Logo ROOT  
Reference Guide
 
Loading...
Searching...
No Matches
RooBinSamplingPdf Class Reference

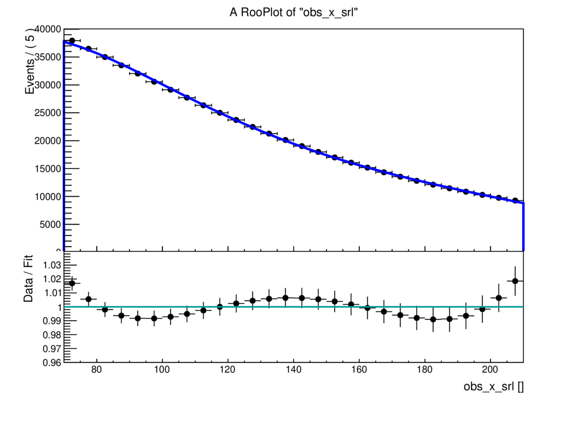
The RooBinSamplingPdf is supposed to be used as an adapter between a continuous PDF and a binned distribution.

When RooFit is used to fit binned data, and the PDF is continuous, it takes the probability density at the bin centre as a proxy for the probability averaged (integrated) over the entire bin. This is correct only if the second derivative of the function vanishes, though. This is shown in the plots below.

For PDFs that have larger curvatures, the RooBinSamplingPdf can be used. It integrates the PDF in each bin using an adaptive integrator. This usually requires 21 times more function evaluations, but significantly reduces biases due to better sampling of the PDF. The integrator can be accessed from the outside using integrator(). This can be used to change the integration rules, so less/more function evaluations are performed. The target precision of the integrator can be set in the constructor.

How to use it

There are two ways to use this class:

  • Manually wrap a PDF:
    RooBinSamplingPdf binSampler("<name>", "title", <binned observable of PDF>, <original PDF> [, <precision for integrator>]);
    binSampler.fitTo(data);
    Option_t Option_t TPoint TPoint const char GetTextMagnitude GetFillStyle GetLineColor GetLineWidth GetMarkerStyle GetTextAlign GetTextColor GetTextSize void data
    The RooBinSamplingPdf is supposed to be used as an adapter between a continuous PDF and a binned dist...
    std::unique_ptr< ROOT::Math::IntegratorOneDim > & integrator() const
    Direct access to the unique_ptr holding the integrator that's used to sample the bins.
    const RooAbsReal & observable() const
    When a PDF is wrapped with a RooBinSamplingPDF, just use the bin sampling PDF instead of the original one for fits or plotting etc.
    Note
    The binning will be taken from the observable. Make sure that this binning is the same as the one of the dataset that should be fit. Use RooRealVar::setBinning() to adapt it.
  • Instruct test statistics to carry out this wrapping automatically:
    pdf.fitTo(data, IntegrateBins(<precision>));
    virtual RooFit::OwningPtr< RooFitResult > fitTo(RooAbsData &data, const RooLinkedList &cmdList={})
    Fit PDF to given dataset.
    const RooAbsPdf & pdf() const
    This method is especially useful when used with a simultaneous PDF, since each component will automatically be wrapped, depending on the value of precision:
    • precision < 0.: None of the PDFs are touched, bin sampling is off.
    • precision = 0.: Continuous PDFs that are fit to a RooDataHist are wrapped into a RooBinSamplingPdf. The target precision forwarded to the integrator is 1.E-4 (the default argument of the constructor).
    • precision > 0.: All continuous PDFs are automatically wrapped into a RooBinSamplingPdf, regardless of what data they are fit to (see next paragraph). The same ‘'precision’` is used for all integrators.

Simulating a binned fit using RooDataSet

Some frameworks use unbinned data (RooDataSet) to simulate binned datasets. By adding one entry for each bin centre with the appropriate weight, one can achieve the same result as fitting with RooDataHist. In this case, however, RooFit cannot auto-detect that a binned fit is running, and that an integration over the bin is desired (note that there are no bins to integrate over in this kind of dataset).

In this case, IntegrateBins(>0.) needs to be used, and the desired binning needs to be assigned to the observable of the dataset:

RooRealVar x("x", "x", 0., 5.);
x.setBins(10);
// <create dataset and model>
model.fitTo(data, IntegrateBins(>0.));
RooRealVar represents a variable that can be changed from the outside.
Definition RooRealVar.h:40
Double_t x[n]
Definition legend1.C:17
See also
RooAbsPdf::fitTo()
IntegrateBins()
Note
This feature is currently limited to one-dimensional PDFs.

Binned fit without RooBinSamplingPdf Binned fit with RooBinSamplingPdf

Definition at line 28 of file RooBinSamplingPdf.h.

Public Member Functions

 RooBinSamplingPdf ()
 
 RooBinSamplingPdf (const char *name, const char *title, RooAbsRealLValue &observable, RooAbsPdf &inputPdf, double epsilon=1.E-4)
 Construct a new RooBinSamplingPdf.
 
 RooBinSamplingPdf (const RooBinSamplingPdf &other, const char *name=nullptr)
 Copy a RooBinSamplingPdf.
 
double analyticalIntegral (Int_t code, const char *rangeName=nullptr) const override
 Forwards to the PDF's implementation.
 
double analyticalIntegralWN (Int_t code, const RooArgSet *normSet, const char *rangeName) const override
 Forwards to the PDF's implementation.
 
std::list< double > * binBoundaries (RooAbsRealLValue &obs, double xlo, double xhi) const override
 Return a list of all bin boundaries, so the PDF is plotted correctly.
 
TObjectclone (const char *newname) const override
 
void computeBatch (cudaStream_t *, double *output, size_t size, RooFit::Detail::DataMap const &) const override
 Integrate the PDF over all its bins, and return a batch with those values.
 
RooFit::OwningPtr< RooAbsRealcreateIntegral (const RooArgSet &iset, const RooArgSet *nset=nullptr, const RooNumIntConfig *cfg=nullptr, const char *rangeName=nullptr) const override
 Forwards to the PDF's implementation.
 
double epsilon () const
 
double expectedEvents (const RooArgSet *nset) const override
 Return expected number of events to be used in calculation of extended likelihood.
 
ExtendMode extendMode () const override
 Returns ability of PDF to provide extended likelihood terms.
 
bool forceAnalyticalInt (const RooAbsArg &dep) const override
 
void generateEvent (Int_t code) override
 Forwards to the PDF's implementation.
 
Int_t getAnalyticalIntegral (RooArgSet &allVars, RooArgSet &numVars, const char *rangeName=nullptr) const override
 Forwards to the PDF's implementation.
 
Int_t getAnalyticalIntegralWN (RooArgSet &allVars, RooArgSet &analVars, const RooArgSet *normSet, const char *rangeName=nullptr) const override
 Forwards to the PDF's implementation.
 
Int_t getGenerator (const RooArgSet &directVars, RooArgSet &generateVars, bool staticInitOK=true) const override
 Forwards to the PDF's implementation.
 
Int_t getMaxVal (const RooArgSet &vars) const override
 Advertise capability to determine maximum value of function for given set of observables.
 
void initGenerator (Int_t code) override
 Forwards to the PDF's implementation.
 
std::unique_ptr< ROOT::Math::IntegratorOneDim > & integrator () const
 Direct access to the unique_ptr holding the integrator that's used to sample the bins.
 
TClassIsA () const override
 
bool isBinnedDistribution (const RooArgSet &) const override
 Returns true, since this PDF is meant to be binned.
 
bool isDirectGenSafe (const RooAbsArg &arg) const override
 Forwards to the PDF's implementation.
 
double maxVal (Int_t code) const override
 Return maximum value for set of observables identified by code assigned in getMaxVal.
 
Int_t minTrialSamples (const RooArgSet &arGenObs) const override
 
const RooAbsRealobservable () const
 
const RooAbsPdfpdf () const
 
std::list< double > * plotSamplingHint (RooAbsRealLValue &obs, double xlo, double xhi) const override
 Return a list of all bin edges, so the PDF is plotted as a step function.
 
bool selfNormalized () const override
 Forwards to the PDF's implementation.
 
void Streamer (TBuffer &) override
 Stream an object of class TObject.
 
void StreamerNVirtual (TBuffer &ClassDef_StreamerNVirtual_b)
 
- Public Member Functions inherited from RooAbsPdf
 RooAbsPdf ()
 Default constructor.
 
 RooAbsPdf (const char *name, const char *title, double minVal, double maxVal)
 Constructor with name, title, and plot range.
 
 RooAbsPdf (const char *name, const char *title=nullptr)
 Constructor with name and title only.
 
 ~RooAbsPdf () override
 Destructor.
 
virtual RooAbsGenContextautoGenContext (const RooArgSet &vars, const RooDataSet *prototype=nullptr, const RooArgSet *auxProto=nullptr, bool verbose=false, bool autoBinned=true, const char *binnedTag="") const
 
virtual RooAbsGenContextbinnedGenContext (const RooArgSet &vars, bool verbose=false) const
 Return a binned generator context.
 
bool canBeExtended () const
 If true, PDF can provide extended likelihood term.
 
virtual RooFit::OwningPtr< RooFitResultchi2FitTo (RooDataHist &data, const RooCmdArg &arg1=RooCmdArg::none(), const RooCmdArg &arg2=RooCmdArg::none(), const RooCmdArg &arg3=RooCmdArg::none(), const RooCmdArg &arg4=RooCmdArg::none(), const RooCmdArg &arg5=RooCmdArg::none(), const RooCmdArg &arg6=RooCmdArg::none(), const RooCmdArg &arg7=RooCmdArg::none(), const RooCmdArg &arg8=RooCmdArg::none())
 Perform a \( \chi^2 \) fit to given histogram.
 
virtual RooFit::OwningPtr< RooFitResultchi2FitTo (RooDataHist &data, const RooLinkedList &cmdList)
 Perform a \( \chi^2 \) fit to given histogram.
 
RooFit::OwningPtr< RooFitResultchi2FitTo (RooDataHist &data, const RooLinkedList &cmdList) override
 Calls RooAbsPdf::createChi2(RooDataSet& data, const RooLinkedList& cmdList) and returns fit result.
 
virtual RooFit::OwningPtr< RooFitResultchi2FitTo (RooDataSet &xydata, const RooCmdArg &arg1=RooCmdArg::none(), const RooCmdArg &arg2=RooCmdArg::none(), const RooCmdArg &arg3=RooCmdArg::none(), const RooCmdArg &arg4=RooCmdArg::none(), const RooCmdArg &arg5=RooCmdArg::none(), const RooCmdArg &arg6=RooCmdArg::none(), const RooCmdArg &arg7=RooCmdArg::none(), const RooCmdArg &arg8=RooCmdArg::none())
 Perform a 2-D \( \chi^2 \) fit using a series of x and y values stored in the dataset xydata.
 
virtual RooFit::OwningPtr< RooFitResultchi2FitTo (RooDataSet &xydata, const RooLinkedList &cmdList)
 Perform a 2-D \( \chi^2 \) fit using a series of x and y values stored in the dataset xydata.
 
std::unique_ptr< RooAbsArgcompileForNormSet (RooArgSet const &normSet, RooFit::Detail::CompileContext &ctx) const override
 
RooFit::OwningPtr< RooAbsRealcreateCdf (const RooArgSet &iset, const RooArgSet &nset=RooArgSet())
 Create a cumulative distribution function of this p.d.f in terms of the observables listed in iset.
 
RooFit::OwningPtr< RooAbsRealcreateCdf (const RooArgSet &iset, const RooCmdArg &arg1, const RooCmdArg &arg2=RooCmdArg::none(), const RooCmdArg &arg3=RooCmdArg::none(), const RooCmdArg &arg4=RooCmdArg::none(), const RooCmdArg &arg5=RooCmdArg::none(), const RooCmdArg &arg6=RooCmdArg::none(), const RooCmdArg &arg7=RooCmdArg::none(), const RooCmdArg &arg8=RooCmdArg::none())
 Create an object that represents the integral of the function over one or more observables listed in iset.
 
virtual RooAbsRealcreateChi2 (RooDataHist &data, const RooCmdArg &arg1=RooCmdArg::none(), const RooCmdArg &arg2=RooCmdArg::none(), const RooCmdArg &arg3=RooCmdArg::none(), const RooCmdArg &arg4=RooCmdArg::none(), const RooCmdArg &arg5=RooCmdArg::none(), const RooCmdArg &arg6=RooCmdArg::none(), const RooCmdArg &arg7=RooCmdArg::none(), const RooCmdArg &arg8=RooCmdArg::none())
 Create a \( \chi^2 \) variable from a histogram and this function.
 
