Logo ROOT  
Reference Guide
 
Loading...
Searching...
No Matches
OneSidedFrequentistUpperLimitWithBands.C File Reference

Detailed Description

View in nbviewer Open in SWAN
OneSidedFrequentistUpperLimitWithBands

This is a standard demo that can be used with any ROOT file prepared in the standard way. You specify:

  • name for input ROOT file
  • name of workspace inside ROOT file that holds model and data
  • name of ModelConfig that specifies details for calculator tools
  • name of dataset

With default parameters the macro will attempt to run the standard hist2workspace example and read the ROOT file that it produces.

The first ~100 lines define a new test statistic, then the main macro starts. You may want to control:

double confidenceLevel=0.95;
int nPointsToScan = 12;
int nToyMC = 150;

This uses a modified version of the profile likelihood ratio as a test statistic for upper limits (eg. test stat = 0 if muhat>mu).

Based on the observed data, one defines a set of parameter points to be tested based on the value of the parameter of interest and the conditional MLE (eg. profiled) values of the nuisance parameters.

At each parameter point, pseudo-experiments are generated using this fixed reference model and then the test statistic is evaluated. Note, the nuisance parameters are floating in the fits. For each point, the threshold that defines the 95% acceptance region is found. This forms a "Confidence Belt".

After constructing the confidence belt, one can find the confidence interval for any particular dataset by finding the intersection of the observed test statistic and the confidence belt. First this is done on the observed data to get an observed 1-sided upper limt.

Finally, there expected limit and bands (from background-only) are formed by generating background-only data and finding the upper limit. This is done by hand for now, will later be part of the RooStats tools.

On a technical note, this technique is NOT the Feldman-Cousins technique, because that is a 2-sided interval BY DEFINITION. However, like the Feldman-Cousins technique this is a Neyman-Construction. For technical reasons the easiest way to implement this right now is to use the FeldmanCousins tool and then change the test statistic that it is using.

Building the confidence belt can be computationally expensive. Once it is built, one could save it to a file and use it in a separate step.

We can use PROOF to speed things along in parallel, however, the test statistic has to be installed on the workers so either turn off PROOF or include the modified test statistic in your $ROOTSYS/roofit/roostats/inc directory, add the additional line to the LinkDef.h file, and recompile root.

Note, if you have a boundary on the parameter of interest (eg. cross-section) the threshold on the one-sided test statistic starts off very small because we are only including downward fluctuations. You can see the threshold in these printouts:

[#0] PROGRESS:Generation -- generated toys: 500 / 999
NeymanConstruction: Prog: 12/50 total MC = 39 this test stat = 0
SigXsecOverSM=0.69 alpha_syst1=0.136515 alpha_syst3=0.425415 beta_syst2=1.08496 [-1e+30, 0.011215] in interval = 1
#define e(i)
Definition RSha256.hxx:103
static unsigned int total
Definition test.py:1

this tells you the values of the parameters being used to generate the pseudo-experiments and the threshold in this case is 0.011215. One would expect for 95% that the threshold would be ~1.35 once the cross-section is far enough away from 0 that it is essentially unaffected by the boundary. As one reaches the last points in the scan, the theshold starts to get artificially high. This is because the range of the parameter in the fit is the same as the range in the scan. In the future, these should be independently controlled, but they are not now. As a result the ~50% of pseudo-experiments that have an upward fluctuation end up with muhat = muMax. Because of this, the upper range of the parameter should be well above the expected upper limit... but not too high or one will need a very large value of nPointsToScan to resolve the relevant region. This can be improved, but this is the first version of this script.

Important note: when the model includes external constraint terms, like a Gaussian constraint to a nuisance parameter centered around some nominal value there is a subtlety. The asymptotic results are all based on the assumption that all the measurements fluctuate... including the nominal values from auxiliary measurements. If these do not fluctuate, this corresponds to an "conditional ensemble". The result is that the distribution of the test statistic can become very non-chi^2. This results in thresholds that become very large. This can be seen in the following thought experiment. Say the model is \( Pois(N | s + b)G(b0|b,sigma) \) where \( G(b0|b,sigma) \) is the external constraint and b0 is 100. If N is also 100 then the profiled value of b given s is going to be some trade off between 100-s and b0. If sigma is \( \sqrt(N) \), then the profiled value of b is probably 100 - s/2 So for s=60 we are going to have a profiled value of b~70. Now when we generate pseudo-experiments for s=60, b=70 we will have N~130 and the average shat will be 30, not 60. In practice, this is only an issue for values of s that are very excluded. For values of s near the 95% limit this should not be a big effect. This can be avoided if the nominal values of the constraints also fluctuate, but that requires that those parameters are RooRealVars in the model. This version does not deal with this issue, but it will be addressed in a future version.

