Logo ROOT  
Reference Guide
 
Loading...
Searching...
No Matches
graphpalettecolor.C File Reference

Detailed Description

View in nbviewer Open in SWAN
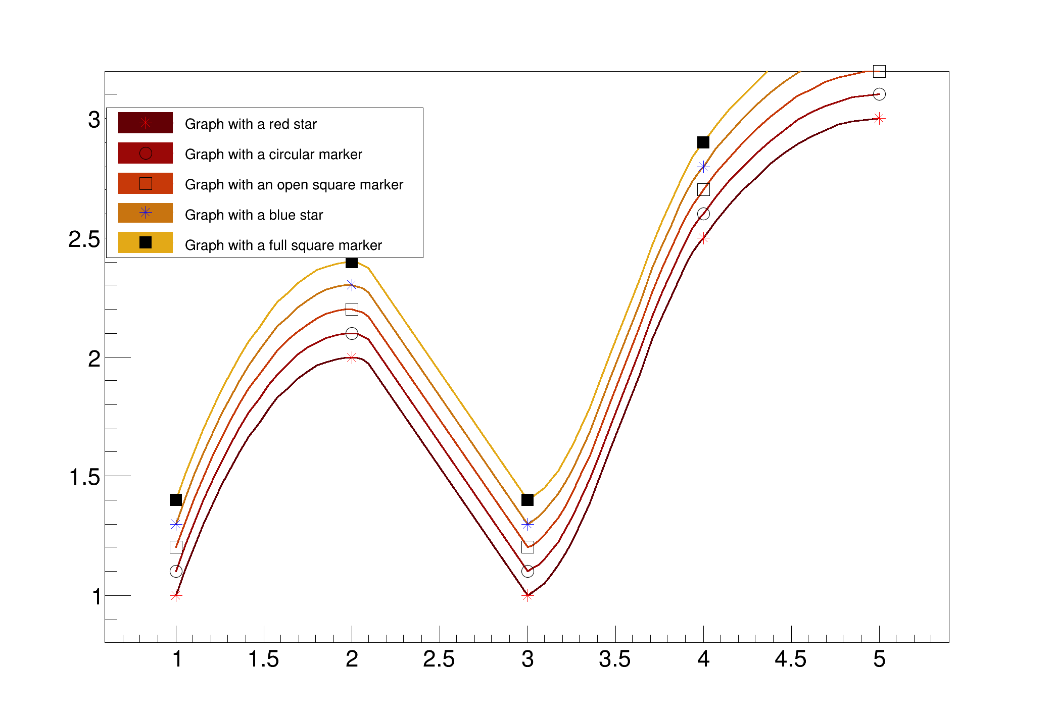
Palette coloring for graphs is activated thanks to the options PFC (Palette Fill Color), PLC (Palette Line Color) and AMC (Palette Marker Color).

When one of these options is given to TGraph::Draw the TGraph get its color from the current color palette defined by gStyle->SetPalette(...). The color is determined according to the number of objects having palette coloring in the current pad.

In this example five graphs are displayed with palette coloring for lines and and filled area. The graphs are drawn with curves (C option) and one can see the color of each graph is picked inside the palette kSolar. The same is visible on filled polygons in the automatically built legend.

void graphpalettecolor () {
double x[5] = {1,2,3,4,5};
double y1[5] = {1.0,2.0,1.0,2.5,3.0};
double y2[5] = {1.1,2.1,1.1,2.6,3.1};
double y3[5] = {1.2,2.2,1.2,2.7,3.2};
double y4[5] = {1.3,2.3,1.3,2.8,3.3};
double y5[5] = {1.4,2.4,1.4,2.9,3.4};
TGraph *g1 = new TGraph(5,x,y1); g1->SetTitle("Graph with a red star");
TGraph *g2 = new TGraph(5,x,y2); g2->SetTitle("Graph with a circular marker");
TGraph *g3 = new TGraph(5,x,y3); g3->SetTitle("Graph with an open square marker");
TGraph *g4 = new TGraph(5,x,y4); g4->SetTitle("Graph with a blue star");
TGraph *g5 = new TGraph(5,x,y5); g5->SetTitle("Graph with a full square marker");
g1->Draw("CA* PLC PFC");
g2->Draw("PC PLC PFC");
g3->Draw("PC PLC PFC");
g4->Draw("*C PLC PFC");
g5->Draw("PC PLC PFC");
gPad->BuildLegend();
}
constexpr Bool_t kFALSE
Definition RtypesCore.h:101
@ kRed
Definition Rtypes.h:66
@ kBlue
Definition Rtypes.h:66
@ kOpenSquare
Definition TAttMarker.h:56
@ kCircle
Definition TAttMarker.h:53
@ kFullSquare
Definition TAttMarker.h:55
@ kSolar
Definition TColor.h:124
Option_t Option_t TPoint TPoint const char y2
Option_t Option_t TPoint TPoint const char y1
R__EXTERN TStyle * gStyle
Definition TStyle.h:414
#define gPad
virtual void SetLineWidth(Width_t lwidth)
Set the line width.
Definition TAttLine.h:43
virtual void SetMarkerColor(Color_t mcolor=1)
Set the marker color.
Definition TAttMarker.h:38
virtual void SetMarkerStyle(Style_t mstyle=1)
Set the marker style.
Definition TAttMarker.h:40
A TGraph is an object made of two arrays X and Y with npoints each.
Definition TGraph.h:41
void Draw(Option_t *chopt="") override
Draw this graph with its current attributes.
Definition TGraph.cxx:808
void SetTitle(const char *title="") override
Change (i.e.
Definition TGraph.cxx:2380
void SetOptTitle(Int_t tit=1)
Definition TStyle.h:319
void SetPalette(Int_t ncolors=kBird, Int_t *colors=nullptr, Float_t alpha=1.)
See TColor::SetPalette.
Definition TStyle.cxx:1781
Double_t x[n]
Definition legend1.C:17
Author
Olivier Couet

Definition in file graphpalettecolor.C.