Logo ROOT  
Reference Guide
 
Loading...
Searching...
No Matches
OneSidedFrequentistUpperLimitWithBands.C File Reference

Detailed Description

View in nbviewer Open in SWAN
OneSidedFrequentistUpperLimitWithBands

This is a standard demo that can be used with any ROOT file prepared in the standard way. You specify:

  • name for input ROOT file
  • name of workspace inside ROOT file that holds model and data
  • name of ModelConfig that specifies details for calculator tools
  • name of dataset

With default parameters the macro will attempt to run the standard hist2workspace example and read the ROOT file that it produces.

The first ~100 lines define a new test statistic, then the main macro starts. You may want to control:

This uses a modified version of the profile likelihood ratio as a test statistic for upper limits (eg. test stat = 0 if muhat>mu).

Based on the observed data, one defines a set of parameter points to be tested based on the value of the parameter of interest and the conditional MLE (eg. profiled) values of the nuisance parameters.

At each parameter point, pseudo-experiments are generated using this fixed reference model and then the test statistic is evaluated. Note, the nuisance parameters are floating in the fits. For each point, the threshold that defines the 95% acceptance region is found. This forms a "Confidence Belt".

After constructing the confidence belt, one can find the confidence interval for any particular dataset by finding the intersection of the observed test statistic and the confidence belt. First this is done on the observed data to get an observed 1-sided upper limt.

Finally, there expected limit and bands (from background-only) are formed by generating background-only data and finding the upper limit. This is done by hand for now, will later be part of the RooStats tools.

On a technical note, this technique is NOT the Feldman-Cousins technique, because that is a 2-sided interval BY DEFINITION. However, like the Feldman-Cousins technique this is a Neyman-Construction. For technical reasons the easiest way to implement this right now is to use the FeldmanCousins tool and then change the test statistic that it is using.

Building the confidence belt can be computationally expensive. Once it is built, one could save it to a file and use it in a separate step.

We can use PROOF to speed things along in parallel, however, the test statistic has to be installed on the workers so either turn off PROOF or include the modified test statistic in your $ROOTSYS/roofit/roostats/inc directory, add the additional line to the LinkDef.h file, and recompile root.

Note, if you have a boundary on the parameter of interest (eg. cross-section) the threshold on the one-sided test statistic starts off very small because we are only including downward fluctuations. You can see the threshold in these printouts:

[#0] PROGRESS:Generation -- generated toys: 500 / 999
NeymanConstruction: Prog: 12/50 total MC = 39 this test stat = 0
SigXsecOverSM=0.69 alpha_syst1=0.136515 alpha_syst3=0.425415 beta_syst2=1.08496 [-1e+30, 0.011215] in interval = 1
#define e(i)
Definition RSha256.hxx:103
ROOT::Detail::TRangeCast< T, true > TRangeDynCast
TRangeDynCast is an adapter class that allows the typed iteration through a TCollection.
static unsigned int total

this tells you the values of the parameters being used to generate the pseudo-experiments and the threshold in this case is 0.011215. One would expect for 95% that the threshold would be ~1.35 once the cross-section is far enough away from 0 that it is essentially unaffected by the boundary. As one reaches the last points in the scan, the threshold starts to get artificially high. This is because the range of the parameter in the fit is the same as the range in the scan. In the future, these should be independently controlled, but they are not now. As a result the ~50% of pseudo-experiments that have an upward fluctuation end up with muhat = muMax. Because of this, the upper range of the parameter should be well above the expected upper limit... but not too high or one will need a very large value of nPointsToScan to resolve the relevant region. This can be improved, but this is the first version of this script.

