Logo ROOT  
Reference Guide
 
Loading...
Searching...
No Matches
rf211_paramconv.py File Reference

Detailed Description

View in nbviewer Open in SWAN
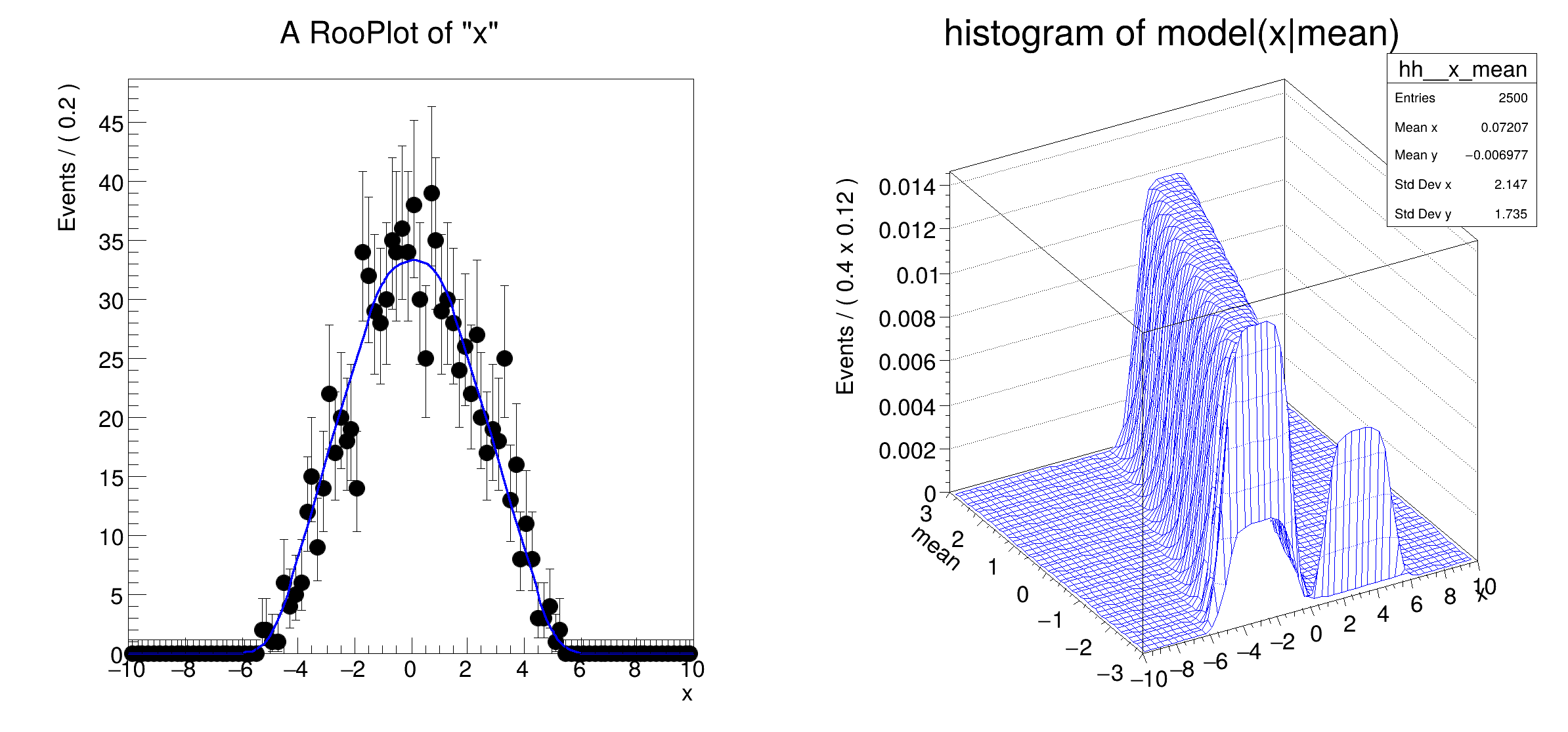
'ADDITION AND CONVOLUTION' RooFit tutorial macro #211 Working a with a p.d.f.

