error=0) |
| Execute method on this object with parameters stored in the TObjArray. More... | |
| virtual void | Fatal (const char *method, const char *msgfmt,...) const |
| Issue fatal error message. More... | |
| virtual Option_t * | GetDrawOption () const |
| Get option used by the graphics system to draw this object. More... | |
| virtual const char * | GetIconName () const |
| Returns mime type name of object. More... | |
| virtual char * | GetObjectInfo (Int_t px, Int_t py) const |
| Returns string containing info about the object at position (px,py). More... | |
| virtual Option_t * | GetOption () const |
| virtual UInt_t | GetUniqueID () const |
| Return the unique object id. More... | |
| virtual Bool_t | HandleTimer (TTimer *timer) |
| Execute action in response of a timer timing out. More... | |
| Bool_t | HasInconsistentHash () const |
| Return true is the type of this object is known to have an inconsistent setup for Hash and RecursiveRemove (i.e. More... | |
| virtual void | Info (const char *method, const char *msgfmt,...) const |
| Issue info message. More... | |
| virtual Bool_t | InheritsFrom (const char *classname) const |
| Returns kTRUE if object inherits from class "classname". More... | |
| virtual Bool_t | InheritsFrom (const TClass *cl) const |
| Returns kTRUE if object inherits from TClass cl. More... | |
| virtual void | Inspect () const |
| Dump contents of this object in a graphics canvas. More... | |
| void | InvertBit (UInt_t f) |
| virtual Bool_t | IsEqual (const TObject *obj) const |
| Default equal comparison (objects are equal if they have the same address in memory). More... | |
| virtual Bool_t | IsFolder () const |
| Returns kTRUE in case object contains browsable objects (like containers or lists of other objects). More... | |
| R__ALWAYS_INLINE Bool_t | IsOnHeap () const |
| R__ALWAYS_INLINE Bool_t | IsZombie () const |
| void | MayNotUse (const char *method) const |
| Use this method to signal that a method (defined in a base class) may not be called in a derived class (in principle against good design since a child class should not provide less functionality than its parent, however, sometimes it is necessary). More... | |
| virtual Bool_t | Notify () |
| This method must be overridden to handle object notification. More... | |
| void | Obsolete (const char *method, const char *asOfVers, const char *removedFromVers) const |
| Use this method to declare a method obsolete. More... | |
| void | operator delete (void *ptr) |
| Operator delete. More... | |
| void | operator delete[] (void *ptr) |
| Operator delete []. More... | |
| void * | operator new (size_t sz) |
| void * | operator new (size_t sz, void *vp) |
| void * | operator new[] (size_t sz) |
| void * | operator new[] (size_t sz, void *vp) |
| TObject & | operator= (const TObject &rhs) |
| TObject assignment operator. More... | |
| virtual void | Pop () |
| Pop on object drawn in a pad to the top of the display list. More... | |
| virtual Int_t | Read (const char *name) |
| Read contents of object with specified name from the current directory. More... | |
| void | ResetBit (UInt_t f) |
| virtual void | SaveAs (const char *filename="", Option_t *option="") const |
| Save this object in the file specified by filename. More... | |
| void | SetBit (UInt_t f, Bool_t set) |
| Set or unset the user status bits as specified in f. More... | |
| void | SetBit (UInt_t f) |
| virtual void | SetDrawOption (Option_t *option="") |
| Set drawing option for object. More... | |
| virtual void | SetUniqueID (UInt_t uid) |
| Set the unique object id. More... | |
| virtual void | SysError (const char *method, const char *msgfmt,...) const |
| Issue system error message. More... | |
| R__ALWAYS_INLINE Bool_t | TestBit (UInt_t f) const |
| Int_t | TestBits (UInt_t f) const |
| virtual void | Warning (const char *method, const char *msgfmt,...) const |
| Issue warning message. More... | |
| virtual Int_t | Write (const char *name=0, Int_t option=0, Int_t bufsize=0) |
| Write this object to the current directory. More... | |
| virtual Int_t | Write (const char *name=0, Int_t option=0, Int_t bufsize=0) const |