Important note: when the model includes external constraint terms, like a Gaussian constraint to a nuisance parameter centered around some nominal value there is a subtlety. The asymptotic results are all based on the assumption that all the measurements fluctuate... including the nominal values from auxiliary measurements. If these do not fluctuate, this corresponds to an "conditional ensemble". The result is that the distribution of the test statistic can become very non-chi^2. This results in thresholds that become very large. This can be seen in the following thought experiment. Say the model is \( Pois(N | s + b)G(b0|b,sigma) \) where \( G(b0|b,sigma) \) is the external constraint and b0 is 100. If N is also 100 then the profiled value of b given s is going to be some trade off between 100-s and b0. If sigma is \( \sqrt(N) \), then the profiled value of b is probably 100 - s/2 So for s=60 we are going to have a profiled value of b~70. Now when we generate pseudo-experiments for s=60, b=70 we will have N~130 and the average shat will be 30, not 60. In practice, this is only an issue for values of s that are very excluded. For values of s near the 95% limit this should not be a big effect. This can be avoided if the nominal values of the constraints also fluctuate, but that requires that those parameters are RooRealVars in the model. This version does not deal with this issue, but it will be addressed in a future version.

FeldmanCousins: ntoys per point = 499
FeldmanCousins: nEvents per toy will fluctuate about expectation
will use global observables for unconditional ensemble
RooArgSet:: = (nominalLumi,nom_alpha_syst1,nom_alpha_syst2,nom_alpha_syst3,nom_gamma_stat_channel1_bin_0,nom_gamma_stat_channel1_bin_1)
=== Using the following for ModelConfig ===
Observables: RooArgSet:: = (obs_x_channel1,channelCat)
Parameters of Interest: RooArgSet:: = (SigXsecOverSM)
Nuisance Parameters: RooArgSet:: = (alpha_syst2,alpha_syst3,gamma_stat_channel1_bin_0,gamma_stat_channel1_bin_1)
Global Observables: RooArgSet:: = (nominalLumi,nom_alpha_syst1,nom_alpha_syst2,nom_alpha_syst3,nom_gamma_stat_channel1_bin_0,nom_gamma_stat_channel1_bin_1)
PDF: RooSimultaneous::simPdf[ indexCat=channelCat channel1=model_channel1 ] = 0.190787
FeldmanCousins: Model has nuisance parameters, will do profile construction
FeldmanCousins: # points to test = 12
lookup index = 0
NeymanConstruction: Prog: 1/12 total MC = 499 this test stat = 0
SigXsecOverSM=0.125 alpha_syst2=0.61993 alpha_syst3=0.233335 gamma_stat_channel1_bin_0=1.03212 gamma_stat_channel1_bin_1=1.04741 [-inf, 0.329584] in interval = 1
NeymanConstruction: Prog: 2/12 total MC = 499 this test stat = 0
SigXsecOverSM=0.375 alpha_syst2=0.458263 alpha_syst3=0.183235 gamma_stat_channel1_bin_0=1.02329 gamma_stat_channel1_bin_1=1.03422 [-inf, 0.888912] in interval = 1
NeymanConstruction: Prog: 3/12 total MC = 499 this test stat = 0
SigXsecOverSM=0.625 alpha_syst2=0.292479 alpha_syst3=0.126723 gamma_stat_channel1_bin_0=1.01484 gamma_stat_channel1_bin_1=1.02374 [-inf, 1.39758] in interval = 1
NeymanConstruction: Prog: 4/12 total MC = 499 this test stat = 0
SigXsecOverSM=0.875 alpha_syst2=0.130655 alpha_syst3=0.0953602 gamma_stat_channel1_bin_0=1.00646 gamma_stat_channel1_bin_1=1.01288 [-inf, 1.51992] in interval = 1
NeymanConstruction: Prog: 5/12 total MC = 499 this test stat = 0.000124169
SigXsecOverSM=1.125 alpha_syst2=-0.0146474 alpha_syst3=0.0173394 gamma_stat_channel1_bin_0=0.999267 gamma_stat_channel1_bin_1=1.003 [-inf, 1.54198] in interval = 1