FeldmanCousins: ntoys per point = 499
FeldmanCousins: nEvents per toy will fluctuate about expectation
will use global observables for unconditional ensemble
RooArgSet:: = (nominalLumi,nom_alpha_syst1,nom_alpha_syst2,nom_alpha_syst3,nom_gamma_stat_channel1_bin_0,nom_gamma_stat_channel1_bin_1)
=== Using the following for ModelConfig ===
Observables: RooArgSet:: = (obs_x_channel1,channelCat)
Parameters of Interest: RooArgSet:: = (SigXsecOverSM)
Nuisance Parameters: RooArgSet:: = (alpha_syst2,alpha_syst3,gamma_stat_channel1_bin_0,gamma_stat_channel1_bin_1)
Global Observables: RooArgSet:: = (nominalLumi,nom_alpha_syst1,nom_alpha_syst2,nom_alpha_syst3,nom_gamma_stat_channel1_bin_0,nom_gamma_stat_channel1_bin_1)
PDF: RooSimultaneous::simPdf[ indexCat=channelCat channel1=model_channel1 ] = 0.190787
FeldmanCousins: Model has nuisance parameters, will do profile construction
FeldmanCousins: # points to test = 12
lookup index = 0
NeymanConstruction: Prog: 1/12 total MC = 499 this test stat = 0
SigXsecOverSM=0.125 alpha_syst2=0.619973 alpha_syst3=0.233361 gamma_stat_channel1_bin_0=1.03213 gamma_stat_channel1_bin_1=1.04741 [-1e+30, 0.329527] in interval = 1
NeymanConstruction: Prog: 2/12 total MC = 499 this test stat = 0
SigXsecOverSM=0.375 alpha_syst2=0.44772 alpha_syst3=0.177828 gamma_stat_channel1_bin_0=1.02318 gamma_stat_channel1_bin_1=1.03602 [-1e+30, 0.886709] in interval = 1
NeymanConstruction: Prog: 3/12 total MC = 499 this test stat = 0
SigXsecOverSM=0.625 alpha_syst2=0.286415 alpha_syst3=0.123093 gamma_stat_channel1_bin_0=1.01471 gamma_stat_channel1_bin_1=1.02485 [-1e+30, 1.23248] in interval = 1
NeymanConstruction: Prog: 4/12 total MC = 499 this test stat = 0
SigXsecOverSM=0.875 alpha_syst2=0.135426 alpha_syst3=0.0710021 gamma_stat_channel1_bin_0=1.00682 gamma_stat_channel1_bin_1=1.0134 [-1e+30, 1.51788] in interval = 1
NeymanConstruction: Prog: 5/12 total MC = 499 this test stat = 0.000123945
SigXsecOverSM=1.125 alpha_syst2=-0.0142596 alpha_syst3=0.0160367 gamma_stat_channel1_bin_0=0.999288 gamma_stat_channel1_bin_1=1.00312 [-1e+30, 1.54201] in interval = 1
NeymanConstruction: Prog: 6/12 total MC = 499 this test stat = 0.0914825
SigXsecOverSM=1.375 alpha_syst2=-0.157842 alpha_syst3=-0.0395143 gamma_stat_channel1_bin_0=0.992184 gamma_stat_channel1_bin_1=0.993117 [-1e+30, 1.76272] in interval = 1
NeymanConstruction: Prog: 7/12 total MC = 499 this test stat = 0.348977
SigXsecOverSM=1.625 alpha_syst2=-0.293106 alpha_syst3=-0.0887909 gamma_stat_channel1_bin_0=0.985748 gamma_stat_channel1_bin_1=0.98241 [-1e+30, 1.57284] in interval = 1
NeymanConstruction: Prog: 8/12 total MC = 499 this test stat = 0.767852
SigXsecOverSM=1.875 alpha_syst2=-0.422663 alpha_syst3=-0.140541 gamma_stat_channel1_bin_0=0.979593 gamma_stat_channel1_bin_1=0.972417 [-1e+30, 1.52915] in interval = 1
NeymanConstruction: Prog: 9/12 total MC = 499 this test stat = 1.34349
SigXsecOverSM=2.125 alpha_syst2=-0.544235 alpha_syst3=-0.191156 gamma_stat_channel1_bin_0=0.973827 gamma_stat_channel1_bin_1=0.96257 [-1e+30, 1.20669] in interval = 0
NeymanConstruction: Prog: 10/12 total MC = 499 this test stat = 2.07144
SigXsecOverSM=2.375 alpha_syst2=-0.657512 alpha_syst3=-0.240962 gamma_stat_channel1_bin_0=0.968396 gamma_stat_channel1_bin_1=0.952936 [-1e+30, 1.85229] in interval = 0
NeymanConstruction: Prog: 11/12 total MC = 499 this test stat = 2.94737
SigXsecOverSM=2.625 alpha_syst2=-0.763058 alpha_syst3=-0.290526 gamma_stat_channel1_bin_0=0.963223 gamma_stat_channel1_bin_1=0.943652 [-1e+30, 1.1503] in interval = 0
NeymanConstruction: Prog: 12/12 total MC = 499 this test stat = 3.9668
SigXsecOverSM=2.875 alpha_syst2=-0.861405 alpha_syst3=-0.338707 gamma_stat_channel1_bin_0=0.958362 gamma_stat_channel1_bin_1=0.934519 [-1e+30, 1.2709] in interval = 0
[#1] INFO:Eval -- 8 points in interval
95% interval on SigXsecOverSM is : [0.125, 1.875]
[#1] INFO:Minimization -- p.d.f. provides expected number of events, including extended term in likelihood.