RooAbsRealcreateChi2 (RooDataHist &data, const RooCmdArg &arg1=RooCmdArg::none(), const RooCmdArg &arg2=RooCmdArg::none(), const RooCmdArg &arg3=RooCmdArg::none(), const RooCmdArg &arg4=RooCmdArg::none(), const RooCmdArg &arg5=RooCmdArg::none(), const RooCmdArg &arg6=RooCmdArg::none(), const RooCmdArg &arg7=RooCmdArg::none(), const RooCmdArg &arg8=RooCmdArg::none()) override
 Create a \( \chi^2 \) from a histogram and this function.
 
virtual RooAbsRealcreateChi2 (RooDataHist &data, const RooLinkedList &cmdList)
 
virtual RooAbsRealcreateChi2 (RooDataSet &data, const RooCmdArg &arg1=RooCmdArg::none(), const RooCmdArg &arg2=RooCmdArg::none(), const RooCmdArg &arg3=RooCmdArg::none(), const RooCmdArg &arg4=RooCmdArg::none(), const RooCmdArg &arg5=RooCmdArg::none(), const RooCmdArg &arg6=RooCmdArg::none(), const RooCmdArg &arg7=RooCmdArg::none(), const RooCmdArg &arg8=RooCmdArg::none())
 Create a \( \chi^2 \) from a series of x and y values stored in a dataset.
 
virtual RooAbsRealcreateChi2 (RooDataSet &data, const RooLinkedList &cmdList)
 See RooAbsReal::createChi2(RooDataSet&,const RooCmdArg&,const RooCmdArg&,const RooCmdArg&,const RooCmdArg&,const RooCmdArg&,const RooCmdArg&,const RooCmdArg&,const RooCmdArg&)
 
RooAbsRealcreateChi2 (RooDataSet &data, const RooLinkedList &cmdList) override
 Argument-list version of RooAbsPdf::createChi2()
 
virtual std::unique_ptr< RooAbsRealcreateExpectedEventsFunc (const RooArgSet *nset) const
 Returns an object that represents the expected number of events for a given normalization set, similar to how createIntegral() returns an object that returns the integral.
 
virtual RooFit::OwningPtr< RooAbsRealcreateNLL (RooAbsData &data, const RooLinkedList &cmdList={})
 Construct representation of -log(L) of PDF with given dataset.
 
template<typename... Args>
RooFit::OwningPtr< RooAbsRealcreateNLL (RooAbsData &data, RooCmdArg const &arg1, Args const &... args)
 Takes an arbitrary number of RooCmdArg command options and calls RooAbsPdf::createNLL(RooAbsData& data, const RooLinkedList& cmdList).
 
virtual RooAbsPdfcreateProjection (const RooArgSet &iset)
 Return a p.d.f that represent a projection of this p.d.f integrated over given observables.
 
RooFit::OwningPtr< RooAbsRealcreateScanCdf (const RooArgSet &iset, const RooArgSet &nset, Int_t numScanBins, Int_t intOrder)
 
double expectedEvents (const RooArgSet &nset) const
 Return expected number of events to be used in calculation of extended likelihood.
 
double extendedTerm (double sumEntries, double expected, double sumEntriesW2=0.0, bool doOffset=false) const
 
double extendedTerm (double sumEntries, RooArgSet const *nset, double sumEntriesW2=0.0, bool doOffset=false) const
 Return the extended likelihood term ( \( N_\mathrm{expect} - N_\mathrm{observed} \cdot \log(N_\mathrm{expect} \)) of this PDF for the given number of observed events.
 
double extendedTerm (RooAbsData const &data, bool weightSquared, bool doOffset=false) const
 Return the extended likelihood term ( \( N_\mathrm{expect} - N_\mathrm{observed} \cdot \log(N_\mathrm{expect} \)) of this PDF for the given number of observed events.
 
virtual RooFit::OwningPtr< RooFitResultfitTo (RooAbsData &data, const RooLinkedList &cmdList={})
 Fit PDF to given dataset.
 
template<typename... Args>
RooFit::OwningPtr< RooFitResultfitTo (RooAbsData &data, RooCmdArg const &arg1, Args const &... args)
 Takes an arbitrary number of RooCmdArg command options and calls RooAbsPdf::fitTo(RooAbsData& data, const RooLinkedList& cmdList).
 
virtual RooAbsGenContextgenContext (const RooArgSet &vars, const RooDataSet *prototype=nullptr, const RooArgSet *auxProto=nullptr, bool verbose=false) const
 Interface function to create a generator context from a p.d.f.
 
RooFit::OwningPtr< RooDataSetgenerate (const RooArgSet &whatVars, const RooCmdArg &arg1=RooCmdArg::none(), const RooCmdArg &arg2=RooCmdArg::none(), const RooCmdArg &arg3=RooCmdArg::none(), const RooCmdArg &arg4=RooCmdArg::none(), const RooCmdArg &arg5=RooCmdArg::none(), const RooCmdArg &arg6=RooCmdArg::none())
 Generate a new dataset containing the specified variables with events sampled from our distribution.
 
RooFit::OwningPtr< RooDataSetgenerate (const RooArgSet &whatVars, const RooDataSet &prototype, Int_t nEvents=0, bool verbose=false, bool randProtoOrder=false, bool resampleProto=false) const
 Generate a new dataset using a prototype dataset as a model, with values of the variables in whatVars sampled from our distribution.
 
RooFit::OwningPtr< RooDataSetgenerate (const RooArgSet &whatVars, double nEvents=0, bool verbose=false, bool autoBinned=true, const char *binnedTag="", bool expectedData=false, bool extended=false) const
 Generate a new dataset containing the specified variables with events sampled from our distribution.
 
RooFit::OwningPtr< RooDataSetgenerate (const RooArgSet &whatVars, Int_t nEvents, const RooCmdArg &arg1, const RooCmdArg &arg2=RooCmdArg::none(), const RooCmdArg &arg3=RooCmdArg::none(), const RooCmdArg &arg4=RooCmdArg::none(), const RooCmdArg &arg5=RooCmdArg::none())
 See RooAbsPdf::generate(const RooArgSet&,const RooCmdArg&,const RooCmdArg&,const RooCmdArg&,const RooCmdArg&,const RooCmdArg&,const RooCmdArg&)
 
RooFit::OwningPtr< RooDataSetgenerate (GenSpec &) const
 Generate according to GenSpec obtained from prepareMultiGen().
 
virtual RooFit::OwningPtr< RooDataHistgenerateBinned (const RooArgSet &whatVars, const RooCmdArg &arg1=RooCmdArg::none(), const RooCmdArg &arg2=RooCmdArg::none(), const RooCmdArg &arg3=RooCmdArg::none(), const RooCmdArg &arg4=RooCmdArg::none(), const RooCmdArg &arg5=RooCmdArg::none(), const RooCmdArg &arg6=RooCmdArg::none()) const
 Generate a new dataset containing the specified variables with events sampled from our distribution.
 
virtual RooFit::OwningPtr< RooDataHistgenerateBinned (const RooArgSet &whatVars, double nEvents, bool expectedData=false, bool extended=false) const
 Generate a new dataset containing the specified variables with events sampled from our distribution.
 
virtual RooFit::OwningPtr< RooDataHistgenerateBinned (const RooArgSet &whatVars, double nEvents, const RooCmdArg &arg1, const RooCmdArg &arg2=RooCmdArg::none(), const RooCmdArg &arg3=RooCmdArg::none(), const RooCmdArg &arg4=RooCmdArg::none(), const RooCmdArg &arg5=RooCmdArg::none()) const
 As RooAbsPdf::generateBinned(const RooArgSet&, const RooCmdArg&,const RooCmdArg&, const RooCmdArg&,const RooCmdArg&, const RooCmdArg&,const RooCmdArg&) const.
 
virtual RooFit::OwningPtr< RooDataSetgenerateSimGlobal (const RooArgSet &whatVars, Int_t nEvents)
 Special generator interface for generation of 'global observables' – for RooStats tools.
 
RooArgSetgetAllConstraints (const RooArgSet &observables, RooArgSet &constrainedParams, bool stripDisconnected=true, bool removeConstraintsFromPdf=false) const
 This helper function finds and collects all constraints terms of all component p.d.f.s and returns a RooArgSet with all those terms.
 
virtual RooArgSetgetConstraints (const RooArgSet &, RooArgSet &, bool, bool=false) const
 
const RooNumGenConfiggetGeneratorConfig () const
 Return the numeric MC generator configuration used for this object.
 
RooSpan< const doublegetLogProbabilities (RooBatchCompute::RunContext &evalData, const RooArgSet *normSet=nullptr) const
 Compute the log-likelihoods for all events in the requested batch.
 
void getLogProbabilities (RooSpan< const double > pdfValues, double *output) const
 
virtual double getLogVal (const RooArgSet *set=nullptr) const
 Return the log of the current value with given normalization An error message is printed if the argument of the log is negative.
 
RooSpan< const doublegetLogValBatch (std::size_t begin, std::size_t batchSize, const RooArgSet *normSet=nullptr) const
 
double getNorm (const RooArgSet &nset) const
 Get normalisation term needed to normalise the raw values returned by getVal().
 
virtual double getNorm (const RooArgSet *set=nullptr) const
 Get normalisation term needed to normalise the raw values returned by getVal().
 
const RooAbsRealgetNormIntegral (const RooArgSet &nset) const
 
virtual const RooAbsRealgetNormObj (const RooArgSet *set, const RooArgSet *iset, const TNamed *rangeName=nullptr) const
 Return pointer to RooAbsReal object that implements calculation of integral over observables iset in range rangeName, optionally taking the integrand normalized over observables nset.
 
double getValV (const RooArgSet *set=nullptr) const override
 Return current value, normalized by integrating over the observables in nset.
 
std::unique_ptr< RooFitResultminimizeNLL (RooAbsReal &nll, RooAbsData const &data, MinimizerConfig const &cfg)
 Minimizes a given NLL variable by finding the optimal parameters with the RooMinimzer.
 
bool mustBeExtended () const
 If true PDF must provide extended likelihood term.
 
const char * normRange () const
 
virtual RooPlotparamOn (RooPlot *frame, const RooAbsData *data, const char *label="", Int_t sigDigits=2, Option_t *options="NELU", double xmin=0.65, double xmax=0.9, double ymax=0.9)
 
virtual RooPlotparamOn (RooPlot *frame, const RooCmdArg &arg1=RooCmdArg::none(), const RooCmdArg &arg2=RooCmdArg::none(), const RooCmdArg &arg3=RooCmdArg::none(), const RooCmdArg &arg4=RooCmdArg::none(), const RooCmdArg &arg5=RooCmdArg::none(), const RooCmdArg &arg6=RooCmdArg::none(), const RooCmdArg &arg7=RooCmdArg::none(), const RooCmdArg &arg8=RooCmdArg::none())
 Add a box with parameter values (and errors) to the specified frame.
 
RooPlotplotOn (RooPlot *frame, const RooCmdArg &arg1=RooCmdArg::none(), const RooCmdArg &arg2=RooCmdArg::none(), const RooCmdArg &arg3=RooCmdArg::none(), const RooCmdArg &arg4=RooCmdArg::none(), const RooCmdArg &arg5=RooCmdArg::none(), const RooCmdArg &arg6=RooCmdArg::none(), const RooCmdArg &arg7=RooCmdArg::none(), const RooCmdArg &arg8=RooCmdArg::none(), const RooCmdArg &arg9=RooCmdArg::none(), const RooCmdArg &arg10=RooCmdArg::none()) const override
 Helper calling plotOn(RooPlot*, RooLinkedList&) const.
 
