Logo ROOT  
Reference Guide
 
Loading...
Searching...
No Matches
candlehisto.C File Reference

Detailed Description

View in nbviewer Open in SWAN
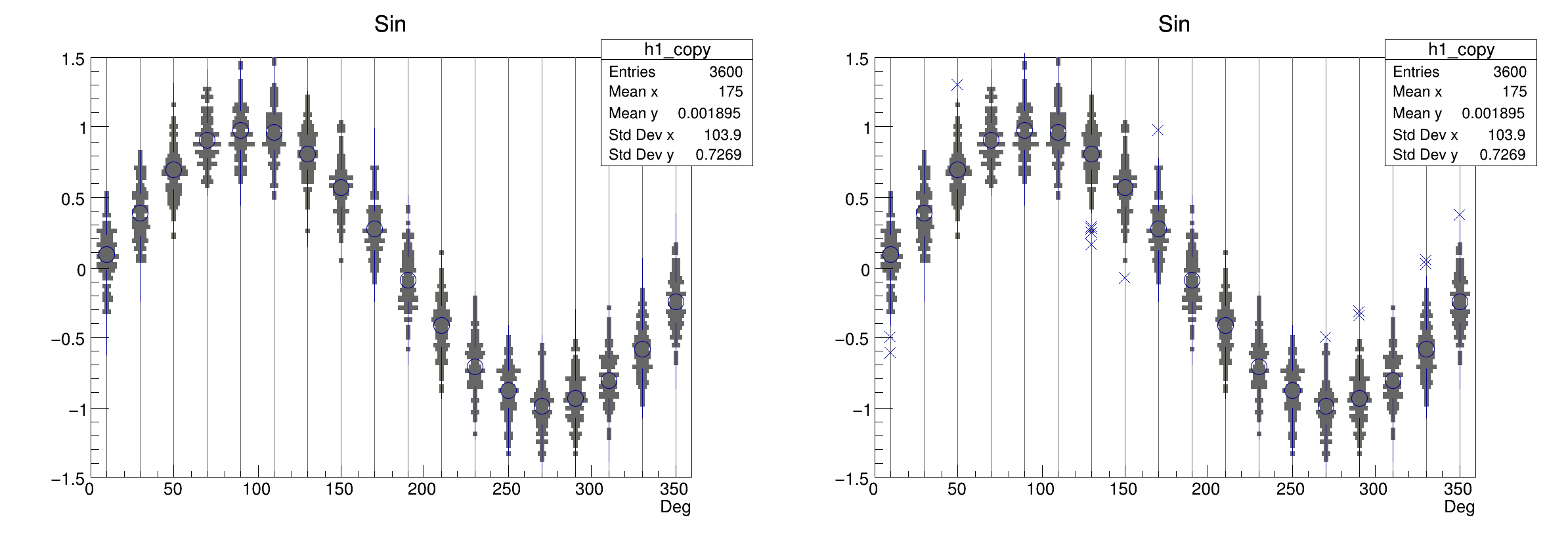
Example showing how to combine the various candle plot options.

void candlehisto()
{
TCanvas *c1 = new TCanvas("c1", "Candle Presets", 800, 600);
c1->Divide(3, 2);
TRandom *rng = new TRandom();
TH2I *h1 = new TH2I("h1", "Sin", 18, 0, 360, 100, -1.5, 1.5);
h1->GetXaxis()->SetTitle("Deg");
float myRand;
for (int i = 0; i < 360; i+= 10) {
for (int j = 0; j < 100; j++) {
myRand = rng->Gaus(sin(i * 3.14 / 180), 0.2);
h1->Fill(i, myRand);
}
}
for (int i = 1; i < 7; i++) {
c1->cd(i);
TString title = TString::Format("CANDLEX%d", i);
TH2I *myhist = (TH2I*)h1->DrawCopy(title);
myhist->SetTitle(title);
}
TCanvas *c2 = new TCanvas("c2", "Violin Presets", 800, 300);
c2->Divide(2, 1);
for (int i = 1; i < 3; i++) {
c2->cd(i);
TString title = TString::Format("VIOLINX%d", i);
TH2I *myhist = (TH2I*)h1->DrawCopy(title);
myhist->SetFillColor(kGray + 2);
}
TCanvas *c3 = new TCanvas("c3", "Playing with candle and violin-options", 800, 600);
c3->Divide(3, 2);
TString myopt[6] = {"1000000", "2000000", "3000000", "1112111", "112111", "112111"};
for (int i = 0; i < 6; i++) {
c3->cd(i + 1);
TString title = TString::Format("candlex(%s)", myopt[i].Data());
TH2I *myhist = (TH2I*)h1->DrawCopy(title);
if (i == 4) {
TH2I *myhist2 = (TH2I*)h1->DrawCopy("candlex(1000000) same");
myhist2->SetFillColor(kRed);
}
if (i == 5) {
myhist->SetBarWidth(0.2);
myhist->SetBarOffset(0.25);
TH2I *myhist2 = (TH2I*)h1->DrawCopy("candlex(2000000) same");
myhist2->SetFillColor(kRed);
myhist2->SetBarWidth(0.6);
myhist2->SetBarOffset(-0.5);
}
myhist->SetTitle(title);
}
}
@ kGray
Definition Rtypes.h:65
@ kRed
Definition Rtypes.h:66
@ kYellow
Definition Rtypes.h:66
virtual void SetFillColor(Color_t fcolor)
Set the fill area color.
Definition TAttFill.h:37
The Canvas class.
Definition TCanvas.h:23
virtual void SetBarOffset(Float_t offset=0.25)
Set the bar offset as fraction of the bin width for drawing mode "B".
Definition TH1.h:361
void SetTitle(const char *title) override
Change (i.e.
Definition TH1.cxx:6700
TAxis * GetXaxis()
Definition TH1.h:322
virtual Int_t Fill(Double_t x)
Increment bin with abscissa X by 1.
Definition TH1.cxx:3338
virtual TH1 * DrawCopy(Option_t *option="", const char *name_postfix="_copy") const
Copy this histogram and Draw in the current pad.
Definition TH1.cxx:3107
virtual void SetBarWidth(Float_t width=0.5)
Set the width of bars as fraction of the bin width for drawing mode "B".
Definition TH1.h:362
2-D histogram with an int per channel (see TH1 documentation)}
Definition TH2.h:216
virtual void SetTitle(const char *title="")
Set the title of the TNamed.
Definition TNamed.cxx:164
This is the base class for the ROOT Random number generators.
Definition TRandom.h:27
virtual Double_t Gaus(Double_t mean=0, Double_t sigma=1)
Samples a random number from the standard Normal (Gaussian) Distribution with the given mean and sigm...
Definition TRandom.cxx:274
Basic string class.
Definition TString.h:139
static TString Format(const char *fmt,...)
Static method which formats a string using a printf style format descriptor and return a TString.
Definition TString.cxx:2356
return c1
Definition legend1.C:41
TH1F * h1
Definition legend1.C:5
return c2
Definition legend2.C:14
return c3
Definition legend3.C:15
Author
Georg Troska

Definition in file candlehisto.C.