NeymanConstruction: Prog: 6/12 total MC = 499 this test stat = 0.0913576
SigXsecOverSM=1.375 alpha_syst2=-0.15078 alpha_syst3=-0.0572169 gamma_stat_channel1_bin_0=0.99238 gamma_stat_channel1_bin_1=0.993157 [-inf, 1.78377] in interval = 1
NeymanConstruction: Prog: 7/12 total MC = 499 this test stat = 0.349003
SigXsecOverSM=1.625 alpha_syst2=-0.294555 alpha_syst3=-0.0932947 gamma_stat_channel1_bin_0=0.985516 gamma_stat_channel1_bin_1=0.983192 [-inf, 1.66921] in interval = 1
NeymanConstruction: Prog: 8/12 total MC = 499 this test stat = 0.767692
SigXsecOverSM=1.875 alpha_syst2=-0.424297 alpha_syst3=-0.146312 gamma_stat_channel1_bin_0=0.979248 gamma_stat_channel1_bin_1=0.973447 [-inf, 1.5144] in interval = 1
NeymanConstruction: Prog: 9/12 total MC = 499 this test stat = 1.34313
SigXsecOverSM=2.125 alpha_syst2=-0.546305 alpha_syst3=-0.198112 gamma_stat_channel1_bin_0=0.973364 gamma_stat_channel1_bin_1=0.963869 [-inf, 1.30266] in interval = 0
NeymanConstruction: Prog: 10/12 total MC = 499 this test stat = 2.07172
SigXsecOverSM=2.375 alpha_syst2=-0.66027 alpha_syst3=-0.248685 gamma_stat_channel1_bin_0=0.967841 gamma_stat_channel1_bin_1=0.954463 [-inf, 1.5387] in interval = 0
NeymanConstruction: Prog: 11/12 total MC = 499 this test stat = 2.9476
SigXsecOverSM=2.625 alpha_syst2=-0.766369 alpha_syst3=-0.29799 gamma_stat_channel1_bin_0=0.962657 gamma_stat_channel1_bin_1=0.945235 [-inf, 1.30108] in interval = 0
NeymanConstruction: Prog: 12/12 total MC = 499 this test stat = 3.96711
SigXsecOverSM=2.875 alpha_syst2=-0.865262 alpha_syst3=-0.345965 gamma_stat_channel1_bin_0=0.95779 gamma_stat_channel1_bin_1=0.936192 [-inf, 1.35603] in interval = 0
[#1] INFO:Eval -- 8 points in interval
95% interval on SigXsecOverSM is : [0.125, 1.875]
[#1] INFO:Minimization -- p.d.f. provides expected number of events, including extended term in likelihood.
[#1] INFO:Minimization -- Including the following constraint terms in minimization: (lumiConstraint,alpha_syst1Constraint,alpha_syst2Constraint,alpha_syst3Constraint,gamma_stat_channel1_bin_0_constraint,gamma_stat_channel1_bin_1_constraint)
[#1] INFO:Minimization -- The global observables are not defined , normalize constraints with respect to the parameters (Lumi,SigXsecOverSM,alpha_syst1,alpha_syst2,alpha_syst3,gamma_stat_channel1_bin_0,gamma_stat_channel1_bin_1)
[#1] INFO:Fitting -- RooAbsPdf::fitTo(simPdf) fixing normalization set for coefficient determination to observables in data
[#1] INFO:Fitting -- using CPU computation library compiled with -mavx512
[#1] INFO:Minimization -- RooProfileLL::evaluate(RooEvaluatorWrapper_Profile[SigXsecOverSM]) Creating instance of MINUIT
[#1] INFO:Fitting -- RooAddition::defaultErrorLevel(nll_simPdf_obsData) Summation contains a RooNLLVar, using its error level
[#1] INFO:Minimization -- RooProfileLL::evaluate(RooEvaluatorWrapper_Profile[SigXsecOverSM]) determining minimum likelihood for current configurations w.r.t all observable
[#1] INFO:Minimization -- RooProfileLL::evaluate(RooEvaluatorWrapper_Profile[SigXsecOverSM]) minimum found at (SigXsecOverSM=1.12136)
.
Will use these parameter points to generate pseudo data for bkg only
1) 0x38d40f50 RooRealVar:: alpha_syst2 = 0.710958 +/- 0.914123 L(-5 - 5) "alpha_syst2"
2) 0x38d41460 RooRealVar:: alpha_syst3 = 0.261478 +/- 0.929174 L(-5 - 5) "alpha_syst3"
3) 0x38d419c0 RooRealVar:: gamma_stat_channel1_bin_0 = 1.03677 +/- 0.0462911 L(0 - 1.25) "gamma_stat_channel1_bin_0"