[#1] INFO:Minimization -- Including the following constraint terms in minimization: (lumiConstraint,alpha_syst1Constraint,alpha_syst2Constraint,alpha_syst3Constraint,gamma_stat_channel1_bin_0_constraint,gamma_stat_channel1_bin_1_constraint)
[#1] INFO:Minimization -- The global observables are not defined , normalize constraints with respect to the parameters (Lumi,SigXsecOverSM,alpha_syst1,alpha_syst2,alpha_syst3,gamma_stat_channel1_bin_0,gamma_stat_channel1_bin_1)
[#1] INFO:Minimization -- RooProfileLL::evaluate(nll_simPdf_obsData_with_constr_Profile[SigXsecOverSM]) Creating instance of MINUIT
[#1] INFO:Fitting -- RooAddition::defaultErrorLevel(nll_simPdf_obsData_with_constr) Summation contains a RooNLLVar, using its error level
[#1] INFO:Minimization -- RooProfileLL::evaluate(nll_simPdf_obsData_with_constr_Profile[SigXsecOverSM]) determining minimum likelihood for current configurations w.r.t all observable
RooAbsTestStatistic::initSimMode: creating slave calculator #0 for state channel1 (2 dataset entries)
[#1] INFO:Fitting -- RooAbsTestStatistic::initSimMode: created 1 slave calculators.
[#1] INFO:Minimization -- RooProfileLL::evaluate(nll_simPdf_obsData_with_constr_Profile[SigXsecOverSM]) minimum found at (SigXsecOverSM=1.11589)
.
Will use these parameter points to generate pseudo data for bkg only
1) 0x55cde64b6fa0 RooRealVar:: alpha_syst2 = 0.711146 +/- 0.91413 L(-5 - 5) "alpha_syst2"
2) 0x55cde64684a0 RooRealVar:: alpha_syst3 = 0.261455 +/- 0.929175 L(-5 - 5) "alpha_syst3"
3) 0x55cde6471ce0 RooRealVar:: gamma_stat_channel1_bin_0 = 1.03677 +/- 0.0462907 L(0 - 1.25) "gamma_stat_channel1_bin_0"
4) 0x55cde643f7f0 RooRealVar:: gamma_stat_channel1_bin_1 = 1.05319 +/- 0.0761269 L(0 - 1.5) "gamma_stat_channel1_bin_1"
5) 0x55cde6441840 RooRealVar:: SigXsecOverSM = 0 +/- 0 L(0 - 3) B(12) "SigXsecOverSM"
-2 sigma band 4.94066e-324
-1 sigma band 0.105 [Power Constraint)]
median of band 0.855
+1 sigma band 1.605
+2 sigma band 2.085
observed 95% upper-limit 1.875
CLb strict [P(toy>obs|0)] for observed 95% upper-limit 0.966667
CLb inclusive [P(toy>=obs|0)] for observed 95% upper-limit 0.966667
#include "TFile.h"
#include "TROOT.h"
#include "TH1F.h"
#include "TCanvas.h"
#include "TSystem.h"
#include "RooWorkspace.h"
#include "RooAbsData.h"
using namespace RooFit;
using namespace RooStats;
bool useProof = false; // flag to control whether to use Proof
int nworkers = 0; // number of workers (default use all available cores)
// -------------------------------------------------------
// The actual macro
void OneSidedFrequentistUpperLimitWithBands(const char *infile = "", const char *workspaceName = "combined",
const char *modelConfigName = "ModelConfig",
const char *dataName = "obsData")
{
double confidenceLevel = 0.95;
int nPointsToScan = 12;
int nToyMC = 150;
// -------------------------------------------------------
// First part is just to access a user-defined file
// or create the standard example file if it doesn't exist
const char *filename = "";
if (!strcmp(infile, "")) {
filename = "results/example_combined_GaussExample_model.root";
bool fileExist = !gSystem->AccessPathName(filename); // note opposite return code
// if file does not exists generate with histfactory
if (!fileExist) {
#ifdef _WIN32
cout << "HistFactory file cannot be generated on Windows - exit" << endl;
return;
#endif
// Normally this would be run on the command line
cout << "will run standard hist2workspace example" << endl;
gROOT->ProcessLine(".! prepareHistFactory .");
gROOT->ProcessLine(".! hist2workspace config/example.xml");
cout << "\n\n---------------------" << endl;
cout << "Done creating example input" << endl;
cout << "---------------------\n\n" << endl;
}
} else
filename = infile;
// Try to open the file
// if input file was specified byt not found, quit
if (!file) {
cout << "StandardRooStatsDemoMacro: Input file " << filename << " is not found" << endl;
return;
}
// -------------------------------------------------------
// Now get the data and workspace
