Logo ROOT  
Reference Guide
rf803_mcstudy_addons2.C File Reference

Detailed Description

View in nbviewer Open in SWAN

Validation and MC studies: RooMCStudy - Using the randomizer and profile likelihood add-on models

␛[1mRooFit v3.60 -- Developed by Wouter Verkerke and David Kirkby␛[0m
Copyright (C) 2000-2013 NIKHEF, University of California & Stanford University
All rights reserved, please read http://roofit.sourceforge.net/license.txt
[#0] PROGRESS:Generation -- RooMCStudy::run: sample 495
[#0] PROGRESS:Generation -- RooMCStudy::run: sample 490
[#0] PROGRESS:Generation -- RooMCStudy::run: sample 485
[#0] PROGRESS:Generation -- RooMCStudy::run: sample 480
[#0] PROGRESS:Generation -- RooMCStudy::run: sample 475
[#0] PROGRESS:Generation -- RooMCStudy::run: sample 470
[#0] PROGRESS:Generation -- RooMCStudy::run: sample 465
[#0] PROGRESS:Generation -- RooMCStudy::run: sample 460
[#0] PROGRESS:Generation -- RooMCStudy::run: sample 455
[#0] PROGRESS:Generation -- RooMCStudy::run: sample 450
[#0] PROGRESS:Generation -- RooMCStudy::run: sample 445
[#0] PROGRESS:Generation -- RooMCStudy::run: sample 440
[#0] PROGRESS:Generation -- RooMCStudy::run: sample 435
[#0] PROGRESS:Generation -- RooMCStudy::run: sample 430
[#0] PROGRESS:Generation -- RooMCStudy::run: sample 425
[#0] PROGRESS:Generation -- RooMCStudy::run: sample 420
[#0] PROGRESS:Generation -- RooMCStudy::run: sample 415
[#0] PROGRESS:Generation -- RooMCStudy::run: sample 410
[#0] PROGRESS:Generation -- RooMCStudy::run: sample 405
[#0] PROGRESS:Generation -- RooMCStudy::run: sample 400
[#0] PROGRESS:Generation -- RooMCStudy::run: sample 395
[#0] PROGRESS:Generation -- RooMCStudy::run: sample 390
[#0] PROGRESS:Generation -- RooMCStudy::run: sample 385
[#0] PROGRESS:Generation -- RooMCStudy::run: sample 380
[#0] PROGRESS:Generation -- RooMCStudy::run: sample 375
[#0] PROGRESS:Generation -- RooMCStudy::run: sample 370
[#0] PROGRESS:Generation -- RooMCStudy::run: sample 365
[#0] PROGRESS:Generation -- RooMCStudy::run: sample 360
[#0] PROGRESS:Generation -- RooMCStudy::run: sample 355
[#0] PROGRESS:Generation -- RooMCStudy::run: sample 350
[#0] PROGRESS:Generation -- RooMCStudy::run: sample 345
[#0] PROGRESS:Generation -- RooMCStudy::run: sample 340
[#0] PROGRESS:Generation -- RooMCStudy::run: sample 335
[#0] PROGRESS:Generation -- RooMCStudy::run: sample 330
[#0] PROGRESS:Generation -- RooMCStudy::run: sample 325
[#0] PROGRESS:Generation -- RooMCStudy::run: sample 320
[#0] PROGRESS:Generation -- RooMCStudy::run: sample 315
[#0] PROGRESS:Generation -- RooMCStudy::run: sample 310
[#0] PROGRESS:Generation -- RooMCStudy::run: sample 305
[#0] PROGRESS:Generation -- RooMCStudy::run: sample 300
[#0] PROGRESS:Generation -- RooMCStudy::run: sample 295
[#0] PROGRESS:Generation -- RooMCStudy::run: sample 290
[#0] PROGRESS:Generation -- RooMCStudy::run: sample 285
[#0] PROGRESS:Generation -- RooMCStudy::run: sample 280
[#0] PROGRESS:Generation -- RooMCStudy::run: sample 275
[#0] PROGRESS:Generation -- RooMCStudy::run: sample 270
[#0] PROGRESS:Generation -- RooMCStudy::run: sample 265
[#0] PROGRESS:Generation -- RooMCStudy::run: sample 260
[#0] PROGRESS:Generation -- RooMCStudy::run: sample 255
