Logo ROOT  
Reference Guide
 
Loading...
Searching...
No Matches
graphApply.C File Reference

Detailed Description

View in nbviewer Open in SWAN
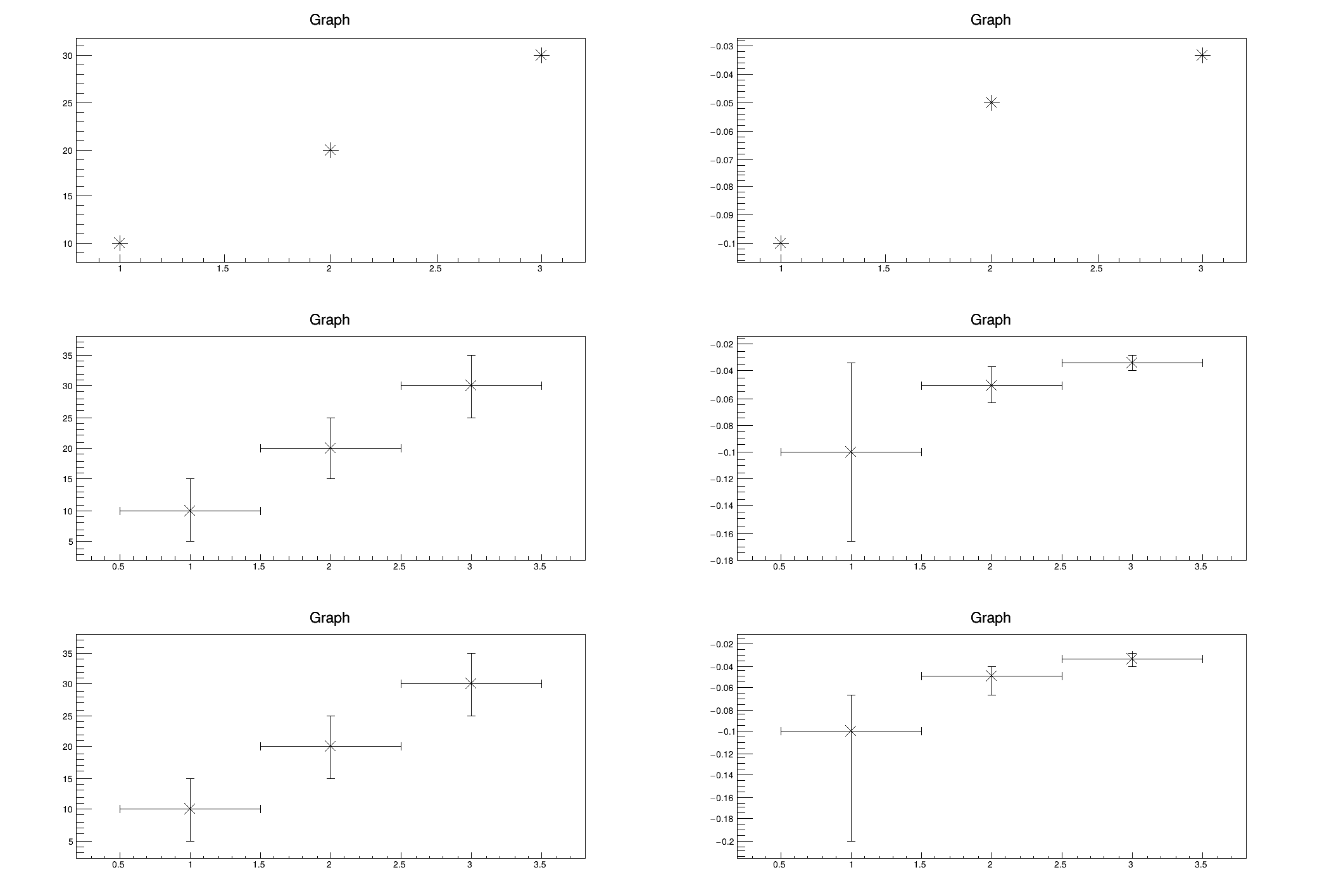
A macro to demonstrate the functionality of TGraph::Apply() method.

TGraph::Apply applies a function f to all the data TGraph points. f may be a 1-D function TF1 or 2-d function TF2. The Y values of the graph are replaced by the new values computed using the function.

void graphApply()
{
const Int_t npoints=3;
Double_t xaxis[npoints] = {1.,2.,3.};
Double_t yaxis[npoints] = {10.,20.,30.};
Double_t errorx[npoints] = {0.5,0.5,0.5};
Double_t errory[npoints] = {5.,5.,5.};
Double_t exl[npoints] = {0.5,0.5,0.5};
Double_t exh[npoints] = {0.5,0.5,0.5};
Double_t eyl[npoints] = {5.,5.,5.};
Double_t eyh[npoints] = {5.,5.,5.};
TF2 *ff = new TF2("ff","-1./y");
TCanvas *c1 = new TCanvas("c1","c1");
c1->Divide(2,3);
// TGraph
c1->cd(1);
gr1->DrawClone("A*");
c1->cd(2);
gr1->Apply(ff);
gr1->Draw("A*");
// TGraphErrors
c1->cd(3);
gr2->DrawClone("A*");
c1->cd(4);
gr2->Apply(ff);
gr2->Draw("A*");
// TGraphAsymmErrors
c1->cd(5);
gr3->DrawClone("A*");
c1->cd(6);
gr3->Apply(ff);
gr3->Draw("A*");
}
int Int_t
Definition RtypesCore.h:45
double Double_t
Definition RtypesCore.h:59
ROOT::Detail::TRangeCast< T, true > TRangeDynCast
TRangeDynCast is an adapter class that allows the typed iteration through a TCollection.
The Canvas class.
Definition TCanvas.h:23
A 2-Dim function with parameters.
Definition TF2.h:29
TGraph with asymmetric error bars.
A TGraphErrors is a TGraph with error bars.
A TGraph is an object made of two arrays X and Y with npoints each.
Definition TGraph.h:41
return c1
Definition legend1.C:41
Author
Miro Helbich

Definition in file graphApply.C.