RooPlotplotOn (RooPlot *frame, RooLinkedList &cmdList) const override
 Plot (project) PDF on specified frame.
 
GenSpecprepareMultiGen (const RooArgSet &whatVars, const RooCmdArg &arg1=RooCmdArg::none(), const RooCmdArg &arg2=RooCmdArg::none(), const RooCmdArg &arg3=RooCmdArg::none(), const RooCmdArg &arg4=RooCmdArg::none(), const RooCmdArg &arg5=RooCmdArg::none(), const RooCmdArg &arg6=RooCmdArg::none())
 Prepare GenSpec configuration object for efficient generation of multiple datasets from identical specification.
 
void printMultiline (std::ostream &os, Int_t contents, bool verbose=false, TString indent="") const override
 Print multi line detailed information of this RooAbsPdf.
 
void printValue (std::ostream &os) const override
 Print value of p.d.f, also print normalization integral that was last used, if any.
 
virtual void resetErrorCounters (Int_t resetValue=10)
 Reset error counter to given value, limiting the number of future error messages for this pdf to 'resetValue'.
 
void setGeneratorConfig ()
 Remove the specialized numeric MC generator configuration associated with this object.
 
void setGeneratorConfig (const RooNumGenConfig &config)
 Set the given configuration as default numeric MC generator configuration for this object.
 
void setNormRange (const char *rangeName)
 
void setNormRangeOverride (const char *rangeName)
 
void setTraceCounter (Int_t value, bool allNodes=false)
 Reset trace counter to given value, limiting the number of future trace messages for this pdf to 'value'.
 
RooNumGenConfigspecialGeneratorConfig () const
 Returns the specialized integrator configuration for this RooAbsReal.
 
RooNumGenConfigspecialGeneratorConfig (bool createOnTheFly)
 Returns the specialized integrator configuration for this RooAbsReal.
 
void StreamerNVirtual (TBuffer &ClassDef_StreamerNVirtual_b)
 
- Public Member Functions inherited from RooAbsReal
 RooAbsReal ()
 coverity[UNINIT_CTOR] Default constructor
 
 RooAbsReal (const char *name, const char *title, const char *unit="")
 Constructor with unit label.
 
 RooAbsReal (const char *name, const char *title, double minVal, double maxVal, const char *unit="")
 Constructor with plot range and unit label.
 
 RooAbsReal (const RooAbsReal &other, const char *name=nullptr)
 Copy constructor.
 
 ~RooAbsReal () override
 Destructor.
 
TF1asTF (const RooArgList &obs, const RooArgList &pars=RooArgList(), const RooArgSet &nset=RooArgSet()) const
 Return a ROOT TF1,2,3 object bound to this RooAbsReal with given definition of observables and parameters.
 
RooAbsFuncbindVars (const RooArgSet &vars, const RooArgSet *nset=nullptr, bool clipInvalid=false) const
 Create an interface adaptor f(vars) that binds us to the specified variables (in arbitrary order).
 
RooAbsArgcreateFundamental (const char *newname=nullptr) const override
 Create a RooRealVar fundamental object with our properties.
 
TH1createHistogram (const char *name, const RooAbsRealLValue &xvar, const RooCmdArg &arg1=RooCmdArg::none(), const RooCmdArg &arg2=RooCmdArg::none(), const RooCmdArg &arg3=RooCmdArg::none(), const RooCmdArg &arg4=RooCmdArg::none(), const RooCmdArg &arg5=RooCmdArg::none(), const RooCmdArg &arg6=RooCmdArg::none(), const RooCmdArg &arg7=RooCmdArg::none(), const RooCmdArg &arg8=RooCmdArg::none()) const
 Create and fill a ROOT histogram TH1, TH2 or TH3 with the values of this function.
 
TH1createHistogram (const char *name, const RooAbsRealLValue &xvar, RooLinkedList &argList) const
 Internal method implementing createHistogram.
 
TH1createHistogram (RooStringView varNameList, Int_t xbins=0, Int_t ybins=0, Int_t zbins=0) const
 Create and fill a ROOT histogram TH1, TH2 or TH3 with the values of this function for the variables with given names.
 
RooFit::OwningPtr< RooAbsRealcreateIntegral (const RooArgSet &iset, const char *rangeName) const
 Create integral over observables in iset in range named rangeName.
 
RooFit::OwningPtr< RooAbsRealcreateIntegral (const RooArgSet &iset, const RooArgSet &nset, const char *rangeName=nullptr) const
 Create integral over observables in iset in range named rangeName with integrand normalized over observables in nset.
 
RooFit::OwningPtr< RooAbsRealcreateIntegral (const RooArgSet &iset, const RooArgSet &nset, const RooNumIntConfig &cfg, const char *rangeName=nullptr) const
 Create integral over observables in iset in range named rangeName with integrand normalized over observables in nset while using specified configuration for any numeric integration.
 
RooFit::OwningPtr< RooAbsRealcreateIntegral (const RooArgSet &iset, const RooCmdArg &arg1, const RooCmdArg &arg2=RooCmdArg::none(), const RooCmdArg &arg3=RooCmdArg::none(), const RooCmdArg &arg4=RooCmdArg::none(), const RooCmdArg &arg5=RooCmdArg::none(), const RooCmdArg &arg6=RooCmdArg::none(), const RooCmdArg &arg7=RooCmdArg::none(), const RooCmdArg &arg8=RooCmdArg::none()) const
 Create an object that represents the integral of the function over one or more observables std::listed in iset.
 
RooFit::OwningPtr< RooAbsRealcreateIntegral (const RooArgSet &iset, const RooNumIntConfig &cfg, const char *rangeName=nullptr) const
 Create integral over observables in iset in range named rangeName using specified configuration for any numeric integration.
 
RooFit::OwningPtr< RooAbsRealcreateIntRI (const RooArgSet &iset, const RooArgSet &nset={})
 Utility function for createRunningIntegral.
 
const RooAbsRealcreatePlotProjection (const RooArgSet &dependentVars, const RooArgSet *projectedVars, RooArgSet *&cloneSet, const char *rangeName=nullptr, const RooArgSet *condObs=nullptr) const
 Utility function for plotOn() that creates a projection of a function or p.d.f to be plotted on a RooPlot.
 
const RooAbsRealcreatePlotProjection (const RooArgSet &depVars, const RooArgSet &projVars, RooArgSet *&cloneSet) const
 Utility function for plotOn() that creates a projection of a function or p.d.f to be plotted on a RooPlot.
 
virtual RooAbsRealcreateProfile (const RooArgSet &paramsOfInterest)
 Create a RooProfileLL object that eliminates all nuisance parameters in the present function.
 
RooFit::OwningPtr< RooAbsRealcreateRunningIntegral (const RooArgSet &iset, const RooArgSet &nset={})
 Calls createRunningIntegral(const RooArgSet&, const RooCmdArg&, const RooCmdArg&, const RooCmdArg&, const RooCmdArg&, const RooCmdArg&, const RooCmdArg&, const RooCmdArg&, const RooCmdArg&)
 
RooFit::OwningPtr< RooAbsRealcreateRunningIntegral (const RooArgSet &iset, const RooCmdArg &arg1, const RooCmdArg &arg2=RooCmdArg::none(), const RooCmdArg &arg3=RooCmdArg::none(), const RooCmdArg &arg4=RooCmdArg::none(), const RooCmdArg &arg5=RooCmdArg::none(), const RooCmdArg &arg6=RooCmdArg::none(), const RooCmdArg &arg7=RooCmdArg::none(), const RooCmdArg &arg8=RooCmdArg::none())
 Create an object that represents the running integral of the function over one or more observables std::listed in iset, i.e.
 
RooFit::OwningPtr< RooAbsRealcreateScanRI (const RooArgSet &iset, const RooArgSet &nset, Int_t numScanBins, Int_t intOrder)
 Utility function for createRunningIntegral that construct an object implementing the numeric scanning technique for calculating the running integral.
 
virtual double defaultErrorLevel () const
 
RooDerivativederivative (RooRealVar &obs, const RooArgSet &normSet, Int_t order, double eps=0.001)
 Return function representing first, second or third order derivative of this function.
 
RooDerivativederivative (RooRealVar &obs, Int_t order=1, double eps=0.001)
 Return function representing first, second or third order derivative of this function.
 
virtual void enableOffsetting (bool)
 
RooDataHistfillDataHist (RooDataHist *hist, const RooArgSet *nset, double scaleFactor, bool correctForBinVolume=false, bool showProgress=false) const
 Fill a RooDataHist with values sampled from this function at the bin centers.
 
TH1fillHistogram (TH1 *hist, const RooArgList &plotVars, double scaleFactor=1, const RooArgSet *projectedVars=nullptr, bool scaling=true, const RooArgSet *condObs=nullptr, bool setError=true) const
 Fill the ROOT histogram 'hist' with values sampled from this function at the bin centers.
 
double findRoot (RooRealVar &x, double xmin, double xmax, double yval)
 Return value of x (in range xmin,xmax) at which function equals yval.
 
virtual void fixAddCoefNormalization (const RooArgSet &addNormSet=RooArgSet(), bool force=true)
 Fix the interpretation of the coefficient of any RooAddPdf component in the expression tree headed by this object to the given set of observables.
 
virtual void fixAddCoefRange (const char *rangeName=nullptr, bool force=true)
 Fix the interpretation of the coefficient of any RooAddPdf component in the expression tree headed by this object to the given set of observables.
 
virtual void forceNumInt (bool flag=true)
 
RooFunctorfunctor (const RooArgList &obs, const RooArgList &pars=RooArgList(), const RooArgSet &nset=RooArgSet()) const
 Return a RooFunctor object bound to this RooAbsReal with given definition of observables and parameters.
 
bool getForceNumInt () const
 
RooNumIntConfiggetIntegratorConfig ()
 Return the numeric integration configuration used for this object.
 
const RooNumIntConfiggetIntegratorConfig () const
 Return the numeric integration configuration used for this object.
 
const char * getPlotLabel () const
 Get the label associated with the variable.
 
double getPropagatedError (const RooFitResult &fr, const RooArgSet &nset=RooArgSet()) const
 Calculate error on self by linearly propagating errors on parameters using the covariance matrix from a fit result.
 
TString getTitle (bool appendUnit=false) const
 Return this variable's title std::string.
 
const Text_tgetUnit () const
 
double getVal (const RooArgSet &normalisationSet) const
 Like getVal(const RooArgSet*), but always requires an argument for normalisation.
 
double getVal (const RooArgSet *normalisationSet=nullptr) const
 Evaluate object.
 
virtual RooSpan< const doublegetValBatch (std::size_t, std::size_t, const RooArgSet *=nullptr)=delete
 
std::vector< doublegetValues (RooAbsData const &data) const
 
virtual RooSpan< const doublegetValues (RooBatchCompute::RunContext &evalData, const RooArgSet *normSet=nullptr) const
 
RooMultiGenFunctioniGenFunction (const RooArgSet &observables, const RooArgSet &nset=RooArgSet())
 
RooGenFunctioniGenFunction (RooRealVar &x, const RooArgSet &nset=RooArgSet())
 
bool isIdentical (const RooAbsArg &other, bool assumeSameType=false) const override
 
virtual bool isOffsetting () const
 
bool isSelectedComp () const
 If true, the current pdf is a selected component (for use in plotting)
 
void logEvalError (const char *message, const char *serverValueString=nullptr) const
 Log evaluation error message.
 
RooAbsMomentmean (RooRealVar &obs)
 
RooAbsMomentmean (RooRealVar &obs, const RooArgSet &nset)
 
RooAbsMomentmoment (RooRealVar &obs, const RooArgSet &normObs, Int_t order, bool central, bool takeRoot, bool intNormObs)
 Return function representing moment of p.d.f (normalized w.r.t given observables) of given order.
 
