Logo ROOT  
Reference Guide
df017_vecOpsHEP.py File Reference

Namespaces

namespace  df017_vecOpsHEP
 

Detailed Description

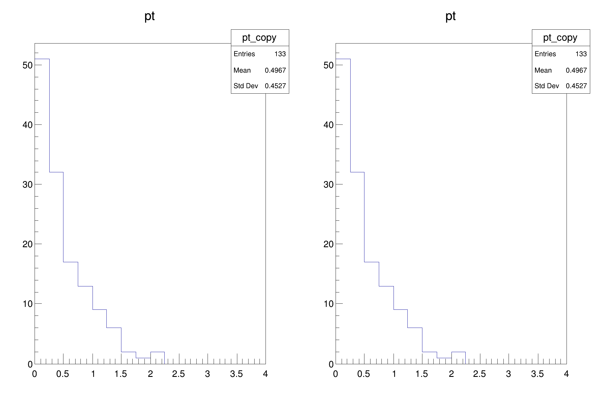
View in nbviewer Open in SWAN This tutorial shows how VecOps can be used to slim down the programming model typically adopted in HEP for analysis.

import ROOT
filename = ROOT.gROOT.GetTutorialDir().Data() + "/dataframe/df017_vecOpsHEP.root"
treename = "myDataset"
def WithPyROOT(filename):
from math import sqrt
f = ROOT.TFile(filename)
h = ROOT.TH1F("pt", "pt", 16, 0, 4)
for event in f.myDataset:
for E, px, py in zip(event.E, event.px, event.py):
if (E > 100):
h.Fill(sqrt(px*px + py*py))
h.DrawCopy()
def WithRDataFrameVecOpsJit(treename, filename):
f = ROOT.RDataFrame(treename, filename)
h = f.Define("good_pt", "sqrt(px*px + py*py)[E>100]")\
.Histo1D(("pt", "pt", 16, 0, 4), "good_pt")
h.DrawCopy()
## We plot twice the same quantity, the key is to look into the implementation
## of the functions above
c = ROOT.TCanvas()
c.Divide(2,1)
c.cd(1)
WithPyROOT(filename)
c.cd(2)
WithRDataFrameVecOpsJit(treename, filename)
double sqrt(double)
ROOT's RDataFrame offers a high level interface for analyses of data stored in TTrees,...
Definition: RDataFrame.hxx:42
Date
March 2018
Author
Danilo Piparo, Andre Vieira Silva

Definition in file df017_vecOpsHEP.py.