4) 0x38d41f20 RooRealVar:: gamma_stat_channel1_bin_1 = 1.05318 +/- 0.0761263 L(0 - 1.5) "gamma_stat_channel1_bin_1"
5) 0x38d42480 RooRealVar:: SigXsecOverSM = 0 +/- 0 L(0 - 3) B(12) "SigXsecOverSM"
-2 sigma band 0
-1 sigma band 0.105 [Power Constraint)]
median of band 0.855
+1 sigma band 1.605
+2 sigma band 2.085
observed 95% upper-limit 1.875
CLb strict [P(toy>obs|0)] for observed 95% upper-limit 0.966667
CLb inclusive [P(toy>=obs|0)] for observed 95% upper-limit 0.966667
#include "TFile.h"
#include "TROOT.h"
#include "TH1F.h"
#include "TCanvas.h"
#include "TSystem.h"
#include "RooWorkspace.h"
#include "RooAbsData.h"
using namespace RooFit;
using namespace RooStats;
bool useProof = false; // flag to control whether to use Proof
int nworkers = 0; // number of workers (default use all available cores)
// -------------------------------------------------------
// The actual macro
void OneSidedFrequentistUpperLimitWithBands(const char *infile = "", const char *workspaceName = "combined",
const char *modelConfigName = "ModelConfig",
const char *dataName = "obsData")
{
double confidenceLevel = 0.95;
int nPointsToScan = 12;
int nToyMC = 150;
// -------------------------------------------------------
// First part is just to access a user-defined file
// or create the standard example file if it doesn't exist
const char *filename = "";
if (!strcmp(infile, "")) {
filename = "results/example_combined_GaussExample_model.root";
bool fileExist = !gSystem->AccessPathName(filename); // note opposite return code
// if file does not exists generate with histfactory
if (!fileExist) {
// Normally this would be run on the command line
cout << "will run standard hist2workspace example" << endl;
gROOT->ProcessLine(".! prepareHistFactory .");
gROOT->ProcessLine(".! hist2workspace config/example.xml");
cout << "\n\n---------------------" << endl;
cout << "Done creating example input" << endl;
cout << "---------------------\n\n" << endl;
}
} else
// Try to open the file
// if input file was specified byt not found, quit
if (!file) {
cout << "StandardRooStatsDemoMacro: Input file " << filename << " is not found" << endl;
return;
}
// -------------------------------------------------------
// Now get the data and workspace
// get the workspace out of the file
if (!w) {
cout << "workspace not found" << endl;
return;
}
// get the modelConfig out of the file
// get the modelConfig out of the file
// make sure ingredients are found
if (!data || !mc) {
w->Print();
cout << "data or ModelConfig was not found" << endl;
return;
}
// -------------------------------------------------------
// Now get the POI for convenience
// you may want to adjust the range of your POI
RooRealVar *firstPOI = (RooRealVar *)mc->GetParametersOfInterest()->first();
/* firstPOI->setMin(0);*/
/* firstPOI->setMax(10);*/
// --------------------------------------------
// Create and use the FeldmanCousins tool
// to find and plot the 95% confidence interval
// on the parameter of interest as specified
// in the model config
// REMEMBER, we will change the test statistic
// so this is NOT a Feldman-Cousins interval
fc.SetConfidenceLevel(confidenceLevel);
fc.AdditionalNToysFactor(
0.5); // degrade/improve sampling that defines confidence belt: in this case makes the example faster
/* fc.UseAdaptiveSampling(true); // speed it up a bit, don't use for expected limits*/
fc.SetNBins(nPointsToScan); // set how many points per parameter of interest to scan
fc.CreateConfBelt(true); // save the information in the belt for plotting