RooAbsMomentmoment (RooRealVar &obs, Int_t order, bool central, bool takeRoot)
 Return function representing moment of function of given order.
 
virtual double offset () const
 
bool operator== (const RooAbsArg &other) const override
 Equality operator when comparing to another RooAbsArg.
 
bool operator== (double value) const
 Equality operator comparing to a double.
 
virtual RooPlotplotSliceOn (RooPlot *frame, const RooArgSet &sliceSet, Option_t *drawOptions="L", double scaleFactor=1.0, ScaleType stype=Relative, const RooAbsData *projData=nullptr) const
 
virtual void preferredObservableScanOrder (const RooArgSet &obs, RooArgSet &orderedObs) const
 Interface method for function objects to indicate their preferred order of observables for scanning their values into a (multi-dimensional) histogram or RooDataSet.
 
void printMultiline (std::ostream &os, Int_t contents, bool verbose=false, TString indent="") const override
 Structure printing.
 
void printValue (std::ostream &os) const override
 Print object value.
 
bool readFromStream (std::istream &is, bool compact, bool verbose=false) override
 Read object contents from stream (dummy for now)
 
void selectComp (bool flag)
 
void setCachedValue (double value, bool notifyClients=true) final
 Overwrite the value stored in this object's cache.
 
virtual bool setData (RooAbsData &, bool=true)
 
void setIntegratorConfig ()
 Remove the specialized numeric integration configuration associated with this object.
 
void setIntegratorConfig (const RooNumIntConfig &config)
 Set the given integrator configuration as default numeric integration configuration for this object.
 
void setParameterizeIntegral (const RooArgSet &paramVars)
 
void setPlotLabel (const char *label)
 Set the label associated with this variable.
 
void setUnit (const char *unit)
 
RooAbsMomentsigma (RooRealVar &obs)
 
RooAbsMomentsigma (RooRealVar &obs, const RooArgSet &nset)
 
RooNumIntConfigspecialIntegratorConfig () const
 Returns the specialized integrator configuration for this RooAbsReal.
 
RooNumIntConfigspecialIntegratorConfig (bool createOnTheFly)
 Returns the specialized integrator configuration for this RooAbsReal.
 
void StreamerNVirtual (TBuffer &ClassDef_StreamerNVirtual_b)
 
void writeToStream (std::ostream &os, bool compact) const override
 Write object contents to stream (dummy for now)
 
- Public Member Functions inherited from RooAbsArg
 RooAbsArg ()
 Default constructor.
 
 RooAbsArg (const char *name, const char *title)
 Create an object with the specified name and descriptive title.
 
 RooAbsArg (const RooAbsArg &other, const char *name=nullptr)
 Copy constructor transfers all boolean and string properties of the original object.
 
 ~RooAbsArg () override
 Destructor.
 
bool addOwnedComponents (const RooAbsCollection &comps)
 Take ownership of the contents of 'comps'.
 
bool addOwnedComponents (RooAbsCollection &&comps)
 Take ownership of the contents of 'comps'.
 
bool addOwnedComponents (RooArgList &&comps)
 Take ownership of the contents of 'comps'.
 
template<typename... Args_t>
bool addOwnedComponents (std::unique_ptr< Args_t >... comps)
 
virtual void applyWeightSquared (bool flag)
 Disables or enables the usage of squared weights.
 
void attachArgs (const RooAbsCollection &set)
 Bind this node to objects in set.
 
void attachDataSet (const RooAbsData &set)
 Replace server nodes with names matching the dataset variable names with those data set variables, making this PDF directly dependent on the dataset.
 
void attachDataStore (const RooAbsDataStore &set)
 Replace server nodes with names matching the dataset variable names with those data set variables, making this PDF directly dependent on the dataset.
 
const std::set< std::string > & attributes () const
 
virtual bool canComputeBatchWithCuda () const
 
virtual bool checkObservables (const RooArgSet *nset) const
 Overloadable function in which derived classes can implement consistency checks of the variables.
 
TObjectClone (const char *newname=nullptr) const override
 Make a clone of an object using the Streamer facility.
 
virtual RooAbsArgcloneTree (const char *newname=nullptr) const
 Clone tree expression of objects.
 
Int_t Compare (const TObject *other) const override
 Utility function used by TCollection::Sort to compare contained TObjects We implement comparison by name, resulting in alphabetical sorting by object name.
 
std::size_t dataToken () const
 Returns the token for retrieving results in the BatchMode. For internal use only.
 
Int_t defaultPrintContents (Option_t *opt) const override
 Define default contents to print.
 
bool dependsOn (const RooAbsArg &server, const RooAbsArg *ignoreArg=nullptr, bool valueOnly=false) const
 Test whether we depend on (ie, are served by) the specified object.
 
bool dependsOn (const RooAbsCollection &serverList, const RooAbsArg *ignoreArg=nullptr, bool valueOnly=false) const
 Test whether we depend on (ie, are served by) any object in the specified collection.
 
bool dependsOn (TNamed const *namePtr, const RooAbsArg *ignoreArg=nullptr, bool valueOnly=false) const
 Test whether we depend on (ie, are served by) an object with a specific name.
 
bool dependsOnValue (const RooAbsArg &server, const RooAbsArg *ignoreArg=nullptr) const
 Check whether this object depends on values served from the object passed as server.
 
bool dependsOnValue (const RooAbsCollection &serverList, const RooAbsArg *ignoreArg=nullptr) const
 Check whether this object depends on values from an element in the serverList.
 
bool getAttribute (const Text_t *name) const
 Check if a named attribute is set. By default, all attributes are unset.
 
RooLinkedList getCloningAncestors () const
 Return ancestors in cloning chain of this RooAbsArg.
 
RooFit::OwningPtr< RooArgSetgetComponents () const
 Create a RooArgSet with all components (branch nodes) of the expression tree headed by this object.
 
bool getObservables (const RooAbsCollection *depList, RooArgSet &outputSet, bool valueOnly=true) const
 Create a list of leaf nodes in the arg tree starting with ourself as top node that match any of the names the args in the supplied argset.
 
RooFit::OwningPtr< RooArgSetgetObservables (const RooAbsData &data) const
 Return the observables of this pdf given the observables defined by data.
 
RooFit::OwningPtr< RooArgSetgetObservables (const RooAbsData *data) const
 Create a list of leaf nodes in the arg tree starting with ourself as top node that match any of the names of the variable list of the supplied data set (the dependents).
 
RooFit::OwningPtr< RooArgSetgetObservables (const RooArgSet &set, bool valueOnly=true) const
 Given a set of possible observables, return the observables that this PDF depends on.
 
RooFit::OwningPtr< RooArgSetgetObservables (const RooArgSet *depList, bool valueOnly=true) const
 Create a list of leaf nodes in the arg tree starting with ourself as top node that match any of the names the args in the supplied argset.
 
RooFit::OwningPtr< RooArgSetgetParameters (const RooAbsData &data, bool stripDisconnected=true) const
 Return the parameters of this p.d.f when used in conjuction with dataset 'data'.
 
RooFit::OwningPtr< RooArgSetgetParameters (const RooAbsData *data, bool stripDisconnected=true) const
 Create a list of leaf nodes in the arg tree starting with ourself as top node that don't match any of the names of the variable list of the supplied data set (the dependents).
 
RooFit::OwningPtr< RooArgSetgetParameters (const RooArgSet &observables, bool stripDisconnected=true) const
 Return the parameters of the p.d.f given the provided set of observables.
 
RooFit::OwningPtr< RooArgSetgetParameters (const RooArgSet *observables, bool stripDisconnected=true) const
 Create a list of leaf nodes in the arg tree starting with ourself as top node that don't match any of the names the args in the supplied argset.
 
virtual bool getParameters (const RooArgSet *observables, RooArgSet &outputSet, bool stripDisconnected=true) const
 Fills a list with leaf nodes in the arg tree starting with ourself as top node that don't match any of the names the args in the supplied argset.
 
RooAbsProxygetProxy (Int_t index) const
 Return the nth proxy from the proxy list.
 
const Text_tgetStringAttribute (const Text_t *key) const
 Get string attribute mapped under key 'key'.
 
bool getTransientAttribute (const Text_t *name) const
 Check if a named attribute is set.
 
RooFit::OwningPtr< RooArgSetgetVariables (bool stripDisconnected=true) const
 Return RooArgSet with all variables (tree leaf nodes of expresssion tree)
 
void graphVizTree (const char *fileName, const char *delimiter="\n", bool useTitle=false, bool useLatex=false)
 Create a GraphViz .dot file visualizing the expression tree headed by this RooAbsArg object.
 
void graphVizTree (std::ostream &os, const char *delimiter="\n", bool useTitle=false, bool useLatex=false)
 Write the GraphViz representation of the expression tree headed by this RooAbsArg object to the given ostream.
 
bool hasClients () const
 
bool hasDataToken () const
 
virtual bool hasRange (const char *) const
 
virtual bool importWorkspaceHook (RooWorkspace &ws)
 
virtual bool inRange (const char *) const
 
virtual bool isCategory () const
 
bool isCloneOf (const RooAbsArg &other) const
 Check if this object was created as a clone of 'other'.
 
bool isConstant () const
 Check if the "Constant" attribute is set.
 
virtual bool isDerived () const
 Does value or shape of this arg depend on any other arg?
 
virtual bool isReducerNode () const
 
bool IsSortable () const override
 
bool localNoDirtyInhibit () const
 
const TNamednamePtr () const
 De-duplicated pointer to this object's name.
 
Int_t numProxies () const
 Return the number of registered proxies.
 
bool observableOverlaps (const RooAbsData *dset, const RooAbsArg &testArg) const
 Test if any of the dependents of the arg tree (as determined by getObservables) overlaps with those of the testArg.
 
bool observableOverlaps (const RooArgSet *depList, const RooAbsArg &testArg) const
 Test if any of the dependents of the arg tree (as determined by getObservables) overlaps with those of the testArg.
 
RooAbsArgoperator= (const RooAbsArg &other)=delete
 
bool overlaps (const RooAbsArg &testArg, bool valueOnly=false) const
 Test if any of the nodes of tree are shared with that of the given tree.
 
const RooArgSetownedComponents () const
 
void Print (Option_t *options=nullptr) const override
 Print the object to the defaultPrintStream().
 
void printAddress (std::ostream &os) const override
 Print class name of object.
 
void printArgs (std::ostream &os) const override
 Print object arguments, ie its proxies.
 
void printClassName (std::ostream &os) const override
 Print object class name.
 
void printCompactTree (const char *indent="", const char *fileName=nullptr, const char *namePat=nullptr, RooAbsArg *client=nullptr)
 Print tree structure of expression tree on stdout, or to file if filename is specified.
 
void printCompactTree (std::ostream &os, const char *indent="", const char *namePat=nullptr, RooAbsArg *client=nullptr)
 Print tree structure of expression tree on given ostream.
 
virtual void printCompactTreeHook (std::ostream &os, const char *ind="")
 Hook function interface for object to insert additional information when printed in the context of a tree structure.
 
void printComponentTree (const char *indent="", const char *namePat=nullptr, Int_t nLevel=999)
 Print tree structure of expression tree on given ostream, only branch nodes are printed.
 
void printDirty (bool depth=true) const
 Print information about current value dirty state information.
 
virtual void printMetaArgs (std::ostream &) const
 
void printName (std::ostream &os) const override
 Print object name.
 
void printTitle (std::ostream &os) const override
 Print object title.
 
void printTree (std::ostream &os, TString indent="") const override
 Print object tree structure.
 
bool recursiveCheckObservables (const RooArgSet *nset) const
 Recursively call checkObservables on all nodes in the expression tree.
 
void removeStringAttribute (const Text_t *key)
 Delete a string attribute with a given key.
 
void resetDataToken ()
 
void setAttribute (const Text_t *name, bool value=true)
 Set (default) or clear a named boolean attribute of this object.
 
void setDataToken (std::size_t index)
 Sets the token for retrieving results in the BatchMode. For internal use only.
 
void setLocalNoDirtyInhibit (bool flag) const
 
void SetName (const char *name) override
 Set the name of the TNamed.
 
void SetNameTitle (const char *name, const char *title) override
 Set all the TNamed parameters (name and title).
 
void setProhibitServerRedirect (bool flag)
 
void setStringAttribute (const Text_t *key, const Text_t *value)
 Associate string 'value' to this object under key 'key'.
 
void setTransientAttribute (const Text_t *name, bool value=true)
 Set (default) or clear a named boolean attribute of this object.
 
void setWorkspace (RooWorkspace &ws)
 
const std::map< std::string, std::string > & stringAttributes () const
 
const std::set< std::string > & transientAttributes () const
 
RooWorkspaceworkspace () const
 
TIteratorclientIterator () const
 Retrieve a client iterator.
 