[#0] PROGRESS:Generation -- RooMCStudy::run: sample 250
[#0] PROGRESS:Generation -- RooMCStudy::run: sample 245
[#0] PROGRESS:Generation -- RooMCStudy::run: sample 240
[#0] PROGRESS:Generation -- RooMCStudy::run: sample 235
[#0] PROGRESS:Generation -- RooMCStudy::run: sample 230
[#0] PROGRESS:Generation -- RooMCStudy::run: sample 225
[#0] PROGRESS:Generation -- RooMCStudy::run: sample 220
[#0] PROGRESS:Generation -- RooMCStudy::run: sample 215
[#0] PROGRESS:Generation -- RooMCStudy::run: sample 210
[#0] PROGRESS:Generation -- RooMCStudy::run: sample 205
[#0] PROGRESS:Generation -- RooMCStudy::run: sample 200
[#0] PROGRESS:Generation -- RooMCStudy::run: sample 195
[#0] PROGRESS:Generation -- RooMCStudy::run: sample 190
[#0] PROGRESS:Generation -- RooMCStudy::run: sample 185
[#0] PROGRESS:Generation -- RooMCStudy::run: sample 180
[#0] PROGRESS:Generation -- RooMCStudy::run: sample 175
[#0] PROGRESS:Generation -- RooMCStudy::run: sample 170
[#0] PROGRESS:Generation -- RooMCStudy::run: sample 165
[#0] PROGRESS:Generation -- RooMCStudy::run: sample 160
[#0] PROGRESS:Generation -- RooMCStudy::run: sample 155
[#0] PROGRESS:Generation -- RooMCStudy::run: sample 150
[#0] PROGRESS:Generation -- RooMCStudy::run: sample 145
[#0] PROGRESS:Generation -- RooMCStudy::run: sample 140
[#0] PROGRESS:Generation -- RooMCStudy::run: sample 135
[#0] PROGRESS:Generation -- RooMCStudy::run: sample 130
[#0] PROGRESS:Generation -- RooMCStudy::run: sample 125
[#0] PROGRESS:Generation -- RooMCStudy::run: sample 120
[#0] PROGRESS:Generation -- RooMCStudy::run: sample 115
[#0] PROGRESS:Generation -- RooMCStudy::run: sample 110
[#0] PROGRESS:Generation -- RooMCStudy::run: sample 105
[#0] PROGRESS:Generation -- RooMCStudy::run: sample 100
[#0] PROGRESS:Generation -- RooMCStudy::run: sample 95
[#0] PROGRESS:Generation -- RooMCStudy::run: sample 90
[#0] PROGRESS:Generation -- RooMCStudy::run: sample 85
[#0] PROGRESS:Generation -- RooMCStudy::run: sample 80
[#0] PROGRESS:Generation -- RooMCStudy::run: sample 75
[#0] PROGRESS:Generation -- RooMCStudy::run: sample 70
[#0] PROGRESS:Generation -- RooMCStudy::run: sample 65
[#0] PROGRESS:Generation -- RooMCStudy::run: sample 60
[#0] PROGRESS:Generation -- RooMCStudy::run: sample 55
[#0] PROGRESS:Generation -- RooMCStudy::run: sample 50
[#0] PROGRESS:Generation -- RooMCStudy::run: sample 45
[#0] PROGRESS:Generation -- RooMCStudy::run: sample 40
[#0] PROGRESS:Generation -- RooMCStudy::run: sample 35
[#0] PROGRESS:Generation -- RooMCStudy::run: sample 30
[#0] PROGRESS:Generation -- RooMCStudy::run: sample 25
[#0] PROGRESS:Generation -- RooMCStudy::run: sample 20
[#0] PROGRESS:Generation -- RooMCStudy::run: sample 15
[#0] PROGRESS:Generation -- RooMCStudy::run: sample 10
[#0] PROGRESS:Generation -- RooMCStudy::run: sample 5
[#0] PROGRESS:Generation -- RooMCStudy::run: sample 0
[#0] WARNING:Generation -- Fit parameter 'mtop' does not have an error. A pull distribution cannot be generated. This might be caused by the parameter being constant or because the fits were not run.
[#0] WARNING:Generation -- Fit parameter 'wtop' does not have an error. A pull distribution cannot be generated. This might be caused by the parameter being constant or because the fits were not run.