// get the workspace out of the file
RooWorkspace *w = (RooWorkspace *)file->Get(workspaceName);
if (!w) {
cout << "workspace not found" << endl;
return;
}
// get the modelConfig out of the file
ModelConfig *mc = (ModelConfig *)w->obj(modelConfigName);
// get the modelConfig out of the file
RooAbsData *data = w->data(dataName);
// make sure ingredients are found
if (!data || !mc) {
w->Print();
cout << "data or ModelConfig was not found" << endl;
return;
}
// -------------------------------------------------------
// Now get the POI for convenience
// you may want to adjust the range of your POI
/* firstPOI->setMin(0);*/
/* firstPOI->setMax(10);*/
// --------------------------------------------
// Create and use the FeldmanCousins tool
// to find and plot the 95% confidence interval
// on the parameter of interest as specified
// in the model config
// REMEMBER, we will change the test statistic
// so this is NOT a Feldman-Cousins interval
FeldmanCousins fc(*data, *mc);
fc.SetConfidenceLevel(confidenceLevel);
fc.AdditionalNToysFactor(
0.5); // degrade/improve sampling that defines confidence belt: in this case makes the example faster
/* fc.UseAdaptiveSampling(true); // speed it up a bit, don't use for expected limits*/
fc.SetNBins(nPointsToScan); // set how many points per parameter of interest to scan
fc.CreateConfBelt(true); // save the information in the belt for plotting
// -------------------------------------------------------
// Feldman-Cousins is a unified limit by definition
// but the tool takes care of a few things for us like which values
// of the nuisance parameters should be used to generate toys.
// so let's just change the test statistic and realize this is
// no longer "Feldman-Cousins" but is a fully frequentist Neyman-Construction.
/* ProfileLikelihoodTestStatModified onesided(*mc->GetPdf());*/
/* fc.GetTestStatSampler()->SetTestStatistic(&onesided);*/
/* ((ToyMCSampler*) fc.GetTestStatSampler())->SetGenerateBinned(true); */
ToyMCSampler *toymcsampler = (ToyMCSampler *)fc.GetTestStatSampler();
ProfileLikelihoodTestStat *testStat = dynamic_cast<ProfileLikelihoodTestStat *>(toymcsampler->GetTestStatistic());
testStat->SetOneSided(true);
// Since this tool needs to throw toy MC the PDF needs to be
// extended or the tool needs to know how many entries in a dataset
// per pseudo experiment.
// In the 'number counting form' where the entries in the dataset
// are counts, and not values of discriminating variables, the
// datasets typically only have one entry and the PDF is not
// extended.
if (!mc->GetPdf()->canBeExtended()) {
if (data->numEntries() == 1)
fc.FluctuateNumDataEntries(false);
else
cout << "Not sure what to do about this model" << endl;
}
// We can use PROOF to speed things along in parallel
// However, the test statistic has to be installed on the workers
// so either turn off PROOF or include the modified test statistic
// in your `$ROOTSYS/roofit/roostats/inc` directory,
// add the additional line to the LinkDef.h file,
// and recompile root.
if (useProof) {
ProofConfig pc(*w, nworkers, "", false);
toymcsampler->SetProofConfig(&pc); // enable proof
}
if (mc->GetGlobalObservables()) {
cout << "will use global observables for unconditional ensemble" << endl;
}
// Now get the interval
PointSetInterval *interval = fc.GetInterval();
ConfidenceBelt *belt = fc.GetConfidenceBelt();
// print out the interval on the first Parameter of Interest
cout << "\n95% interval on " << firstPOI->GetName() << " is : [" << interval->LowerLimit(*firstPOI) << ", "
<< interval->UpperLimit(*firstPOI) << "] " << endl;
// get observed UL and value of test statistic evaluated there
RooArgSet tmpPOI(*firstPOI);
double observedUL = interval->UpperLimit(*firstPOI);
firstPOI->setVal(observedUL);
double obsTSatObsUL = fc.GetTestStatSampler()->EvaluateTestStatistic(*data, tmpPOI);
// Ask the calculator which points were scanned
RooDataSet *parameterScan = (RooDataSet *)fc.GetPointsToScan();