TIteratorvalueClientIterator () const
 
TIteratorshapeClientIterator () const
 
TIteratorserverIterator () const
 
RooFIter valueClientMIterator () const
 
RooFIter shapeClientMIterator () const
 
RooFIter serverMIterator () const
 
RooFit::OwningPtr< RooArgSetgetDependents (const RooArgSet &set) const
 
RooFit::OwningPtr< RooArgSetgetDependents (const RooAbsData *set) const
 
RooFit::OwningPtr< RooArgSetgetDependents (const RooArgSet *depList) const
 
bool dependentOverlaps (const RooAbsData *dset, const RooAbsArg &testArg) const
 
bool dependentOverlaps (const RooArgSet *depList, const RooAbsArg &testArg) const
 
bool checkDependents (const RooArgSet *nset) const
 
bool recursiveCheckDependents (const RooArgSet *nset) const
 
const RefCountList_tclients () const
 List of all clients of this object.
 
const RefCountList_tvalueClients () const
 List of all value clients of this object. Value clients receive value updates.
 
const RefCountList_tshapeClients () const
 List of all shape clients of this object.
 
const RefCountList_tservers () const
 List of all servers of this object.
 
RooAbsArgfindServer (const char *name) const
 Return server of this with name name. Returns nullptr if not found.
 
RooAbsArgfindServer (const RooAbsArg &arg) const
 Return server of this that has the same name as arg. Returns nullptr if not found.
 
RooAbsArgfindServer (Int_t index) const
 Return i-th server from server list.
 
bool isValueServer (const RooAbsArg &arg) const
 Check if this is serving values to arg.
 
bool isValueServer (const char *name) const
 Check if this is serving values to an object with name name.
 
bool isShapeServer (const RooAbsArg &arg) const
 Check if this is serving shape to arg.
 
bool isShapeServer (const char *name) const
 Check if this is serving shape to an object with name name.
 
void leafNodeServerList (RooAbsCollection *list, const RooAbsArg *arg=nullptr, bool recurseNonDerived=false) const
 Fill supplied list with all leaf nodes of the arg tree, starting with ourself as top node.
 
void branchNodeServerList (RooAbsCollection *list, const RooAbsArg *arg=nullptr, bool recurseNonDerived=false) const
 Fill supplied list with all branch nodes of the arg tree starting with ourself as top node.
 
void treeNodeServerList (RooAbsCollection *list, const RooAbsArg *arg=nullptr, bool doBranch=true, bool doLeaf=true, bool valueOnly=false, bool recurseNonDerived=false) const
 Fill supplied list with nodes of the arg tree, following all server links, starting with ourself as top node.
 
virtual bool isFundamental () const
 Is this object a fundamental type that can be added to a dataset? Fundamental-type subclasses override this method to return true.
 
virtual bool isLValue () const
 Is this argument an l-value, i.e., can it appear on the left-hand side of an assignment expression? LValues are also special since they can potentially be analytically integrated and generated.
 
bool redirectServers (const RooAbsCollection &newServerList, bool mustReplaceAll=false, bool nameChange=false, bool isRecursionStep=false)
 Replace all direct servers of this object with the new servers in newServerList.
 
bool redirectServers (std::unordered_map< RooAbsArg *, RooAbsArg * > const &replacements)
 Replace some servers of this object.
 
bool recursiveRedirectServers (const RooAbsCollection &newServerList, bool mustReplaceAll=false, bool nameChange=false, bool recurseInNewSet=true)
 Recursively replace all servers with the new servers in newSet.
 
virtual void serverNameChangeHook (const RooAbsArg *, const RooAbsArg *)
 
void addServer (RooAbsArg &server, bool valueProp=true, bool shapeProp=false, std::size_t refCount=1)
 Register another RooAbsArg as a server to us, ie, declare that we depend on it.
 
void addServerList (RooAbsCollection &serverList, bool valueProp=true, bool shapeProp=false)
 Register a list of RooAbsArg as servers to us by calling addServer() for each arg in the list.
 
void replaceServer (RooAbsArg &oldServer, RooAbsArg &newServer, bool valueProp, bool shapeProp)
 Replace 'oldServer' with 'newServer', specifying whether the new server has value or shape server properties.
 
void changeServer (RooAbsArg &server, bool valueProp, bool shapeProp)
 Change dirty flag propagation mask for specified server.
 
void removeServer (RooAbsArg &server, bool force=false)
 Unregister another RooAbsArg as a server to us, ie, declare that we no longer depend on its value and shape.
 
RooAbsArgfindNewServer (const RooAbsCollection &newSet, bool nameChange) const
 Find the new server in the specified set that matches the old server.
 
virtual void optimizeCacheMode (const RooArgSet &observables)
 Activate cache mode optimization with given definition of observables.
 
virtual void optimizeCacheMode (const RooArgSet &observables, RooArgSet &optNodes, RooLinkedList &processedNodes)
 Activate cache mode optimization with given definition of observables.
 
bool findConstantNodes (const RooArgSet &observables, RooArgSet &cacheList)
 Find branch nodes with all-constant parameters, and add them to the list of nodes that can be cached with a dataset in a test statistic calculation.
 
bool findConstantNodes (const RooArgSet &observables, RooArgSet &cacheList, RooLinkedList &processedNodes)
 Find branch nodes with all-constant parameters, and add them to the list of nodes that can be cached with a dataset in a test statistic calculation.
 
virtual void constOptimizeTestStatistic (ConstOpCode opcode, bool doAlsoTrackingOpt=true)
 Interface function signaling a request to perform constant term optimization.
 
virtual CacheMode canNodeBeCached () const
 
virtual void setCacheAndTrackHints (RooArgSet &)
 
bool isShapeDirty () const
 
bool isValueDirty () const
 
bool isValueDirtyAndClear () const
 
bool isValueOrShapeDirtyAndClear () const
 
void registerCache (RooAbsCache &cache)
 Register RooAbsCache with this object.
 
void unRegisterCache (RooAbsCache &cache)
 Unregister a RooAbsCache. Called from the RooAbsCache destructor.
 
Int_t numCaches () const
 Return number of registered caches.
 
RooAbsCachegetCache (Int_t index) const
 Return registered cache object by index.
 
OperMode operMode () const
 Query the operation mode of this node.
 
void setOperMode (OperMode mode, bool recurseADirty=true)
 Set the operation mode of this node.
 
void setValueDirty ()
 Mark the element dirty. This forces a re-evaluation when a value is requested.
 
void setShapeDirty ()
 Notify that a shape-like property (e.g. binning) has changed.
 
const char * aggregateCacheUniqueSuffix () const
 
virtual const char * cacheUniqueSuffix () const
 
void wireAllCaches ()
 
RooExpensiveObjectCacheexpensiveObjectCache () const
 
virtual void setExpensiveObjectCache (RooExpensiveObjectCache &cache)
 
- Public Member Functions inherited from TNamed
 TNamed ()
 
 TNamed (const char *name, const char *title)
 
 TNamed (const TNamed &named)
 TNamed copy ctor.
 
 TNamed (const TString &name, const TString &title)
 
virtual ~TNamed ()
 TNamed destructor.
 
void Clear (Option_t *option="") override
 Set name and title to empty strings ("").
 
TObjectClone (const char *newname="") const override
 Make a clone of an object using the Streamer facility.
 
Int_t Compare (const TObject *obj) const override
 Compare two TNamed objects.
 
void Copy (TObject &named) const override
 Copy this to obj.
 
virtual void FillBuffer (char *&buffer)
 Encode TNamed into output buffer.
 
const char * GetName () const override
 Returns name of object.
 
const char * GetTitle () const override
 Returns title of object.
 
ULong_t Hash () const override
 Return hash value for this object.
 
TClassIsA () const override
 
Bool_t IsSortable () const override
 
void ls (Option_t *option="") const override
 List TNamed name and title.
 
TNamedoperator= (const TNamed &rhs)
 TNamed assignment operator.
 
void Print (Option_t *option="") const override
 Print TNamed name and title.
 
virtual void SetTitle (const char *title="")
 Set the title of the TNamed.
 
virtual Int_t Sizeof () const
 Return size of the TNamed part of the TObject.
 
void Streamer (TBuffer &) override
 Stream an object of class TObject.
 
void StreamerNVirtual (TBuffer &ClassDef_StreamerNVirtual_b)
 
- Public Member Functions inherited from TObject
 TObject ()
 TObject constructor.
 
 TObject (const TObject &object)
 TObject copy ctor.
 
virtual ~TObject ()
 TObject destructor.
 
void AbstractMethod (const char *method) const
 Use this method to implement an "abstract" method that you don't want to leave purely abstract.
 
virtual void AppendPad (Option_t *option="")
 Append graphics object to current pad.
 
virtual void Browse (TBrowser *b)
 Browse object. May be overridden for another default action.
 
ULong_t CheckedHash ()
 Check and record whether this class has a consistent Hash/RecursiveRemove setup (*) and then return the regular Hash value for this object.
 
virtual const char * ClassName () const
 Returns name of class to which the object belongs.
 
virtual void Delete (Option_t *option="")
 Delete this object.
 
virtual Int_t DistancetoPrimitive (Int_t px, Int_t py)
 Computes distance from point (px,py) to the object.
 
virtual void Draw (Option_t *option="")
 Default Draw method for all objects.
 
virtual void DrawClass () const
 Draw class inheritance tree of the class to which this object belongs.
 
virtual TObjectDrawClone (Option_t *option="") const
 Draw a clone of this object in the current selected pad with: gROOT->SetSelectedPad(c1).
 
virtual void Dump () const
 Dump contents of object on stdout.
 
virtual void Error (const char *method, const char *msgfmt,...) const
 Issue error message.
 
virtual void Execute (const char *method, const char *params, Int_t *error=nullptr)
 Execute method on this object with the given parameter string, e.g.
 
virtual void Execute (TMethod *method, TObjArray *params, Int_t *error=nullptr)
 Execute method on this object with parameters stored in the TObjArray.
 
virtual void ExecuteEvent (Int_t event, Int_t px, Int_t py)
 Execute action corresponding to an event at (px,py).
 
virtual void Fatal (const char *method, const char *msgfmt,...) const
 Issue fatal error message.
 
virtual TObjectFindObject (const char *name) const
 Must be redefined in derived classes.
 
virtual TObjectFindObject (const TObject *obj) const
 Must be redefined in derived classes.
 
virtual Option_tGetDrawOption () const
 Get option used by the graphics system to draw this object.
 
virtual const char * GetIconName () const
 Returns mime type name of object.
 
virtual char * GetObjectInfo (Int_t px, Int_t py) const
 Returns string containing info about the object at position (px,py).
 
virtual Option_tGetOption () const
 
virtual UInt_t GetUniqueID () const
 Return the unique object id.
 
virtual Bool_t HandleTimer (TTimer *timer)
 Execute action in response of a timer timing out.
 
Bool_t HasInconsistentHash () const
 Return true is the type of this object is known to have an inconsistent setup for Hash and RecursiveRemove (i.e.
 
virtual void Info (const char *method, const char *msgfmt,...) const
 Issue info message.
 
virtual Bool_t InheritsFrom (const char *classname) const
 Returns kTRUE if object inherits from class "classname".
 
virtual Bool_t InheritsFrom (const TClass *cl) const
 Returns kTRUE if object inherits from TClass cl.
 
virtual void Inspect () const
 Dump contents of this object in a graphics canvas.
 
void InvertBit (UInt_t f)
 
Bool_t IsDestructed () const
 IsDestructed.
 
virtual Bool_t IsEqual (const TObject *obj) const
 Default equal comparison (objects are equal if they have the same address in memory).
 
virtual Bool_t IsFolder () const
 Returns kTRUE in case object contains browsable objects (like containers or lists of other objects).
 