#include "RooRealVar.h"
#include "RooDataSet.h"
#include "RooGaussian.h"
#include "RooConstVar.h"
#include "RooChebychev.h"
#include "RooAddPdf.h"
#include "RooMCStudy.h"
#include "RooPlot.h"
#include "TCanvas.h"
#include "TAxis.h"
#include "TH1.h"
#include "TDirectory.h"
using namespace RooFit;
void rf803_mcstudy_addons2()
{
// C r e a t e m o d e l
// -----------------------
// Simulation of signal and background of top quark decaying into
// 3 jets with background
// Observable
RooRealVar mjjj("mjjj", "m(3jet) (GeV)", 100, 85., 350.);
// Signal component (Gaussian)
RooRealVar mtop("mtop", "m(top)", 162);
RooRealVar wtop("wtop", "m(top) resolution", 15.2);
RooGaussian sig("sig", "top signal", mjjj, mtop, wtop);
// Background component (Chebychev)
RooRealVar c0("c0", "Chebychev coefficient 0", -0.846, -1., 1.);
RooRealVar c1("c1", "Chebychev coefficient 1", 0.112, -1., 1.);
RooRealVar c2("c2", "Chebychev coefficient 2", 0.076, -1., 1.);
RooChebychev bkg("bkg", "combinatorial background", mjjj, RooArgList(c0, c1, c2));
// Composite model
RooRealVar nsig("nsig", "number of signal events", 53, 0, 1e3);
RooRealVar nbkg("nbkg", "number of background events", 103, 0, 5e3);
RooAddPdf model("model", "model", RooArgList(sig, bkg), RooArgList(nsig, nbkg));
// C r e a t e m a n a g e r
// ---------------------------
// Configure manager to perform binned extended likelihood fits (Binned(),Extended()) on data generated
// with a Poisson fluctuation on Nobs (Extended())
RooMCStudy *mcs = new RooMCStudy(model, mjjj, Binned(), Silence(), Extended(kTRUE),
// C u s t o m i z e m a n a g e r
// ---------------------------------
// Add module that randomizes the summed value of nsig+nbkg
// sampling from a uniform distribution between 0 and 1000
//
// In general one can randomize a single parameter, or a
// sum of N parameters, using either a uniform or a Gaussian
// distribution. Multiple randomization can be executed
// by a single randomizer module
randModule.sampleSumUniform(RooArgSet(nsig, nbkg), 50, 500);
mcs->addModule(randModule);
// Add profile likelihood calculation of significance. Redo each
// fit while keeping parameter nsig fixed to zero. For each toy,
// the difference in -log(L) of both fits is stored, as well
// a simple significance interpretation of the delta(-logL)
// using Dnll = 0.5 sigma^2
RooDLLSignificanceMCSModule sigModule(nsig, 0);
mcs->addModule(sigModule);
// R u n m a n a g e r , m a k e p l o t s
// ---------------------------------------------
// Run 1000 experiments. This configuration will generate a fair number
// of (harmless) MINUIT warnings due to the instability of the Chebychev polynomial fit
// at low statistics.
mcs->generateAndFit(500);
// Make some plots
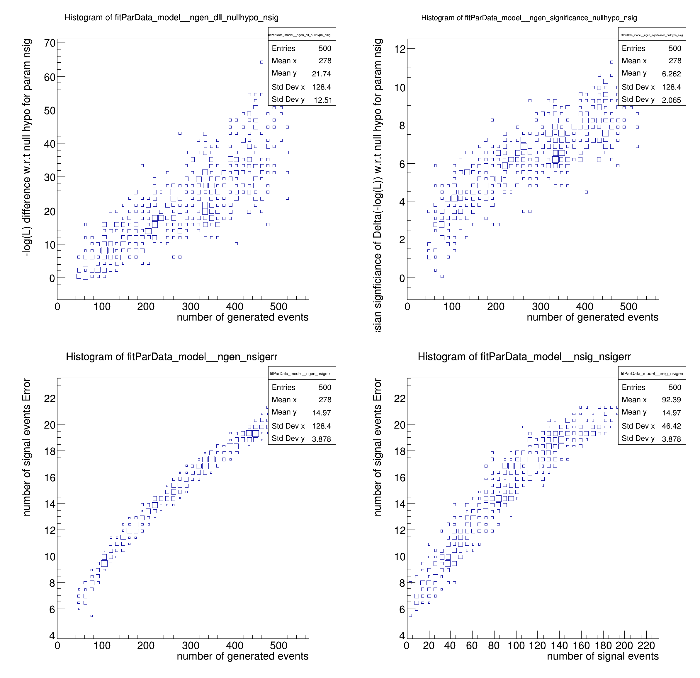
TH1 *dll_vs_ngen = mcs->fitParDataSet().createHistogram("ngen,dll_nullhypo_nsig", -40, -40);
TH1 *z_vs_ngen = mcs->fitParDataSet().createHistogram("ngen,significance_nullhypo_nsig", -40, -40);
TH1 *errnsig_vs_ngen = mcs->fitParDataSet().createHistogram("ngen,nsigerr", -40, -40);
TH1 *errnsig_vs_nsig = mcs->fitParDataSet().createHistogram("nsig,nsigerr", -40, -40);
// Draw plots on canvas
TCanvas *c = new TCanvas("rf803_mcstudy_addons2", "rf802_mcstudy_addons2", 800, 800);
c->Divide(2, 2);
c->cd(1);