// -------------------------------------------------------
// Feldman-Cousins is a unified limit by definition
// but the tool takes care of a few things for us like which values
// of the nuisance parameters should be used to generate toys.
// so let's just change the test statistic and realize this is
// no longer "Feldman-Cousins" but is a fully frequentist Neyman-Construction.
/* ProfileLikelihoodTestStatModified onesided(*mc->GetPdf());*/
/* fc.GetTestStatSampler()->SetTestStatistic(&onesided);*/
/* ((ToyMCSampler*) fc.GetTestStatSampler())->SetGenerateBinned(true); */
ToyMCSampler *toymcsampler = (ToyMCSampler *)fc.GetTestStatSampler();
testStat->SetOneSided(true);
// Since this tool needs to throw toy MC the PDF needs to be
// extended or the tool needs to know how many entries in a dataset
// per pseudo experiment.
// In the 'number counting form' where the entries in the dataset
// are counts, and not values of discriminating variables, the
// datasets typically only have one entry and the PDF is not
// extended.
if (!mc->GetPdf()->canBeExtended()) {
if (data->numEntries() == 1)
fc.FluctuateNumDataEntries(false);
else
cout << "Not sure what to do about this model" << endl;
}
// We can use PROOF to speed things along in parallel
// However, the test statistic has to be installed on the workers
// so either turn off PROOF or include the modified test statistic
// in your `$ROOTSYS/roofit/roostats/inc` directory,
// add the additional line to the LinkDef.h file,
// and recompile root.
if (useProof) {
ProofConfig pc(*w, nworkers, "", false);
toymcsampler->SetProofConfig(&pc); // enable proof
}
if (mc->GetGlobalObservables()) {
cout << "will use global observables for unconditional ensemble" << endl;
mc->GetGlobalObservables()->Print();
toymcsampler->SetGlobalObservables(*mc->GetGlobalObservables());
}
// Now get the interval
PointSetInterval *interval = fc.GetInterval();
ConfidenceBelt *belt = fc.GetConfidenceBelt();
// print out the interval on the first Parameter of Interest
cout << "\n95% interval on " << firstPOI->GetName() << " is : [" << interval->LowerLimit(*firstPOI) << ", "
<< interval->UpperLimit(*firstPOI) << "] " << endl;
// get observed UL and value of test statistic evaluated there
double observedUL = interval->UpperLimit(*firstPOI);
firstPOI->setVal(observedUL);
double obsTSatObsUL = fc.GetTestStatSampler()->EvaluateTestStatistic(*data, tmpPOI);
// Ask the calculator which points were scanned
RooDataSet *parameterScan = (RooDataSet *)fc.GetPointsToScan();
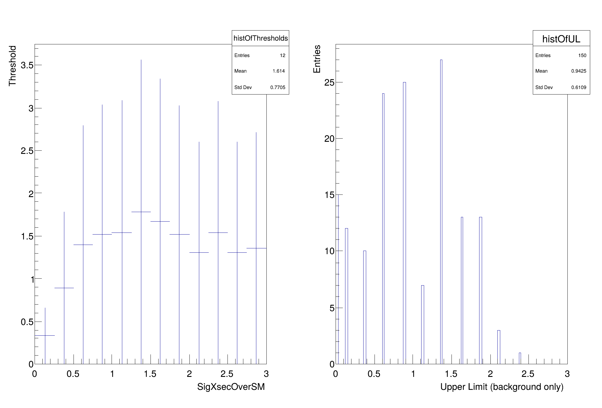
// make a histogram of parameter vs. threshold
new TH1F("histOfThresholds", "", parameterScan->numEntries(), firstPOI->getMin(), firstPOI->getMax());
histOfThresholds->GetXaxis()->SetTitle(firstPOI->GetName());
histOfThresholds->GetYaxis()->SetTitle("Threshold");
// loop through the points that were tested and ask confidence belt
// what the upper/lower thresholds were.
// For FeldmanCousins, the lower cut off is always 0
for (Int_t i = 0; i < parameterScan->numEntries(); ++i) {
tmpPoint = (RooArgSet *)parameterScan->get(i)->clone("temp");
// cout <<"get threshold"<<endl;
double arMax = belt->GetAcceptanceRegionMax(*tmpPoint);
double poiVal = tmpPoint->getRealValue(firstPOI->GetName());
}
TCanvas *c1 = new TCanvas();
c1->Divide(2);
c1->cd(1);
histOfThresholds->SetMinimum(0);
c1->cd(2);
// -------------------------------------------------------
// Now we generate the expected bands and power-constraint