R__ALWAYS_INLINE Bool_t IsOnHeap () const
 
R__ALWAYS_INLINE Bool_t IsZombie () const
 
void MayNotUse (const char *method) const
 Use this method to signal that a method (defined in a base class) may not be called in a derived class (in principle against good design since a child class should not provide less functionality than its parent, however, sometimes it is necessary).
 
virtual Bool_t Notify ()
 This method must be overridden to handle object notification.
 
void Obsolete (const char *method, const char *asOfVers, const char *removedFromVers) const
 Use this method to declare a method obsolete.
 
void operator delete (void *ptr)
 Operator delete.
 
void operator delete[] (void *ptr)
 Operator delete [].
 
void * operator new (size_t sz)
 
void * operator new (size_t sz, void *vp)
 
void * operator new[] (size_t sz)
 
void * operator new[] (size_t sz, void *vp)
 
TObjectoperator= (const TObject &rhs)
 TObject assignment operator.
 
virtual void Paint (Option_t *option="")
 This method must be overridden if a class wants to paint itself.
 
virtual void Pop ()
 Pop on object drawn in a pad to the top of the display list.
 
virtual Int_t Read (const char *name)
 Read contents of object with specified name from the current directory.
 
virtual void RecursiveRemove (TObject *obj)
 Recursively remove this object from a list.
 
void ResetBit (UInt_t f)
 
virtual void SaveAs (const char *filename="", Option_t *option="") const
 Save this object in the file specified by filename.
 
virtual void SavePrimitive (std::ostream &out, Option_t *option="")
 Save a primitive as a C++ statement(s) on output stream "out".
 
void SetBit (UInt_t f)
 
void SetBit (UInt_t f, Bool_t set)
 Set or unset the user status bits as specified in f.
 
virtual void SetDrawOption (Option_t *option="")
 Set drawing option for object.
 
virtual void SetUniqueID (UInt_t uid)
 Set the unique object id.
 
void StreamerNVirtual (TBuffer &ClassDef_StreamerNVirtual_b)
 
virtual void SysError (const char *method, const char *msgfmt,...) const
 Issue system error message.
 
R__ALWAYS_INLINE Bool_t TestBit (UInt_t f) const
 
Int_t TestBits (UInt_t f) const
 
virtual void UseCurrentStyle ()
 Set current style settings in this object This function is called when either TCanvas::UseCurrentStyle or TROOT::ForceStyle have been invoked.
 
virtual void Warning (const char *method, const char *msgfmt,...) const
 Issue warning message.
 
virtual Int_t Write (const char *name=nullptr, Int_t option=0, Int_t bufsize=0)
 Write this object to the current directory.
 
virtual Int_t Write (const char *name=nullptr, Int_t option=0, Int_t bufsize=0) const
 Write this object to the current directory.
 
- Public Member Functions inherited from RooPrintable
 RooPrintable ()
 
virtual ~RooPrintable ()
 
virtual StyleOption defaultPrintStyle (Option_t *opt) const
 
virtual void printExtras (std::ostream &os) const
 Interface to print extras of object.
 
virtual void printStream (std::ostream &os, Int_t contents, StyleOption style, TString indent="") const
 Print description of object on ostream, printing contents set by contents integer, which is interpreted as an OR of 'enum ContentsOptions' values and in the style given by 'enum StyleOption'.
 
void StreamerNVirtual (TBuffer &ClassDef_StreamerNVirtual_b)
 

Static Public Member Functions

static TClassClass ()
 
static const char * Class_Name ()
 
static constexpr Version_t Class_Version ()
 
static std::unique_ptr< RooAbsPdfcreate (RooAbsPdf &pdf, RooAbsData const &data, double precision)
 Creates a wrapping RooBinSamplingPdf if appropriate.
 
static const char * DeclFileName ()
 
- Static Public Member Functions inherited from RooAbsPdf
static TClassClass ()
 
static const char * Class_Name ()
 
static constexpr Version_t Class_Version ()
 
static const char * DeclFileName ()
 
static RooNumGenConfigdefaultGeneratorConfig ()
 Returns the default numeric MC generator configuration for all RooAbsReals.
 
static int verboseEval ()
 Return global level of verbosity for p.d.f. evaluations.
 
static void verboseEval (Int_t stat)
 Change global level of verbosity for p.d.f. evaluations.
 
- Static Public Member Functions inherited from RooAbsReal
static TClassClass ()
 
static const char * Class_Name ()
 
static constexpr Version_t Class_Version ()
 
static void clearEvalErrorLog ()
 Clear the stack of evaluation error messages.
 
static const char * DeclFileName ()
 
static RooNumIntConfigdefaultIntegratorConfig ()
 Returns the default numeric integration configuration for all RooAbsReals.
 
static EvalErrorIter evalErrorIter ()
 
static ErrorLoggingMode evalErrorLoggingMode ()
 Return current evaluation error logging mode.
 
static bool hideOffset ()
 
static void logEvalError (const RooAbsReal *originator, const char *origName, const char *message, const char *serverValueString=nullptr)
 Interface to insert remote error logging messages received by RooRealMPFE into current error loggin stream.
 
static Int_t numEvalErrorItems ()
 
static Int_t numEvalErrors ()
 Return the number of logged evaluation errors since the last clearing.
 
static void printEvalErrors (std::ostream &os=std::cout, Int_t maxPerNode=10000000)
 Print all outstanding logged evaluation error on the given ostream.
 
static void setEvalErrorLoggingMode (ErrorLoggingMode m)
 Set evaluation error logging mode.
 
static void setHideOffset (bool flag)
 
- Static Public Member Functions inherited from RooAbsArg
static void setDirtyInhibit (bool flag)
 Control global dirty inhibit mode.
 
static void verboseDirty (bool flag)
 Activate verbose messaging related to dirty flag propagation.
 
- Static Public Member Functions inherited from TNamed
static TClassClass ()
 
static const char * Class_Name ()
 
static constexpr Version_t Class_Version ()
 
static const char * DeclFileName ()
 
- Static Public Member Functions inherited from TObject
static TClassClass ()
 
static const char * Class_Name ()
 
static constexpr Version_t Class_Version ()
 
static const char * DeclFileName ()
 
static Longptr_t GetDtorOnly ()
 Return destructor only flag.
 
static Bool_t GetObjectStat ()
 Get status of object stat flag.
 
static void SetDtorOnly (void *obj)
 Set destructor only flag.
 
static void SetObjectStat (Bool_t stat)
 Turn on/off tracking of objects in the TObjectTable.
 
- Static Public Member Functions inherited from RooPrintable
static TClassClass ()
 
static const char * Class_Name ()
 
static constexpr Version_t Class_Version ()
 
static const char * DeclFileName ()
 
static std::ostream & defaultPrintStream (std::ostream *os=nullptr)
 Return a reference to the current default stream to use in Print().
 
static void nameFieldLength (Int_t newLen)
 Set length of field reserved from printing name of RooAbsArgs in multi-line collection printing to given amount.
 

Protected Member Functions

RooSpan< const doublebinBoundaries () const
 Get the bin boundaries for the observable.
 
double evaluate () const override
 Integrate the PDF over the current bin of the observable.
 
- Protected Member Functions inherited from RooAbsPdf
 RooAbsPdf (const RooAbsPdf &other, const char *name=nullptr)
 Copy constructor.
 
bool isActiveNormSet (RooArgSet const *normSet) const
 Checks if normSet is the currently active normalization set of this PDF, meaning is exactly the same object as the one the _normSet member points to (or both are nullptr).
 
double normalizeWithNaNPacking (double rawVal, double normVal) const
 
RooPlotplotOn (RooPlot *frame, PlotOpt o) const override
 Plot oneself on 'frame'.
 
Int_trandomizeProtoOrder (Int_t nProto, Int_t nGen, bool resample=false) const
 Return lookup table with randomized order for nProto prototype events.
 
bool redirectServersHook (const RooAbsCollection &newServerList, bool mustReplaceAll, bool nameChange, bool isRecursiveStep) override
 The cache manager.
 
virtual bool syncNormalization (const RooArgSet *dset, bool adjustProxies=true) const
 Verify that the normalization integral cached with this PDF is valid for given set of normalization observables.
 
- Protected Member Functions inherited from RooAbsReal
void attachToTree (TTree &t, Int_t bufSize=32000) override
 Attach object to a branch of given TTree.
 
void attachToVStore (RooVectorDataStore &vstore) override
 
RooFit::OwningPtr< RooFitResultchi2FitDriver (RooAbsReal &fcn, RooLinkedList &cmdList)
 Internal driver function for chi2 fits.
 
void copyCache (const RooAbsArg *source, bool valueOnly=false, bool setValDirty=true) override
 Copy the cached value of another RooAbsArg to our cache.
 
RooFit::OwningPtr< RooAbsRealcreateIntObj (const RooArgSet &iset, const RooArgSet *nset, const RooNumIntConfig *cfg, const char *rangeName) const
 Internal utility function for createIntegral() that creates the actual integral object.
 
virtual RooSpan< doubleevaluateBatch (std::size_t, std::size_t)=delete
 
virtual RooSpan< doubleevaluateSpan (RooBatchCompute::RunContext &evalData, const RooArgSet *normSet) const
 Evaluate this object for a batch/span of data points.
 
void fillTreeBranch (TTree &t) override
 Fill the tree branch that associated with this object with its current value.
 
void findInnerMostIntegration (const RooArgSet &allObs, RooArgSet &innerObs, const char *rangeName) const
 Utility function for createIntObj() that aids in the construct of recursive integrals over functions with multiple observables with parameterized ranges.
 
TString integralNameSuffix (const RooArgSet &iset, const RooArgSet *nset=nullptr, const char *rangeName=nullptr, bool omitEmpty=false) const
 Construct std::string with unique suffix name to give to integral object that encodes integrated observables, normalization observables and the integration range name.
 
bool isValid () const override
 Check if current value is valid.
 
virtual bool isValidReal (double, bool printError=false) const
 Interface function to check if given value is a valid value for this object. Returns true unless overridden.
 
void makeProjectionSet (const RooAbsArg *plotVar, const RooArgSet *allVars, RooArgSet &projectedVars, bool silent) const
 Utility function for plotOn() that constructs the set of observables to project when plotting ourselves as function of 'plotVar'.
 
bool matchArgs (const RooArgSet &allDeps, RooArgSet &numDeps, const RooArgProxy &a) const
 Utility function for use in getAnalyticalIntegral().
 
bool matchArgs (const RooArgSet &allDeps, RooArgSet &numDeps, const RooArgProxy &a, const RooArgProxy &b) const
 Utility function for use in getAnalyticalIntegral().
 
bool matchArgs (const RooArgSet &allDeps, RooArgSet &numDeps, const RooArgProxy &a, const RooArgProxy &b, const RooArgProxy &c) const
 Utility function for use in getAnalyticalIntegral().
 
bool matchArgs (const RooArgSet &allDeps, RooArgSet &numDeps, const RooArgProxy &a, const RooArgProxy &b, const RooArgProxy &c, const RooArgProxy &d) const
 Utility function for use in getAnalyticalIntegral().
 
bool matchArgs (const RooArgSet &allDeps, RooArgSet &numDeps, const RooArgSet &set) const
 Utility function for use in getAnalyticalIntegral().
 
virtual RooPlotplotAsymOn (RooPlot *frame, const RooAbsCategoryLValue &asymCat, PlotOpt o) const
 
void plotOnCompSelect (RooArgSet *selNodes) const
 Helper function for plotting of composite p.d.fs.
 
RooPlotplotOnWithErrorBand (RooPlot *frame, const RooFitResult &fr, double Z, const RooArgSet *params, const RooLinkedList &argList, bool method1) const
 Plot function or PDF on frame with support for visualization of the uncertainty encoded in the given fit result fr.
 
bool plotSanityChecks (RooPlot *frame) const
 Utility function for plotOn(), perform general sanity check on frame to ensure safe plotting operations.
 
bool redirectServersHook (const RooAbsCollection &newServerList, bool mustReplaceAll, bool nameChange, bool isRecursiveStep) override
 A buffer for reading values from trees.
 
virtual void selectNormalization (const RooArgSet *depSet=nullptr, bool force=false)
 Interface function to force use of a given set of observables to interpret function value.
 
virtual void selectNormalizationRange (const char *rangeName=nullptr, bool force=false)
 Interface function to force use of a given normalization range to interpret function value.
 
void setTreeBranchStatus (TTree &t, bool active) override
 (De)Activate associated tree branch
 
void syncCache (const RooArgSet *set=nullptr) override
 
double traceEval (const RooArgSet *set) const
 Calculate current value of object, with error tracing wrapper.
 