gPad->SetLeftMargin(0.15);
dll_vs_ngen->GetYaxis()->SetTitleOffset(1.6);
dll_vs_ngen->Draw("box");
c->cd(2);
gPad->SetLeftMargin(0.15);
z_vs_ngen->GetYaxis()->SetTitleOffset(1.6);
z_vs_ngen->Draw("box");
c->cd(3);
gPad->SetLeftMargin(0.15);
errnsig_vs_ngen->GetYaxis()->SetTitleOffset(1.6);
errnsig_vs_ngen->Draw("box");
c->cd(4);
gPad->SetLeftMargin(0.15);
errnsig_vs_nsig->GetYaxis()->SetTitleOffset(1.6);
errnsig_vs_nsig->Draw("box");
// Make RooMCStudy object available on command line after
// macro finishes
gDirectory->Add(mcs);
}
#define c(i)
Definition: RSha256.hxx:101
const Bool_t kTRUE
Definition: RtypesCore.h:89
#define gDirectory
Definition: TDirectory.h:229
#define gPad
Definition: TVirtualPad.h:287
RooAddPdf is an efficient implementation of a sum of PDFs of the form.
Definition: RooAddPdf.h:29
RooArgList is a container object that can hold multiple RooAbsArg objects.
Definition: RooArgList.h:21
RooArgSet is a container object that can hold multiple RooAbsArg objects.
Definition: RooArgSet.h:28
Chebychev polynomial p.d.f.
Definition: RooChebychev.h:25
RooDLLSignificanceMCSModule is an add-on modules to RooMCStudy that calculates the significance of a ...
TH2F * createHistogram(const RooAbsRealLValue &var1, const RooAbsRealLValue &var2, const char *cuts="", const char *name="hist") const
Create a TH2F histogram of the distribution of the specified variable using this dataset.
Plain Gaussian p.d.f.
Definition: RooGaussian.h:25
RooMCStudy is a helper class to facilitate Monte Carlo studies such as 'goodness-of-fit' studies,...
Definition: RooMCStudy.h:32
const RooDataSet & fitParDataSet()
Return a RooDataSet containing the post-fit parameters of each toy cycle.
Definition: RooMCStudy.cxx:980
Bool_t generateAndFit(Int_t nSamples, Int_t nEvtPerSample=0, Bool_t keepGenData=kFALSE, const char *asciiFilePat=0)
Generate and fit 'nSamples' samples of 'nEvtPerSample' events.
Definition: RooMCStudy.cxx:659
void addModule(RooAbsMCStudyModule &module)
Insert given RooMCStudy add-on module to the processing chain of this MCStudy object.
Definition: RooMCStudy.cxx:444
RooRandomizeParamMCSModule is an add-on modules to RooMCStudy that allows you to randomize input gene...
void sampleSumUniform(const RooArgSet &paramSet, Double_t lo, Double_t hi)
Request uniform smearing of sum of parameters in paramSet uniform smearing in range [lo,...
RooRealVar represents a variable that can be changed from the outside.
Definition: RooRealVar.h:35
virtual void SetTitleOffset(Float_t offset=1)
Set distance between the axis and the axis title.
Definition: TAttAxis.cxx:294
The Canvas class.
Definition: TCanvas.h:27
The TH1 histogram class.
Definition: TH1.h:56
TAxis * GetYaxis()
Definition: TH1.h:317
virtual void Draw(Option_t *option="")
Draw this histogram with options.
Definition: TH1.cxx:2998
RooCmdArg Binned(Bool_t flag=kTRUE)
RooCmdArg Silence(Bool_t flag=kTRUE)
RooCmdArg Extended(Bool_t flag=kTRUE)
RooCmdArg PrintEvalErrors(Int_t numErrors)
RooCmdArg FitOptions(const char *opts)
return c1
Definition: legend1.C:41
return c2
Definition: legend2.C:14
The namespace RooFit contains mostly switches that change the behaviour of functions of PDFs (or othe...
Date
07/2008
Author
Wouter Verkerke

Definition in file rf803_mcstudy_addons2.C.