// First: find parameter point for mu=0, with conditional MLEs for nuisance parameters
std::unique_ptr<RooAbsReal> nll{mc->GetPdf()->createNLL(*data)};
std::unique_ptr<RooAbsReal> profile{nll->createProfile(*mc->GetParametersOfInterest())};
firstPOI->setVal(0.);
profile->getVal(); // this will do fit and set nuisance parameters to profiled values
if (mc->GetNuisanceParameters())
poiAndNuisance->add(*mc->GetNuisanceParameters());
poiAndNuisance->add(*mc->GetParametersOfInterest());
w->saveSnapshot("paramsToGenerateData", *poiAndNuisance);
cout << "\nWill use these parameter points to generate pseudo data for bkg only" << endl;
paramsToGenerateData->Print("v");
unconditionalObs.add(*mc->GetObservables());
unconditionalObs.add(*mc->GetGlobalObservables()); // comment this out for the original conditional ensemble
double CLb = 0;
double CLbinclusive = 0;
// Now we generate background only and find distribution of upper limits
TH1F *histOfUL = new TH1F("histOfUL", "", 100, 0, firstPOI->getMax());
histOfUL->GetXaxis()->SetTitle("Upper Limit (background only)");
histOfUL->GetYaxis()->SetTitle("Entries");
for (int imc = 0; imc < nToyMC; ++imc) {
// set parameters back to values for generating pseudo data
// cout << "\n get current nuis, set vals, print again" << endl;
w->loadSnapshot("paramsToGenerateData");
// poiAndNuisance->Print("v");
std::unique_ptr<RooDataSet> toyData;
// now generate a toy dataset
if (!mc->GetPdf()->canBeExtended()) {
if (data->numEntries() == 1)
toyData = std::unique_ptr<RooDataSet>{mc->GetPdf()->generate(*mc->GetObservables(), 1)};
else
cout << "Not sure what to do about this model" << endl;
} else {
// cout << "generating extended dataset"<<endl;
toyData = std::unique_ptr<RooDataSet>{mc->GetPdf()->generate(*mc->GetObservables(), Extended())};
}
// generate global observables
// need to be careful for simpdf
// RooDataSet* globalData = mc->GetPdf()->generate(*mc->GetGlobalObservables(),1);
RooSimultaneous *simPdf = dynamic_cast<RooSimultaneous *>(mc->GetPdf());
if (!simPdf) {
std::unique_ptr<RooDataSet> one{mc->GetPdf()->generate(*mc->GetGlobalObservables(), 1)};
const RooArgSet *values = one->get();
std::unique_ptr<RooArgSet> allVars{mc->GetPdf()->getVariables()};
allVars->assign(*values);
} else {
// try fix for sim pdf
for (auto const& tt : simPdf->indexCat()) {
auto const& catName = tt.first;
// Get pdf associated with state from simpdf
RooAbsPdf *pdftmp = simPdf->getPdf(catName.c_str());
// Generate only global variables defined by the pdf associated with this state
std::unique_ptr<RooArgSet> globtmp{pdftmp->getObservables(*mc->GetGlobalObservables())};
std::unique_ptr<RooDataSet> tmp{pdftmp->generate(*globtmp, 1)};
// Transfer values to output placeholder
globtmp->assign(*tmp->get(0));
}
}
// globalData->Print("v");
// unconditionalObs = *globalData->get();
// mc->GetGlobalObservables()->Print("v");
// delete globalData;
// cout << "toy data = " << endl;
// toyData->get()->Print("v");
// get test stat at observed UL in observed data
firstPOI->setVal(observedUL);
double toyTSatObsUL = fc.GetTestStatSampler()->EvaluateTestStatistic(*toyData, tmpPOI);
// toyData->get()->Print("v");
// cout <<"obsTSatObsUL " <<obsTSatObsUL << "toyTS " << toyTSatObsUL << endl;
if (obsTSatObsUL < toyTSatObsUL) // not sure about <= part yet
CLb += (1.) / nToyMC;
if (obsTSatObsUL <= toyTSatObsUL) // not sure about <= part yet
CLbinclusive += (1.) / nToyMC;
// loop over points in belt to find upper limit for this toy data