- Protected Member Functions inherited from RooAbsArg
void attachToStore (RooAbsDataStore &store)
 Attach this argument to the data store such that it reads data from there.
 
TString cleanBranchName () const
 Construct a mangled name from the actual name that is free of any math symbols that might be interpreted by TTree.
 
void clearShapeDirty () const
 
void clearValueAndShapeDirty () const
 
void clearValueDirty () const
 
virtual void getObservablesHook (const RooArgSet *, RooArgSet *) const
 
virtual void getParametersHook (const RooArgSet *, RooArgSet *, bool) const
 
void graphVizAddConnections (std::set< std::pair< RooAbsArg *, RooAbsArg * > > &)
 Utility function that inserts all point-to-point client-server connections between any two RooAbsArgs in the expression tree headed by this object in the linkSet argument.
 
bool inhibitDirty () const
 Delete watch flag.
 
virtual void ioStreamerPass2 ()
 Method called by workspace container to finalize schema evolution issues that cannot be handled in a single ioStreamer pass.
 
virtual void operModeHook ()
 
virtual void optimizeDirtyHook (const RooArgSet *)
 
void printAttribList (std::ostream &os) const
 Transient boolean attributes (not copied in ctor)
 
void registerProxy (RooArgProxy &proxy)
 Register an RooArgProxy in the proxy list.
 
void registerProxy (RooListProxy &proxy)
 Register an RooListProxy in the proxy list.
 
void registerProxy (RooSetProxy &proxy)
 Register an RooSetProxy in the proxy list.
 
void setProxyNormSet (const RooArgSet *nset)
 Forward a change in the cached normalization argset to all the registered proxies.
 
void setShapeDirty (const RooAbsArg *source)
 Notify that a shape-like property (e.g. binning) has changed.
 
void setValueDirty (const RooAbsArg *source)
 Force element to re-evaluate itself when a value is requested.
 
void unRegisterProxy (RooArgProxy &proxy)
 Remove proxy from proxy list.
 
void unRegisterProxy (RooListProxy &proxy)
 Remove proxy from proxy list.
 
void unRegisterProxy (RooSetProxy &proxy)
 Remove proxy from proxy list.
 
- Protected Member Functions inherited from TObject
virtual void DoError (int level, const char *location, const char *fmt, va_list va) const
 Interface to ErrorHandler (protected).
 
void MakeZombie ()
 

Private Member Functions

double integrate (const RooArgSet *normSet, double low, double high) const
 Integrate the wrapped PDF using our current integrator, with given norm set and limits.
 
double operator() (double x) const
 Binding used by the integrator to evaluate the PDF.
 

Private Attributes

std::vector< double_binBoundaries
 ! Workspace to store data for bin sampling
 
std::unique_ptr< ROOT::Math::IntegratorOneDim_integrator {nullptr}
 ! Integrator used to sample bins.
 
RooTemplateProxy< RooAbsRealLValue_observable
 
RooTemplateProxy< RooAbsPdf_pdf
 
double _relEpsilon {1.E-4}
 Default integrator precision.
 

Friends

template<typename Func >
class ROOT::Math::WrappedFunction
 

Additional Inherited Members

- Public Types inherited from RooAbsPdf
enum  ExtendMode { CanNotBeExtended , CanBeExtended , MustBeExtended }
 
- Public Types inherited from RooAbsReal
enum  ErrorLoggingMode { PrintErrors , CollectErrors , CountErrors , Ignore }
 
typedef std::map< constRooAbsArg *, std::pair< std::string, std::list< EvalError > > >::const_iterator EvalErrorIter
 
enum  ScaleType { Raw , Relative , NumEvent , RelativeExpected }
 
using value_type = double
 
- Public Types inherited from RooAbsArg
enum  CacheMode { Always =0 , NotAdvised =1 , Never =2 }
 
enum  ConstOpCode { Activate =0 , DeActivate =1 , ConfigChange =2 , ValueChange =3 }
 
enum  OperMode { Auto =0 , AClean =1 , ADirty =2 }
 
using RefCountList_t = RooSTLRefCountList< RooAbsArg >
 
using RefCountListLegacyIterator_t = TIteratorToSTLInterface< RefCountList_t::Container_t >
 
- Public Types inherited from TObject
enum  {
  kIsOnHeap = 0x01000000 , kNotDeleted = 0x02000000 , kZombie = 0x04000000 , kInconsistent = 0x08000000 ,
  kBitMask = 0x00ffffff
}
 
enum  { kSingleKey = (1ULL << ( 0 )) , kOverwrite = (1ULL << ( 1 )) , kWriteDelete = (1ULL << ( 2 )) }
 
enum  EDeprecatedStatusBits { kObjInCanvas = (1ULL << ( 3 )) }
 
enum  EStatusBits {
  kCanDelete = (1ULL << ( 0 )) , kMustCleanup = (1ULL << ( 3 )) , kIsReferenced = (1ULL << ( 4 )) , kHasUUID = (1ULL << ( 5 )) ,
  kCannotPick = (1ULL << ( 6 )) , kNoContextMenu = (1ULL << ( 8 )) , kInvalidObject = (1ULL << ( 13 ))
}
 
- Public Types inherited from RooPrintable
enum  ContentsOption {
  kName =1 , kClassName =2 , kValue =4 , kArgs =8 ,
  kExtras =16 , kAddress =32 , kTitle =64 , kCollectionHeader =128
}
 
enum  StyleOption {
  kInline =1 , kSingleLine =2 , kStandard =3 , kVerbose =4 ,
  kTreeStructure =5
}
 
- Protected Types inherited from TObject
enum  { kOnlyPrepStep = (1ULL << ( 3 )) }
 
- Static Protected Member Functions inherited from RooAbsReal
static void globalSelectComp (bool flag)
 Global switch controlling the activation of the selectComp() functionality.
 
- Static Protected Member Functions inherited from RooAbsArg
static void ioStreamerPass2Finalize ()
 Method called by workspace container to finalize schema evolution issues that cannot be handled in a single ioStreamer pass.
 
- Protected Attributes inherited from RooAbsPdf
Int_t _errorCount
 Number of errors remaining to print.
 
Int_t _negCount
 Number of negative probablities remaining to print.
 
RooAbsReal_norm = nullptr
 
RooObjCacheManager _normMgr
 
TString _normRange
 Normalization range.
 
RooArgSet const * _normSet = nullptr
 Normalization integral (owned by _normMgr)
 
double _rawValue
 
bool _selectComp
 Component selection flag for RooAbsPdf::plotCompOn.
 
std::unique_ptr< RooNumGenConfig_specGeneratorConfig
 ! MC generator configuration specific for this object
 
Int_t _traceCount
 Number of traces remaining to print.
 
- Protected Attributes inherited from RooAbsReal
bool _forceNumInt
 Force numerical integration if flag set.
 
TString _label
 Plot label for objects value.
 
RooArgSet_lastNSet
 !
 
Int_t _plotBins
 Number of plot bins.
 
double _plotMax
 Maximum of plot range.
 
double _plotMin
 Minimum of plot range.
 
bool _selectComp
 
RooNumIntConfig_specIntegratorConfig
 
TString _unit
 Unit for objects value.
 
double _value
 Cache for current value of object.
 
- Protected Attributes inherited from RooAbsArg
std::set< std::string > _boolAttrib
 
std::set< std::string > _boolAttribTransient
 
std::vector< RooAbsCache * > _cacheList
 
RefCountList_t _clientList
 
RefCountList_t _clientListShape
 
RefCountList_t _clientListValue
 
std::size_t _dataToken = std::numeric_limits<std::size_t>::max()
 In which workspace do I live, if any.
 
bool _deleteWatch
 
RooExpensiveObjectCache_eocache {nullptr}
 Prohibit server redirects – Debugging tool.
 
bool _fast = false
 
bool _isConstant
 De-duplicated name pointer. This will be equal for all objects with the same name.
 
bool _localNoInhibitDirty
 Cached isConstant status.
 
RooWorkspace_myws
 Prevent 'AlwaysDirty' mode for this node.
 
const TNamed_namePtr
 Pointer to global cache manager for any expensive components created by this object.
 
OperMode _operMode
 
RooArgSet_ownedComponents
 
bool _prohibitServerRedirect
 Set of owned component.
 
RooRefArray _proxyList
 
ProxyListCache _proxyListCache
 
RefCountList_t _serverList
 
bool _shapeDirty
 
std::map< std::string, std::string > _stringAttrib
 
bool _valueDirty
 
- Protected Attributes inherited from TNamed
TString fName
 
TString fTitle
 
- Static Protected Attributes inherited from RooAbsPdf
static TString _normRangeOverride
 
static Int_t _verboseEval = 0
 
- Static Protected Attributes inherited from RooAbsReal
static bool _globalSelectComp = false
 Component selection flag for RooAbsPdf::plotCompOn.
 
static bool _hideOffset = true
 Offset hiding flag.
 
- Static Protected Attributes inherited from RooAbsArg
static bool _inhibitDirty
 
static bool _verboseDirty
 cache of the list of proxies. Avoids type casting.
 
- Static Protected Attributes inherited from RooPrintable
static Int_t _nameLength
 

#include <RooBinSamplingPdf.h>

Inheritance diagram for RooBinSamplingPdf:
[legend]

Constructor & Destructor Documentation

◆ RooBinSamplingPdf() [1/3]

RooBinSamplingPdf::RooBinSamplingPdf ( )
inline

Definition at line 31 of file RooBinSamplingPdf.h.

◆ RooBinSamplingPdf() [2/3]

RooBinSamplingPdf::RooBinSamplingPdf ( const char *  name,
const char *  title,
RooAbsRealLValue observable,
RooAbsPdf inputPdf,
double  epsilon = 1.E-4 
)

Construct a new RooBinSamplingPdf.

Parameters
[in]nameA name to identify this object.
[in]titleTitle (for e.g. plotting)
[in]observableObservable to integrate over (the one that is binned).
[in]inputPdfA PDF whose bins should be sampled with higher precision.
[in]epsilonRelative precision for the integrator, which is used to sample the bins. Note that ROOT's default is to use an adaptive integrator, which in its first iteration usually reaches relative precision of 1.E-4 or better. Therefore, asking for lower precision rarely has an effect.

Definition at line 113 of file RooBinSamplingPdf.cxx.

◆ RooBinSamplingPdf() [3/3]

RooBinSamplingPdf::RooBinSamplingPdf ( const RooBinSamplingPdf other,
const char *  name = nullptr 
)

Copy a RooBinSamplingPdf.

Parameters
[in]otherPDF to copy.
[in]nameOptionally rename the copy.

Definition at line 131 of file RooBinSamplingPdf.cxx.

Member Function Documentation

◆ analyticalIntegral()

double RooBinSamplingPdf::analyticalIntegral ( Int_t  code,
const char *  rangeName = nullptr 
) const
inlineoverridevirtual

Forwards to the PDF's implementation.

Reimplemented from RooAbsReal.

Definition at line 60 of file RooBinSamplingPdf.h.

◆ analyticalIntegralWN()

double RooBinSamplingPdf::analyticalIntegralWN ( Int_t  code,
const RooArgSet normSet,
const char *  rangeName 
) const
inlineoverridevirtual

Forwards to the PDF's implementation.

Reimplemented from RooAbsPdf.

Definition at line 56 of file RooBinSamplingPdf.h.

◆ binBoundaries() [1/2]

RooSpan< const double > RooBinSamplingPdf::binBoundaries ( ) const
protected

Get the bin boundaries for the observable.

These will be recomputed whenever the shape of this object is dirty.

Definition at line 187 of file RooBinSamplingPdf.cxx.