RooArgSet *tmpPoint;
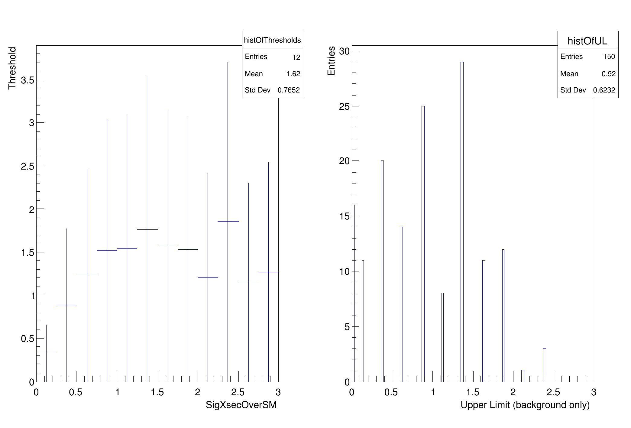
// make a histogram of parameter vs. threshold
TH1F *histOfThresholds =
new TH1F("histOfThresholds", "", parameterScan->numEntries(), firstPOI->getMin(), firstPOI->getMax());
histOfThresholds->GetXaxis()->SetTitle(firstPOI->GetName());
histOfThresholds->GetYaxis()->SetTitle("Threshold");
// loop through the points that were tested and ask confidence belt
// what the upper/lower thresholds were.
// For FeldmanCousins, the lower cut off is always 0
for (Int_t i = 0; i < parameterScan->numEntries(); ++i) {
tmpPoint = (RooArgSet *)parameterScan->get(i)->clone("temp");
// cout <<"get threshold"<<endl;
double arMax = belt->GetAcceptanceRegionMax(*tmpPoint);
double poiVal = tmpPoint->getRealValue(firstPOI->GetName());
histOfThresholds->Fill(poiVal, arMax);
}
TCanvas *c1 = new TCanvas();
c1->Divide(2);
c1->cd(1);
histOfThresholds->SetMinimum(0);
histOfThresholds->Draw();
c1->cd(2);
// -------------------------------------------------------
// Now we generate the expected bands and power-constraint
// First: find parameter point for mu=0, with conditional MLEs for nuisance parameters
std::unique_ptr<RooAbsReal> nll{mc->GetPdf()->createNLL(*data)};
std::unique_ptr<RooAbsReal> profile{nll->createProfile(*mc->GetParametersOfInterest())};
firstPOI->setVal(0.);
profile->getVal(); // this will do fit and set nuisance parameters to profiled values
RooArgSet *poiAndNuisance = new RooArgSet();
poiAndNuisance->add(*mc->GetNuisanceParameters());
poiAndNuisance->add(*mc->GetParametersOfInterest());
w->saveSnapshot("paramsToGenerateData", *poiAndNuisance);
RooArgSet *paramsToGenerateData = (RooArgSet *)poiAndNuisance->snapshot();
cout << "\nWill use these parameter points to generate pseudo data for bkg only" << endl;
paramsToGenerateData->Print("v");
RooArgSet unconditionalObs;
unconditionalObs.add(*mc->GetObservables());
unconditionalObs.add(*mc->GetGlobalObservables()); // comment this out for the original conditional ensemble
double CLb = 0;
double CLbinclusive = 0;
// Now we generate background only and find distribution of upper limits
TH1F *histOfUL = new TH1F("histOfUL", "", 100, 0, firstPOI->getMax());
histOfUL->GetXaxis()->SetTitle("Upper Limit (background only)");
histOfUL->GetYaxis()->SetTitle("Entries");
for (int imc = 0; imc < nToyMC; ++imc) {
// set parameters back to values for generating pseudo data
// cout << "\n get current nuis, set vals, print again" << endl;
w->loadSnapshot("paramsToGenerateData");
// poiAndNuisance->Print("v");
RooDataSet *toyData = 0;
// now generate a toy dataset
if (!mc->GetPdf()->canBeExtended()) {
if (data->numEntries() == 1)
toyData = mc->GetPdf()->generate(*mc->GetObservables(), 1);
else
cout << "Not sure what to do about this model" << endl;
} else {
// cout << "generating extended dataset"<<endl;
toyData = mc->GetPdf()->generate(*mc->GetObservables(), Extended());
}
// generate global observables
// need to be careful for simpdf
// RooDataSet* globalData = mc->GetPdf()->generate(*mc->GetGlobalObservables(),1);
RooSimultaneous *simPdf = dynamic_cast<RooSimultaneous *>(mc->GetPdf());
if (!simPdf) {
RooDataSet *one = mc->GetPdf()->generate(*mc->GetGlobalObservables(), 1);
const RooArgSet *values = one->get();
std::unique_ptr<RooArgSet> allVars{mc->GetPdf()->getVariables()};
allVars->assign(*values);
delete values;
delete one;
} else {
// try fix for sim pdf
for (auto const& tt : simPdf->indexCat()) {
auto const& catName = tt.first;
// Get pdf associated with state from simpdf
RooAbsPdf *pdftmp = simPdf->getPdf(catName.c_str());
// Generate only global variables defined by the pdf associated with this state
std::unique_ptr<RooArgSet> globtmp{pdftmp->getObservables(*mc->GetGlobalObservables())};
std::unique_ptr<RooDataSet> tmp{pdftmp->generate(*globtmp, 1)};
// Transfer values to output placeholder
globtmp->assign(*tmp->get(0));
}
}
// globalData->Print("v");
// unconditionalObs = *globalData->get();
// mc->GetGlobalObservables()->Print("v");
// delete globalData;
// cout << "toy data = " << endl;
// toyData->get()->Print("v");
// get test stat at observed UL in observed data
firstPOI->setVal(observedUL);
double toyTSatObsUL = fc.GetTestStatSampler()->EvaluateTestStatistic(*toyData, tmpPOI);
// toyData->get()->Print("v");
// cout <<"obsTSatObsUL " <<obsTSatObsUL << "toyTS " << toyTSatObsUL << endl;
if (obsTSatObsUL < toyTSatObsUL) // not sure about <= part yet
CLb += (1.) / nToyMC;
if (obsTSatObsUL <= toyTSatObsUL) // not sure about <= part yet
CLbinclusive += (1.) / nToyMC;
// loop over points in belt to find upper limit for this toy data
double thisUL = 0;
for (Int_t i = 0; i < parameterScan->numEntries(); ++i) {
tmpPoint = (RooArgSet *)parameterScan->get(i)->clone("temp");
double arMax = belt->GetAcceptanceRegionMax(*tmpPoint);
firstPOI->setVal(tmpPoint->getRealValue(firstPOI->GetName()));
// double thisTS = profile->getVal();
double thisTS = fc.GetTestStatSampler()->EvaluateTestStatistic(*toyData, tmpPOI);
// cout << "poi = " << firstPOI->getVal()
// << " max is " << arMax << " this profile = " << thisTS << endl;
// cout << "thisTS = " << thisTS<<endl;
if (thisTS <= arMax) {
thisUL = firstPOI->getVal();
} else {
break;
}
}
/*
// loop over points in belt to find upper limit for this toy data
double thisUL = 0;
for(Int_t i=0; i<histOfThresholds->GetNbinsX(); ++i){
tmpPoint = (RooArgSet*) parameterScan->get(i)->clone("temp");
cout <<"---------------- "<<i<<endl;
tmpPoint->Print("v");
cout << "from hist " << histOfThresholds->GetBinCenter(i+1) <<endl;
double arMax = histOfThresholds->GetBinContent(i+1);
// cout << " threhold from Hist = aMax " << arMax<<endl;
// double arMax2 = belt->GetAcceptanceRegionMax(*tmpPoint);
// cout << "from scan arMax2 = "<< arMax2 << endl; // not the same due to TH1F not TH1D
// cout << "scan - hist" << arMax2-arMax << endl;
firstPOI->setVal( histOfThresholds->GetBinCenter(i+1));
// double thisTS = profile->getVal();
double thisTS = fc.GetTestStatSampler()->EvaluateTestStatistic(*toyData,tmpPOI);
// cout << "poi = " << firstPOI->getVal()
// << " max is " << arMax << " this profile = " << thisTS << endl;
// cout << "thisTS = " << thisTS<<endl;
// NOTE: need to add a small epsilon term for single precision vs. double precision
if(thisTS<=arMax + 1e-7){
thisUL = firstPOI->getVal();
} else{
break;
}
}
*/
histOfUL->Fill(thisUL);
// for few events, data is often the same, and UL is often the same
// cout << "thisUL = " << thisUL<<endl;
delete toyData;
}
histOfUL->Draw();
c1->SaveAs("one-sided_upper_limit_output.pdf");
// if you want to see a plot of the sampling distribution for a particular scan point:
/*
SamplingDistPlot sampPlot;
int indexInScan = 0;
tmpPoint = (RooArgSet*) parameterScan->get(indexInScan)->clone("temp");
firstPOI->setVal( tmpPoint->getRealValue(firstPOI->GetName()) );
toymcsampler->SetParametersForTestStat(tmpPOI);
SamplingDistribution* samp = toymcsampler->GetSamplingDistribution(*tmpPoint);
sampPlot.AddSamplingDistribution(samp);
sampPlot.Draw();
*/
// Now find bands and power constraint
Double_t *bins = histOfUL->GetIntegral();
TH1F *cumulative = (TH1F *)histOfUL->Clone("cumulative");
cumulative->SetContent(bins);
double band2sigDown, band1sigDown, bandMedian, band1sigUp, band2sigUp;
for (int i = 1; i <= cumulative->GetNbinsX(); ++i) {
band2sigDown = cumulative->GetBinCenter(i);
band1sigDown = cumulative->GetBinCenter(i);
if (bins[i] < 0.5)
bandMedian = cumulative->GetBinCenter(i);
if (bins[i] < RooStats::SignificanceToPValue(-1))
band1sigUp = cumulative->GetBinCenter(i);
if (bins[i] < RooStats::SignificanceToPValue(-2))
band2sigUp = cumulative->GetBinCenter(i);
}
cout << "-2 sigma band " << band2sigDown << endl;
cout << "-1 sigma band " << band1sigDown << " [Power Constraint)]" << endl;
cout << "median of band " << bandMedian << endl;
cout << "+1 sigma band " << band1sigUp << endl;
cout << "+2 sigma band " << band2sigUp << endl;
// print out the interval on the first Parameter of Interest