double thisUL = 0;
for (Int_t i = 0; i < parameterScan->numEntries(); ++i) {
tmpPoint = (RooArgSet *)parameterScan->get(i)->clone("temp");
double arMax = belt->GetAcceptanceRegionMax(*tmpPoint);
firstPOI->setVal(tmpPoint->getRealValue(firstPOI->GetName()));
// double thisTS = profile->getVal();
double thisTS = fc.GetTestStatSampler()->EvaluateTestStatistic(*toyData, tmpPOI);
// cout << "poi = " << firstPOI->getVal()
// << " max is " << arMax << " this profile = " << thisTS << endl;
// cout << "thisTS = " << thisTS<<endl;
if (thisTS <= arMax) {
thisUL = firstPOI->getVal();
} else {
break;
}
}
/*
// loop over points in belt to find upper limit for this toy data
double thisUL = 0;
for(Int_t i=0; i<histOfThresholds->GetNbinsX(); ++i){
tmpPoint = (RooArgSet*) parameterScan->get(i)->clone("temp");
cout <<"---------------- "<<i<<endl;
tmpPoint->Print("v");
cout << "from hist " << histOfThresholds->GetBinCenter(i+1) <<endl;
double arMax = histOfThresholds->GetBinContent(i+1);
// cout << " threshold from Hist = aMax " << arMax<<endl;
// double arMax2 = belt->GetAcceptanceRegionMax(*tmpPoint);
// cout << "from scan arMax2 = "<< arMax2 << endl; // not the same due to TH1F not TH1D
// cout << "scan - hist" << arMax2-arMax << endl;
firstPOI->setVal( histOfThresholds->GetBinCenter(i+1));
// double thisTS = profile->getVal();
double thisTS = fc.GetTestStatSampler()->EvaluateTestStatistic(*toyData,tmpPOI);
// cout << "poi = " << firstPOI->getVal()
// << " max is " << arMax << " this profile = " << thisTS << endl;
// cout << "thisTS = " << thisTS<<endl;
// NOTE: need to add a small epsilon term for single precision vs. double precision
if(thisTS<=arMax + 1e-7){
thisUL = firstPOI->getVal();
} else{
break;
}
}
*/
histOfUL->Fill(thisUL);
// for few events, data is often the same, and UL is often the same
// cout << "thisUL = " << thisUL<<endl;
}
histOfUL->Draw();
c1->SaveAs("one-sided_upper_limit_output.pdf");
// if you want to see a plot of the sampling distribution for a particular scan point:
/*
SamplingDistPlot sampPlot;
int indexInScan = 0;
tmpPoint = (RooArgSet*) parameterScan->get(indexInScan)->clone("temp");
firstPOI->setVal( tmpPoint->getRealValue(firstPOI->GetName()) );
toymcsampler->SetParametersForTestStat(tmpPOI);
SamplingDistribution* samp = toymcsampler->GetSamplingDistribution(*tmpPoint);
sampPlot.AddSamplingDistribution(samp);
sampPlot.Draw();
*/
// Now find bands and power constraint
Double_t *bins = histOfUL->GetIntegral();
TH1F *cumulative = (TH1F *)histOfUL->Clone("cumulative");
cumulative->SetContent(bins);
for (int i = 1; i <= cumulative->GetNbinsX(); ++i) {
band2sigDown = cumulative->GetBinCenter(i);
band1sigDown = cumulative->GetBinCenter(i);
if (bins[i] < 0.5)
bandMedian = cumulative->GetBinCenter(i);
if (bins[i] < RooStats::SignificanceToPValue(-1))
band1sigUp = cumulative->GetBinCenter(i);
if (bins[i] < RooStats::SignificanceToPValue(-2))
band2sigUp = cumulative->GetBinCenter(i);
}
cout << "-2 sigma band " << band2sigDown << endl;
cout << "-1 sigma band " << band1sigDown << " [Power Constraint)]" << endl;
cout << "median of band " << bandMedian << endl;
cout << "+1 sigma band " << band1sigUp << endl;
cout << "+2 sigma band " << band2sigUp << endl;
// print out the interval on the first Parameter of Interest
cout << "\nobserved 95% upper-limit " << interval->UpperLimit(*firstPOI) << endl;
cout << "CLb strict [P(toy>obs|0)] for observed 95% upper-limit " << CLb << endl;
cout << "CLb inclusive [P(toy>=obs|0)] for observed 95% upper-limit " << CLbinclusive << endl;
}
int Int_t
Definition RtypesCore.h:45
double Double_t
Definition RtypesCore.h:59
Option_t Option_t TPoint TPoint const char GetTextMagnitude GetFillStyle GetLineColor GetLineWidth GetMarkerStyle GetTextAlign GetTextColor GetTextSize void char Point_t Rectangle_t WindowAttributes_t Float_t Float_t Float_t Int_t Int_t UInt_t UInt_t Rectangle_t Int_t Int_t Window_t TString Int_t GCValues_t GetPrimarySelectionOwner GetDisplay GetScreen GetColormap GetNativeEvent const char const char dpyName wid window const char font_name cursor keysym reg const char only_if_exist regb h Point_t winding char text const char depth char const char Int_t count const char ColorStruct_t color const char filename
Option_t Option_t TPoint TPoint const char GetTextMagnitude GetFillStyle GetLineColor GetLineWidth GetMarkerStyle GetTextAlign GetTextColor GetTextSize void data
#define gROOT
Definition TROOT.h:414
R__EXTERN TSystem * gSystem
Definition TSystem.h:566
Abstract base class for binned and unbinned datasets.
Definition RooAbsData.h:57
Abstract interface for all probability density functions.
Definition RooAbsPdf.h:40
RooArgSet is a container object that can hold multiple RooAbsArg objects.
Definition RooArgSet.h:55
Container class to hold unbinned data.
Definition RooDataSet.h:57
Variable that can be changed from the outside.
Definition RooRealVar.h:37
Facilitates simultaneous fitting of multiple PDFs to subsets of a given dataset.
ConfidenceBelt is a concrete implementation of the ConfInterval interface.
The FeldmanCousins class (like the Feldman-Cousins technique) is essentially a specific configuration...
ModelConfig is a simple class that holds configuration information specifying how a model should be u...
Definition ModelConfig.h:35
PointSetInterval is a concrete implementation of the ConfInterval interface.
ProfileLikelihoodTestStat is an implementation of the TestStatistic interface that calculates the pro...
Holds configuration options for proof and proof-lite.
Definition ProofConfig.h:45
ToyMCSampler is an implementation of the TestStatSampler interface.
Persistable container for RooFit projects.
The Canvas class.
Definition TCanvas.h:23
TObject * Get(const char *namecycle) override
Return pointer to object identified by namecycle.
A file, usually with extension .root, that stores data and code in the form of serialized objects in ...
Definition TFile.h:53
static TFile * Open(const char *name, Option_t *option="", const char *ftitle="", Int_t compress=ROOT::RCompressionSetting::EDefaults::kUseCompiledDefault, Int_t netopt=0)
Create / open a file.
Definition TFile.cxx:4110
1-D histogram with a float per channel (see TH1 documentation)
Definition TH1.h:621
virtual Bool_t AccessPathName(const char *path, EAccessMode mode=kFileExists)
Returns FALSE if one can access a file using the specified access mode.
Definition TSystem.cxx:1296
return c1
Definition legend1.C:41
double nll(double pdf, double weight, int binnedL, int doBinOffset)
Definition MathFuncs.h:353
The namespace RooFit contains mostly switches that change the behaviour of functions of PDFs (or othe...
Definition JSONIO.h:26
Namespace for the RooStats classes.
Definition Asimov.h:19
double SignificanceToPValue(double Z)
returns p-value corresponding to a 1-sided significance
auto * tt
Definition textangle.C:16
Authors
Kyle Cranmer, Haichen Wang, Daniel Whiteson

Definition in file OneSidedFrequentistUpperLimitWithBands.C.