◆ binBoundaries() [2/2]

std::list< double > * RooBinSamplingPdf::binBoundaries ( RooAbsRealLValue obs,
double  xlo,
double  xhi 
) const
overridevirtual

Return a list of all bin boundaries, so the PDF is plotted correctly.

Parameters
[in]obsObservable to generate the boundaries for.
[in]xloBeginning of range to create list of boundaries for.
[in]xhiEnd of range to create to create list of boundaries for.
Returns
Pointer to a list to be deleted by caller.

Reimplemented from RooAbsReal.

Definition at line 212 of file RooBinSamplingPdf.cxx.

◆ Class()

static TClass * RooBinSamplingPdf::Class ( )
static
Returns
TClass describing this class

◆ Class_Name()

static const char * RooBinSamplingPdf::Class_Name ( )
static
Returns
Name of this class

◆ Class_Version()

static constexpr Version_t RooBinSamplingPdf::Class_Version ( )
inlinestaticconstexpr
Returns
Version of this class

Definition at line 130 of file RooBinSamplingPdf.h.

◆ clone()

TObject * RooBinSamplingPdf::clone ( const char *  newname) const
inlineoverridevirtual

Implements RooAbsArg.

Definition at line 37 of file RooBinSamplingPdf.h.

◆ computeBatch()

void RooBinSamplingPdf::computeBatch ( cudaStream_t *  ,
double output,
size_t  size,
RooFit::Detail::DataMap const &  dataMap 
) const
overridevirtual

Integrate the PDF over all its bins, and return a batch with those values.

Parameters
[in,out]evalDataStruct with evaluation data.
[in]normSetNormalisation set that's used to evaluate the PDF.

Reimplemented from RooAbsReal.

Definition at line 163 of file RooBinSamplingPdf.cxx.

◆ create()

std::unique_ptr< RooAbsPdf > RooBinSamplingPdf::create ( RooAbsPdf pdf,
RooAbsData const &  data,
double  precision 
)
static

Creates a wrapping RooBinSamplingPdf if appropriate.

Parameters
[in]pdfThe input pdf.
[in]dataThe dataset to be used in the fit, used to figure out the observables and whether the dataset is binned.
[in]precisionPrecision argument for all created RooBinSamplingPdfs.

Definition at line 310 of file RooBinSamplingPdf.cxx.

◆ createIntegral()

RooFit::OwningPtr< RooAbsReal > RooBinSamplingPdf::createIntegral ( const RooArgSet iset,
const RooArgSet nset = nullptr,
const RooNumIntConfig cfg = nullptr,
const char *  rangeName = nullptr 
) const
inlineoverridevirtual

Forwards to the PDF's implementation.

Reimplemented from RooAbsReal.

Definition at line 68 of file RooBinSamplingPdf.h.

◆ DeclFileName()

static const char * RooBinSamplingPdf::DeclFileName ( )
inlinestatic
Returns
Name of the file containing the class declaration

Definition at line 130 of file RooBinSamplingPdf.h.

◆ epsilon()

double RooBinSamplingPdf::epsilon ( ) const
inline

Definition at line 105 of file RooBinSamplingPdf.h.

◆ evaluate()

double RooBinSamplingPdf::evaluate ( ) const
overrideprotectedvirtual

Integrate the PDF over the current bin of the observable.

Implements RooAbsReal.

Definition at line 140 of file RooBinSamplingPdf.cxx.

◆ expectedEvents()

double RooBinSamplingPdf::expectedEvents ( const RooArgSet nset) const
inlineoverridevirtual

Return expected number of events to be used in calculation of extended likelihood.

Return expected number of events from this p.d.f for use in extended likelihood calculations.

This default implementation returns zero

Reimplemented from RooAbsPdf.

Definition at line 76 of file RooBinSamplingPdf.h.

◆ extendMode()

ExtendMode RooBinSamplingPdf::extendMode ( ) const
inlineoverridevirtual

Returns ability of PDF to provide extended likelihood terms.

Possible answers are in the enumerator RooAbsPdf::ExtendMode. This default implementation always returns CanNotBeExtended.

Reimplemented from RooAbsPdf.

Definition at line 75 of file RooBinSamplingPdf.h.

◆ forceAnalyticalInt()

bool RooBinSamplingPdf::forceAnalyticalInt ( const RooAbsArg dep) const
inlineoverridevirtual

Reimplemented from RooAbsReal.

Definition at line 42 of file RooBinSamplingPdf.h.

◆ generateEvent()

void RooBinSamplingPdf::generateEvent ( Int_t  code)
inlineoverridevirtual

Forwards to the PDF's implementation.

Reimplemented from RooAbsPdf.

Definition at line 85 of file RooBinSamplingPdf.h.

◆ getAnalyticalIntegral()

Int_t RooBinSamplingPdf::getAnalyticalIntegral ( RooArgSet allVars,
RooArgSet numVars,
const char *  rangeName = nullptr 
) const
inlineoverridevirtual

Forwards to the PDF's implementation.

Reimplemented from RooAbsReal.

Definition at line 51 of file RooBinSamplingPdf.h.

◆ getAnalyticalIntegralWN()

Int_t RooBinSamplingPdf::getAnalyticalIntegralWN ( RooArgSet allVars,
RooArgSet analVars,
const RooArgSet normSet,
const char *  rangeName = nullptr 
) const
inlineoverridevirtual

Forwards to the PDF's implementation.

Reimplemented from RooAbsReal.

Definition at line 46 of file RooBinSamplingPdf.h.

◆ getGenerator()

Int_t RooBinSamplingPdf::getGenerator ( const RooArgSet directVars,
RooArgSet generateVars,
bool  staticInitOK = true 
) const
inlineoverridevirtual

Forwards to the PDF's implementation.

Reimplemented from RooAbsPdf.

Definition at line 79 of file RooBinSamplingPdf.h.

◆ getMaxVal()

Int_t RooBinSamplingPdf::getMaxVal ( const RooArgSet vars) const
inlineoverridevirtual

Advertise capability to determine maximum value of function for given set of observables.

If no direct generator method is provided, this information will assist the accept/reject generator to operate more efficiently as it can skip the initial trial sampling phase to empirically find the function maximum

Reimplemented from RooAbsReal.

Definition at line 91 of file RooBinSamplingPdf.h.

◆ initGenerator()

void RooBinSamplingPdf::initGenerator ( Int_t  code)
inlineoverridevirtual

Forwards to the PDF's implementation.

Reimplemented from RooAbsPdf.

Definition at line 83 of file RooBinSamplingPdf.h.

◆ integrate()

double RooBinSamplingPdf::integrate ( const RooArgSet normSet,
double  low,
double  high 
) const
private

Integrate the wrapped PDF using our current integrator, with given norm set and limits.

Definition at line 300 of file RooBinSamplingPdf.cxx.

◆ integrator()

std::unique_ptr< ROOT::Math::IntegratorOneDim > & RooBinSamplingPdf::integrator ( ) const

Direct access to the unique_ptr holding the integrator that's used to sample the bins.

This can be used to change options such as sampling accuracy or to entirely exchange the integrator.

Example: Use the 61-point Gauss-Kronrod integration rule

ROOT::Math::IntegratorOneDimOptions intOptions = pdf.integrator()->Options();
intOptions.SetNPoints(6); // 61-point integration rule
intOptions.SetRelTolerance(1.E-9); // Smaller tolerance -> more subdivisions
pdf.integrator()->SetOptions(intOptions);
void SetRelTolerance(double tol)
set the relative tolerance
Numerical one dimensional integration options.
void SetNPoints(unsigned int n)
Set number of points for active integration rule.
See also
ROOT::Math::IntegratorOneDim::SetOptions for more details on integration options.
Note
When RooBinSamplingPdf is loaded from files, integrator options will fall back to the default values.

Definition at line 276 of file RooBinSamplingPdf.cxx.

◆ IsA()

TClass * RooBinSamplingPdf::IsA ( ) const
inlineoverridevirtual
Returns
TClass describing current object

Reimplemented from RooAbsPdf.

Definition at line 130 of file RooBinSamplingPdf.h.

◆ isBinnedDistribution()

bool RooBinSamplingPdf::isBinnedDistribution ( const RooArgSet ) const
inlineoverridevirtual

Returns true, since this PDF is meant to be binned.

Reimplemented from RooAbsReal.

Definition at line 97 of file RooBinSamplingPdf.h.

◆ isDirectGenSafe()

bool RooBinSamplingPdf::isDirectGenSafe ( const RooAbsArg arg) const
inlineoverridevirtual

Forwards to the PDF's implementation.

Reimplemented from RooAbsPdf.

Definition at line 87 of file RooBinSamplingPdf.h.

◆ maxVal()

double RooBinSamplingPdf::maxVal ( Int_t  code) const
inlineoverridevirtual

Return maximum value for set of observables identified by code assigned in getMaxVal.

Reimplemented from RooAbsReal.

Definition at line 92 of file RooBinSamplingPdf.h.

◆ minTrialSamples()

Int_t RooBinSamplingPdf::minTrialSamples ( const RooArgSet arGenObs) const
inlineoverridevirtual

Reimplemented from RooAbsReal.

Definition at line 93 of file RooBinSamplingPdf.h.

◆ observable()

const RooAbsReal & RooBinSamplingPdf::observable ( ) const
inline

Definition at line 107 of file RooBinSamplingPdf.h.

◆ operator()()

double RooBinSamplingPdf::operator() ( double  x) const
private

Binding used by the integrator to evaluate the PDF.

Definition at line 292 of file RooBinSamplingPdf.cxx.

◆ pdf()

const RooAbsPdf & RooBinSamplingPdf::pdf ( ) const
inline

Definition at line 106 of file RooBinSamplingPdf.h.

◆ plotSamplingHint()

std::list< double > * RooBinSamplingPdf::plotSamplingHint ( RooAbsRealLValue obs,
double  xlo,
double  xhi 
) const
overridevirtual

Return a list of all bin edges, so the PDF is plotted as a step function.

Parameters
[in]obsObservable to generate the sampling hint for.
[in]xloBeginning of range to create sampling hint for.
[in]xhiEnd of range to create sampling hint for.
Returns
Pointer to a list to be deleted by caller.

Reimplemented from RooAbsReal.

Definition at line 235 of file RooBinSamplingPdf.cxx.

◆ selfNormalized()

bool RooBinSamplingPdf::selfNormalized ( ) const
inlineoverridevirtual

Forwards to the PDF's implementation.

Reimplemented from RooAbsPdf.

Definition at line 65 of file RooBinSamplingPdf.h.

◆ Streamer()

void RooBinSamplingPdf::Streamer ( TBuffer R__b)
overridevirtual

Stream an object of class TObject.

Reimplemented from RooAbsPdf.

◆ StreamerNVirtual()

void RooBinSamplingPdf::StreamerNVirtual ( TBuffer ClassDef_StreamerNVirtual_b)
inline

Definition at line 130 of file RooBinSamplingPdf.h.

Friends And Related Symbol Documentation

◆ ROOT::Math::WrappedFunction

template<typename Func >
friend class ROOT::Math::WrappedFunction
friend

Definition at line 117 of file RooBinSamplingPdf.h.

Member Data Documentation

◆ _binBoundaries

std::vector<double> RooBinSamplingPdf::_binBoundaries
mutableprivate

! Workspace to store data for bin sampling

Definition at line 128 of file RooBinSamplingPdf.h.

◆ _integrator

std::unique_ptr<ROOT::Math::IntegratorOneDim> RooBinSamplingPdf::_integrator {nullptr}
mutableprivate

! Integrator used to sample bins.

Definition at line 127 of file RooBinSamplingPdf.h.

◆ _observable

RooTemplateProxy<RooAbsRealLValue> RooBinSamplingPdf::_observable
private

Definition at line 124 of file RooBinSamplingPdf.h.

◆ _pdf

RooTemplateProxy<RooAbsPdf> RooBinSamplingPdf::_pdf
private

Definition at line 123 of file RooBinSamplingPdf.h.

◆ _relEpsilon

double RooBinSamplingPdf::_relEpsilon {1.E-4}
private

Default integrator precision.

Definition at line 125 of file RooBinSamplingPdf.h.

Libraries for RooBinSamplingPdf:

The documentation for this class was generated from the following files: