Logo ROOT  
Reference Guide
 
Loading...
Searching...
No Matches
latex.C File Reference

Detailed Description

View in nbviewer Open in SWAN
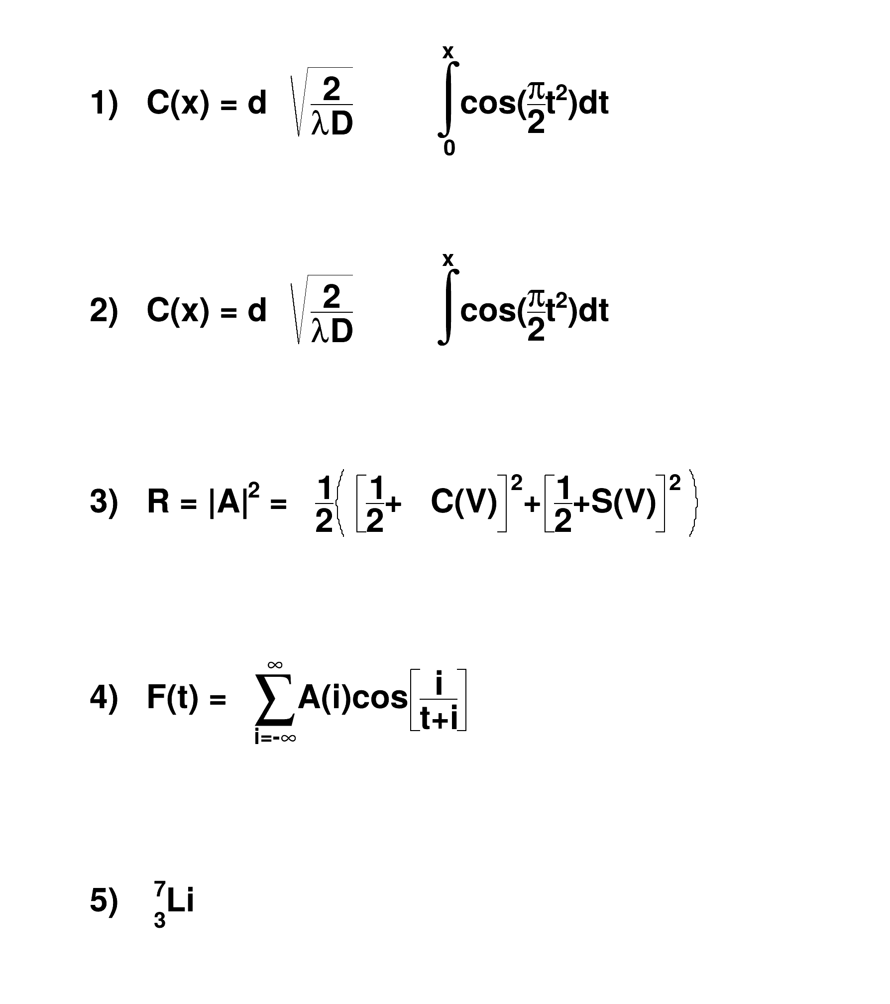
This macro draws 5 Latex-style formula in a canvas and prints the canvas as a Postscript file.

void latex() {
TCanvas *c1 = new TCanvas("c1","test",600,700);
// write formulas
l.SetTextAlign(12);
l.SetTextSize(0.04);
l.DrawLatex(0.1,0.9,"1) C(x) = d #sqrt{#frac{2}{#lambdaD}}\
#int^{x}_{0}cos(#frac{#pi}{2}t^{2})dt");
l.DrawLatex(0.1,0.7,"2) C(x) = d #sqrt{#frac{2}{#lambdaD}}\
#int^{x}cos(#frac{#pi}{2}t^{2})dt");
l.DrawLatex(0.1,0.5,"3) R = |A|^{2} = #frac{1}{2}#left(#[]{#frac{1}{2}+\
C(V)}^{2}+#[]{#frac{1}{2}+S(V)}^{2}#right)");
l.DrawLatex(0.1,0.3,
"4) F(t) = #sum_{i=-#infty}^{#infty}A(i)cos#[]{#frac{i}{t+i}}");
l.DrawLatex(0.1,0.1,"5) {}_{3}^{7}Li");
c1->Print("latex.ps");
}
ROOT::Detail::TRangeCast< T, true > TRangeDynCast
TRangeDynCast is an adapter class that allows the typed iteration through a TCollection.
The Canvas class.
Definition TCanvas.h:23
To draw Mathematical Formula.
Definition TLatex.h:18
return c1
Definition legend1.C:41
TLine l
Definition textangle.C:4
Author
Rene Brun

Definition in file latex.C.