| Write this object to the current directory. More... | |
Public Member Functions inherited from TAttLine | |
| TAttLine () | |
| AttLine default constructor. More... | |
| TAttLine (Color_t lcolor, Style_t lstyle, Width_t lwidth) | |
| AttLine normal constructor. More... | |
| virtual | ~TAttLine () |
| AttLine destructor. More... | |
| void | Copy (TAttLine &attline) const |
| Copy this line attributes to a new TAttLine. More... | |
| Int_t | DistancetoLine (Int_t px, Int_t py, Double_t xp1, Double_t yp1, Double_t xp2, Double_t yp2) |
| Compute distance from point px,py to a line. More... | |
| virtual Color_t | GetLineColor () const |
| Return the line color. More... | |
| virtual Style_t | GetLineStyle () const |
| Return the line style. More... | |
| virtual Width_t | GetLineWidth () const |
| Return the line width. More... | |
| virtual void | Modify () |
| Change current line attributes if necessary. More... | |
| virtual void | ResetAttLine (Option_t *option="") |
| Reset this line attributes to default values. More... | |
| virtual void | SaveLineAttributes (std::ostream &out, const char *name, Int_t coldef=1, Int_t stydef=1, Int_t widdef=1) |
| Save line attributes as C++ statement(s) on output stream out. More... | |
| virtual void | SetLineAttributes () |
| Invoke the DialogCanvas Line attributes. More... | |
| virtual void | SetLineColor (Color_t lcolor) |
| Set the line color. More... | |
| virtual void | SetLineColorAlpha (Color_t lcolor, Float_t lalpha) |
| Set a transparent line color. More... | |
| virtual void | SetLineStyle (Style_t lstyle) |
| Set the line style. More... | |
| virtual void | SetLineWidth (Width_t lwidth) |
| Set the line width. More... | |
Public Member Functions inherited from TAttFill | |
| TAttFill () | |
| AttFill default constructor. More... | |
| TAttFill (Color_t fcolor, Style_t fstyle) | |
| AttFill normal constructor. More... | |
| virtual | ~TAttFill () |
| AttFill destructor. More... | |
| void | Copy (TAttFill &attfill) const |
| Copy this fill attributes to a new TAttFill. More... | |
| virtual Color_t | GetFillColor () const |
| Return the fill area color. More... | |
| virtual Style_t | GetFillStyle () const |
| Return the fill area style. More... | |
| virtual Bool_t | IsTransparent () const |
| virtual void | Modify () |
| Change current fill area attributes if necessary. More... | |
| virtual void | ResetAttFill (Option_t *option="") |
| Reset this fill attributes to default values. More... | |
| virtual void | SaveFillAttributes (std::ostream &out, const char *name, Int_t coldef=1, Int_t stydef=1001) |
| Save fill attributes as C++ statement(s) on output stream out. More... | |
| virtual void | SetFillAttributes () |
| Invoke the DialogCanvas Fill attributes. More... | |
| virtual void | SetFillColor (Color_t fcolor) |
| Set the fill area color. More... | |
| virtual void | SetFillColorAlpha (Color_t fcolor, Float_t falpha) |
| Set a transparent fill color. More... | |
| virtual void | SetFillStyle (Style_t fstyle) |
| Set the fill area style. More... | |
Public Member Functions inherited from TAttMarker | |
| TAttMarker () | |
| TAttMarker default constructor. More... | |
| TAttMarker (Color_t color, Style_t style, Size_t msize) | |
| TAttMarker normal constructor. More... | |
| virtual | ~TAttMarker () |
| TAttMarker destructor. More... | |
| void | Copy (TAttMarker &attmarker) const |
| Copy this marker attributes to a new TAttMarker. More... | |
| virtual Color_t | GetMarkerColor () const |
| Return the marker color. More... | |
| virtual Size_t | GetMarkerSize () const |
| Return the marker size. More... | |
| virtual Style_t | GetMarkerStyle () const |
| Return the marker style. More... | |
| virtual void | Modify () |
| Change current marker attributes if necessary. More... | |
| virtual void | ResetAttMarker (Option_t *toption="") |
| Reset this marker attributes to the default values. More... | |
| virtual void | SaveMarkerAttributes (std::ostream &out, const char *name, Int_t coldef=1, Int_t stydef=1, Int_t sizdef=1) |
| Save line attributes as C++ statement(s) on output stream out. More... | |
| virtual void | SetMarkerAttributes () |
| Invoke the DialogCanvas Marker attributes. More... | |
| virtual void | SetMarkerColor (Color_t mcolor=1) |
| Set the marker color. More... | |
| virtual void | SetMarkerColorAlpha (Color_t mcolor, Float_t malpha) |
| Set a transparent marker color. More... | |
| virtual void | SetMarkerSize (Size_t msize=1) |
| Set the marker size. More... | |
| virtual void | SetMarkerStyle (Style_t mstyle=1) |
| Set the marker style. More... | |
Protected Member Functions | |
| void | MakeFunctionQuantiles () |
| Computes quantiles of theoretical distribution function. More... | |
| void | MakeQuantiles () |
| When sample sizes are not equal, computes quantiles of the bigger sample by linear interpolation. More... | |
| void | Quartiles () |
| compute quartiles a quartile is a 25 per cent or 75 per cent quantile More... | |
Protected Member Functions inherited from TGraph | |
| virtual Double_t ** | Allocate (Int_t newsize) |
| Double_t ** | AllocateArrays (Int_t Narrays, Int_t arraySize) |
| Allocate arrays. More... | |
| virtual void | CopyAndRelease (Double_t **newarrays, Int_t ibegin, Int_t iend, Int_t obegin) |
| Copy points from fX and fY to arrays[0] and arrays[1] or to fX and fY if arrays == 0 and ibegin != iend. More... | |
| virtual Bool_t | CopyPoints (Double_t **newarrays, Int_t ibegin, Int_t iend, Int_t obegin) |
| Copy points from fX and fY to arrays[0] and arrays[1] or to fX and fY if arrays == 0 and ibegin != iend. More... | |
| Bool_t | CtorAllocate () |
| In constructors set fNpoints than call this method. More... | |
| virtual Bool_t | DoMerge (const TGraph *g) |
| protected function to perform the merge operation of a graph More... | |
| Double_t ** | ExpandAndCopy (Int_t size, Int_t iend) |
| if size > fMaxSize allocate new arrays of 2*size points and copy iend first points. More... | |
| virtual void | FillZero (Int_t begin, Int_t end, Bool_t from_ctor=kTRUE) |
| Set zero values for point arrays in the range [begin, end) Should be redefined in descendant classes. More... | |
| Double_t ** | ShrinkAndCopy (Int_t size, Int_t iend) |
| if size*2 <= fMaxSize allocate new arrays of size points, copy points [0,oend). More... | |
| virtual void | SwapPoints (Int_t pos1, Int_t pos2) |
| Swap points. More... | |
Protected Member Functions inherited from TObject | |
| virtual void | DoError (int level, const char *location, const char *fmt, va_list va) const |
| Interface to ErrorHandler (protected). More... | |
| void | MakeZombie () |
Protected Attributes | |
| TF1 * | fF |
| theoretical density function, if specified More... | |
| Int_t | fNy0 |
| size of the fY0 dataset More... | |
| Double_t | fXq1 |
| x1 coordinate of the interquartile line More... | |
| Double_t | fXq2 |
| x2 coordinate of the interquartile line More... | |
| Double_t * | fY0 |
| ! second dataset, if specified More... | |
| Double_t | fYq1 |
| y1 coordinate of the interquartile line More... | |
| Double_t | fYq2 |
| y2 coordinate of the interquartile line More... | |
Protected Attributes inherited from TGraph | |
| TList * | fFunctions |
| Pointer to list of functions (fits and user) More... | |
| TH1F * | fHistogram |
| Pointer to histogram used for drawing axis. More... | |
| Double_t | fMaximum |
| Maximum value for plotting along y. More... | |
| Int_t | fMaxSize |
| !Current dimension of arrays fX and fY More... | |
| Double_t | fMinimum |
| Minimum value for plotting along y. More... | |
| Int_t | fNpoints |
| Number of points <= fMaxSize. More... | |
| Double_t * | fX |
| [fNpoints] array of X points More... | |
| Double_t * | fY |
| [fNpoints] array of Y points More... | |
Protected Attributes inherited from TNamed | |
| TString | fName |
| TString | fTitle |
Protected Attributes inherited from TAttLine | |
| Color_t | fLineColor |
| Line color. More... | |
| Style_t | fLineStyle |
| Line style. More... | |
| Width_t | fLineWidth |
| Line width. More... | |
Protected Attributes inherited from TAttFill | |
| Color_t | fFillColor |
| Fill area color. More... | |
| Style_t | fFillStyle |
| Fill area style. More... | |
Protected Attributes inherited from TAttMarker | |
| Color_t | fMarkerColor |
| Marker color. More... | |
| Size_t | fMarkerSize |
| Marker size. More... | |
| Style_t | fMarkerStyle |
| Marker style. More... | |
Additional Inherited Members | |
Public Types inherited from TGraph | |
| enum | EStatusBits { kClipFrame = BIT(10), kResetHisto = BIT(17), kNotEditable = BIT(18), kIsSortedX = BIT(19) } |
Public Types inherited from TObject | |
| enum | { kIsOnHeap = 0x01000000, kNotDeleted = 0x02000000, kZombie = 0x04000000, kInconsistent = 0x08000000, kBitMask = 0x00ffffff } |
| enum | { kSingleKey = BIT(0), kOverwrite = BIT(1), kWriteDelete = BIT(2) } |
| enum | EDeprecatedStatusBits { kObjInCanvas = BIT(3) } |
| enum | EStatusBits { kCanDelete = BIT(0), kMustCleanup = BIT(3), kIsReferenced = BIT(4), kHasUUID = BIT(5), kCannotPick = BIT(6), kNoContextMenu = BIT(8), kInvalidObject = BIT(13) } |
Static Public Member Functions inherited from TGraph | |
| static Bool_t | CompareArg (const TGraph *gr, Int_t left, Int_t right) |
| Return kTRUE if point number "left"'s argument (angle with respect to positive x-axis) is bigger than that of point number "right". More... | |
| static Bool_t | CompareRadius (const TGraph *gr, Int_t left, Int_t right) |
| Return kTRUE if point number "left"'s distance to origin is bigger than that of point number "right". More... | |
| static Bool_t | CompareX (const TGraph *gr, Int_t left, Int_t right) |
| Return kTRUE if fX[left] > fX[right]. Can be used by Sort. More... | |
| static Bool_t | CompareY (const TGraph *gr, Int_t left, Int_t right) |
| Return kTRUE if fY[left] > fY[right]. Can be used by Sort. More... | |
Static Public Member Functions inherited from TObject | |
| static Long_t | GetDtorOnly () |
| Return destructor only flag. More... | |
| static Bool_t | GetObjectStat () |
| Get status of object stat flag. More... | |
| static void | SetDtorOnly (void *obj) |
| Set destructor only flag. More... | |
| static void | SetObjectStat (Bool_t stat) |
| Turn on/off tracking of objects in the TObjectTable. More... | |
Static Protected Member Functions inherited from TGraph | |
| static void | SwapValues (Double_t *arr, Int_t pos1, Int_t pos2) |
| Swap values. More... | |
#include <TGraphQQ.h>
| TGraphQQ::TGraphQQ | ( | ) |
default constructor
Definition at line 94 of file TGraphQQ.cxx.
Creates a quantile-quantile plot of dataset x.
Theoretical distribution function can be defined later by SetFunction method
Definition at line 110 of file TGraphQQ.cxx.
Creates a quantile-quantile plot of dataset x against function f.
Definition at line 131 of file TGraphQQ.cxx.
Creates a quantile-quantile plot of dataset x against dataset y Parameters nx and ny are respective array sizes.
Definition at line 150 of file TGraphQQ.cxx.
|
virtual |
Destroys a TGraphQQ.
Definition at line 200 of file TGraphQQ.cxx.
|
inline |
Definition at line 44 of file TGraphQQ.h.
|
inline |
Definition at line 40 of file TGraphQQ.h.
|
inline |
Definition at line 41 of file TGraphQQ.h.
|
inline |
Definition at line 42 of file TGraphQQ.h.
|
inline |
Definition at line 43 of file TGraphQQ.h.
|
protected |
Computes quantiles of theoretical distribution function.
Definition at line 211 of file TGraphQQ.cxx.
|
protected |
When sample sizes are not equal, computes quantiles of the bigger sample by linear interpolation.
Definition at line 243 of file TGraphQQ.cxx.
|
protected |
compute quartiles a quartile is a 25 per cent or 75 per cent quantile
Definition at line 266 of file TGraphQQ.cxx.
Sets the theoretical distribution function (density!) and computes its quantiles.
Definition at line 292 of file TGraphQQ.cxx.
|
protected |
theoretical density function, if specified
Definition at line 26 of file TGraphQQ.h.
|
protected |
size of the fY0 dataset
Definition at line 20 of file TGraphQQ.h.
|
protected |
x1 coordinate of the interquartile line
Definition at line 21 of file TGraphQQ.h.
|
protected |
x2 coordinate of the interquartile line
Definition at line 22 of file TGraphQQ.h.
|
protected |
! second dataset, if specified
Definition at line 25 of file TGraphQQ.h.
|
protected |
y1 coordinate of the interquartile line
Definition at line 23 of file TGraphQQ.h.
|
protected |
y2 coordinate of the interquartile line
Definition at line 24 of file TGraphQQ.h.