cout << "\nobserved 95% upper-limit " << interval->UpperLimit(*firstPOI) << endl;
cout << "CLb strict [P(toy>obs|0)] for observed 95% upper-limit " << CLb << endl;
cout << "CLb inclusive [P(toy>=obs|0)] for observed 95% upper-limit " << CLbinclusive << endl;
}
int Int_t
Definition RtypesCore.h:45
double Double_t
Definition RtypesCore.h:59
Option_t Option_t TPoint TPoint const char GetTextMagnitude GetFillStyle GetLineColor GetLineWidth GetMarkerStyle GetTextAlign GetTextColor GetTextSize void data
Option_t Option_t TPoint TPoint const char GetTextMagnitude GetFillStyle GetLineColor GetLineWidth GetMarkerStyle GetTextAlign GetTextColor GetTextSize void char Point_t Rectangle_t WindowAttributes_t Float_t Float_t Float_t Int_t Int_t UInt_t UInt_t Rectangle_t Int_t Int_t Window_t TString Int_t GCValues_t GetPrimarySelectionOwner GetDisplay GetScreen GetColormap GetNativeEvent const char const char dpyName wid window const char font_name cursor keysym reg const char only_if_exist regb h Point_t winding char text const char depth char const char Int_t count const char ColorStruct_t color const char filename
#define gROOT
Definition TROOT.h:405
R__EXTERN TSystem * gSystem
Definition TSystem.h:560
RooFit::OwningPtr< RooArgSet > getObservables(const RooArgSet &set, bool valueOnly=true) const
Given a set of possible observables, return the observables that this PDF depends on.
RooFit::OwningPtr< RooArgSet > getVariables(bool stripDisconnected=true) const
Return RooArgSet with all variables (tree leaf nodes of expresssion tree)
double getRealValue(const char *name, double defVal=0.0, bool verbose=false) const
Get value of a RooAbsReal stored in set with given name.
virtual bool add(const RooAbsArg &var, bool silent=false)
Add the specified argument to list.
RooAbsArg * first() const
void Print(Option_t *options=nullptr) const override
This method must be overridden when a class wants to print itself.
RooAbsData is the common abstract base class for binned and unbinned datasets.
Definition RooAbsData.h:59
virtual Int_t numEntries() const
Return number of entries in dataset, i.e., count unweighted entries.
RooFit::OwningPtr< RooDataSet > generate(const RooArgSet &whatVars, Int_t nEvents, const RooCmdArg &arg1, const RooCmdArg &arg2=RooCmdArg::none(), const RooCmdArg &arg3=RooCmdArg::none(), const RooCmdArg &arg4=RooCmdArg::none(), const RooCmdArg &arg5=RooCmdArg::none())
See RooAbsPdf::generate(const RooArgSet&,const RooCmdArg&,const RooCmdArg&,const RooCmdArg&,...
Definition RooAbsPdf.h:60
virtual RooFit::OwningPtr< RooAbsReal > createNLL(RooAbsData &data, const RooLinkedList &cmdList={})
Construct representation of -log(L) of PDF with given dataset.
bool canBeExtended() const
If true, PDF can provide extended likelihood term.
Definition RooAbsPdf.h:278
virtual double getMax(const char *name=nullptr) const
Get maximum of currently defined range.
virtual double getMin(const char *name=nullptr) const
Get minimum of currently defined range.
double getVal(const RooArgSet *normalisationSet=nullptr) const
Evaluate object.
Definition RooAbsReal.h:91
RooArgSet is a container object that can hold multiple RooAbsArg objects.
Definition RooArgSet.h:55
TObject * clone(const char *newname) const override
Definition RooArgSet.h:148
RooArgSet * snapshot(bool deepCopy=true) const
Use RooAbsCollection::snapshot(), but return as RooArgSet.
Definition RooArgSet.h:178
RooDataSet is a container class to hold unbinned data.
Definition RooDataSet.h:57
const RooArgSet * get(Int_t index) const override
Return RooArgSet with coordinates of event 'index'.
RooRealVar represents a variable that can be changed from the outside.
Definition RooRealVar.h:40
void setVal(double value) override
Set value of variable to 'value'.
RooSimultaneous facilitates simultaneous fitting of multiple PDFs to subsets of a given dataset.
RooAbsPdf * getPdf(RooStringView catName) const
Return the p.d.f associated with the given index category name.
ConfidenceBelt is a concrete implementation of the ConfInterval interface.
double GetAcceptanceRegionMax(RooArgSet &, double cl=-1., double leftside=-1.)
The FeldmanCousins class (like the Feldman-Cousins technique) is essentially a specific configuration...
ModelConfig is a simple class that holds configuration information specifying how a model should be u...
Definition ModelConfig.h:35
const RooArgSet * GetGlobalObservables() const
get RooArgSet for global observables (return nullptr if not existing)
const RooArgSet * GetParametersOfInterest() const
get RooArgSet containing the parameter of interest (return nullptr if not existing)
const RooArgSet * GetNuisanceParameters() const
get RooArgSet containing the nuisance parameters (return nullptr if not existing)
const RooArgSet * GetObservables() const
get RooArgSet for observables (return nullptr if not existing)
RooAbsPdf * GetPdf() const
get model PDF (return nullptr if pdf has not been specified or does not exist)
PointSetInterval is a concrete implementation of the ConfInterval interface.
double UpperLimit(RooRealVar &param)
return upper limit on a given parameter
double LowerLimit(RooRealVar &param)
return lower limit on a given parameter
ProfileLikelihoodTestStat is an implementation of the TestStatistic interface that calculates the pro...
Holds configuration options for proof and proof-lite.
Definition ProofConfig.h:46
ToyMCSampler is an implementation of the TestStatSampler interface.
void SetProofConfig(ProofConfig *pc=nullptr)
calling with argument or nullptr deactivates proof
virtual TestStatistic * GetTestStatistic(unsigned int i) const
void SetGlobalObservables(const RooArgSet &o) override
specify the conditional observables
The RooWorkspace is a persistable container for RooFit projects.
The Canvas class.
Definition TCanvas.h:23
A ROOT file is a suite of consecutive data records (TKey instances) with a well defined format.
Definition TFile.h:51
static TFile * Open(const char *name, Option_t *option="", const char *ftitle="", Int_t compress=ROOT::RCompressionSetting::EDefaults::kUseCompiledDefault, Int_t netopt=0)
Create / open a file.
Definition TFile.cxx:4053
1-D histogram with a float per channel (see TH1 documentation)}
Definition TH1.h:577
virtual Double_t GetBinCenter(Int_t bin) const
Return bin center for 1D histogram.
Definition TH1.cxx:9007
TAxis * GetXaxis()
Definition TH1.h:322
virtual Int_t GetNbinsX() const
Definition TH1.h:295
virtual Int_t Fill(Double_t x)
Increment bin with abscissa X by 1.
Definition TH1.cxx:3338
TAxis * GetYaxis()
Definition TH1.h:323
virtual void SetContent(const Double_t *content)
Replace bin contents by the contents of array content.
Definition TH1.cxx:8264
void Draw(Option_t *option="") override
Draw this histogram with options.
Definition TH1.cxx:3060
virtual void SetMinimum(Double_t minimum=-1111)
Definition TH1.h:401
virtual Double_t * GetIntegral()
Return a pointer to the array of bins integral.
Definition TH1.cxx:2565
TObject * Clone(const char *newname="") const override
Make a complete copy of the underlying object.
Definition TH1.cxx:2727
virtual void SetTitle(const char *title="")
Set the title of the TNamed.
Definition TNamed.cxx:164
const char * GetName() const override
Returns name of object.
Definition TNamed.h:47
virtual Bool_t AccessPathName(const char *path, EAccessMode mode=kFileExists)
Returns FALSE if one can access a file using the specified access mode.
Definition TSystem.cxx:1299
RooCmdArg Extended(bool flag=true)
return c1
Definition legend1.C:41
The namespace RooFit contains mostly switches that change the behaviour of functions of PDFs (or othe...
Definition Common.h:18
Namespace for the RooStats classes.
Definition Asimov.h:19
double SignificanceToPValue(double Z)
returns p-value corresponding to a 1-sided significance
Definition file.py:1
auto * tt
Definition textangle.C:16
Authors
Kyle Cranmer, Haichen Wang, Daniel Whiteson

Definition in file OneSidedFrequentistUpperLimitWithBands.C.