with a convolution operator in terms of a parameter

(require ROOT to be compiled with –enable-fftw3)

import ROOT
# Set up component pdfs
# ---------------------------------------
# Gaussian g(x ; mean,sigma)
x = ROOT.RooRealVar("x", "x", -10, 10)
mean = ROOT.RooRealVar("mean", "mean", -3, 3)
sigma = ROOT.RooRealVar("sigma", "sigma", 0.5, 0.1, 10)
modelx = ROOT.RooGaussian("gx", "gx", x, mean, sigma)
# Block function in mean
a = ROOT.RooRealVar("a", "a", 2, 1, 10)
model_mean = ROOT.RooGenericPdf("model_mean", "abs(mean)<a", [mean, a])
# Convolution in mean model = g(x,mean,sigma) (x) block(mean)
x.setBins(1000, "cache")
mean.setBins(50, "cache")
model = ROOT.RooFFTConvPdf("model", "model", mean, modelx, model_mean)
# Configure convolution to construct a 2-D cache in (x,mean)
# rather than a 1-d cache in mean that needs to be recalculated
# for each value of x
# Integrate model over projModel = Int model dmean
projModel = model.createProjection({mean})
# Generate 1000 toy events
# Fit p.d.f. to toy data
projModel.fitTo(d, Verbose=True, PrintLevel=-1)
# Plot data and fitted p.d.f.
frame = x.frame(Bins=25)
d.plotOn(frame)
# Make 2d histogram of model(x;mean)
"hh",
x,
Binning=50,
YVar=dict(var=mean, Binning=50),
ConditionalObservables={mean},
)
hh.SetTitle("histogram of model(x|mean)")
# Draw frame on canvas
c = ROOT.TCanvas("rf211_paramconv", "rf211_paramconv", 800, 400)
c.cd(1)
frame.GetYaxis().SetTitleOffset(1.4)
c.cd(2)
hh.GetZaxis().SetTitleOffset(2.5)
hh.Draw("surf")
c.SaveAs("rf211_paramconv.png")
ROOT::Detail::TRangeCast< T, true > TRangeDynCast
TRangeDynCast is an adapter class that allows the typed iteration through a TCollection.
[#1] INFO:Eval -- RooRealVar::setRange(mean) new range named 'refrange_fft_model' created with bounds [-3,3]
[#0] WARNING:Eval -- The FFT convolution 'model' will run with 50 bins. A decent accuracy for difficult convolutions is typically only reached with n >= 1000. Suggest to increase the number of bins of the observable 'mean'.
[#1] INFO:NumericIntegration -- RooRealIntegral::init(gx_Int[mean,x]) using numeric integrator RooIntegrator1D to calculate Int(mean)
[#1] INFO:NumericIntegration -- RooRealIntegral::init(model_mean_Int[mean]) using numeric integrator RooIntegrator1D to calculate Int(mean)
[#0] WARNING:Integration -- RooRombergIntegrator::integral: integral of model_mean over range (-6,6) did not converge after 20 steps
[1] h = 1 , s = 0
[2] h = 0.25 , s = 6
[3] h = 0.0625 , s = 3
[4] h = 0.015625 , s = 4.5
[5] h = 0.00390625 , s = 3.75
[6] h = 0.000976562 , s = 4.125
[7] h = 0.000244141 , s = 3.9375
[8] h = 6.10352e-05 , s = 4.03125
[9] h = 1.52588e-05 , s = 3.98438
[10] h = 3.8147e-06 , s = 4.00781
[11] h = 9.53674e-07 , s = 3.99609
[12] h = 2.38419e-07 , s = 4.00195
[13] h = 5.96046e-08 , s = 3.99902
[14] h = 1.49012e-08 , s = 4.00049
[15] h = 3.72529e-09 , s = 3.99976
[16] h = 9.31323e-10 , s = 4.00012
[17] h = 2.32831e-10 , s = 3.99994
[18] h = 5.82077e-11 , s = 4.00003
[19] h = 1.45519e-11 , s = 3.99998
[20] h = 3.63798e-12 , s = 4.00001
[#1] INFO:Caching -- RooAbsCachedPdf::getCache(model) creating new cache 0x556c55a56130 with pdf gx_CONV_model_mean_CACHE_Obs[mean,x]_NORM_mean for nset (mean) with code 0
[#0] WARNING:Eval -- The FFT convolution 'model' will run with 50 bins. A decent accuracy for difficult convolutions is typically only reached with n >= 1000. Suggest to increase the number of bins of the observable 'mean'.
[#1] INFO:NumericIntegration -- RooRealIntegral::init(gx_Int[mean,x]) using numeric integrator RooIntegrator1D to calculate Int(mean)
[#1] INFO:NumericIntegration -- RooRealIntegral::init(model_mean_Int[mean]) using numeric integrator RooIntegrator1D to calculate Int(mean)
[#0] WARNING:Integration -- RooRombergIntegrator::integral: integral of model_mean over range (-6,6) did not converge after 20 steps
[1] h = 1 , s = 0
[2] h = 0.25 , s = 6
[3] h = 0.0625 , s = 3
[4] h = 0.015625 , s = 4.5
[5] h = 0.00390625 , s = 3.75
[6] h = 0.000976562 , s = 4.125
[7] h = 0.000244141 , s = 3.9375
[8] h = 6.10352e-05 , s = 4.03125
[9] h = 1.52588e-05 , s = 3.98438
[10] h = 3.8147e-06 , s = 4.00781
[11] h = 9.53674e-07 , s = 3.99609
[12] h = 2.38419e-07 , s = 4.00195
[13] h = 5.96046e-08 , s = 3.99902
[14] h = 1.49012e-08 , s = 4.00049
[15] h = 3.72529e-09 , s = 3.99976
[16] h = 9.31323e-10 , s = 4.00012
[17] h = 2.32831e-10 , s = 3.99994
[18] h = 5.82077e-11 , s = 4.00003
[19] h = 1.45519e-11 , s = 3.99998
[20] h = 3.63798e-12 , s = 4.00001
[#1] INFO:Caching -- RooAbsCachedPdf::getCache(model) creating new cache 0x556c5603e0c0 with pdf gx_CONV_model_mean_CACHE_Obs[x,mean]_NORM_x_mean for nset (x,mean) with code 1
[#0] WARNING:Eval -- The FFT convolution 'model' will run with 50 bins. A decent accuracy for difficult convolutions is typically only reached with n >= 1000. Suggest to increase the number of bins of the observable 'mean'.
[#1] INFO:Caching -- RooAbsCachedPdf::getCache(model) creating new cache 0x556c565ce5c0 with pdf gx_CONV_model_mean_CACHE_Obs[x,mean]_NORM_x_mean for nset (x,mean) with code 1 from preexisting content.
[#1] INFO:Fitting -- RooAbsPdf::fitTo(model_Int[mean]_Norm[mean,x]) fixing normalization set for coefficient determination to observables in data
[#1] INFO:Fitting -- using CPU computation library compiled with -mavx512
[#1] INFO:Fitting -- RooAddition::defaultErrorLevel(nll_model_Int[mean]_Norm[mean,x]_genData) Summation contains a RooNLLVar, using its error level
[#1] INFO:Minimization -- RooAbsMinimizerFcn::setOptimizeConst: activating const optimization
[#0] WARNING:Minimization -- RooAbsMinimizerFcn::synchronize: WARNING: no initial error estimate available for a: using 0.5
[#0] WARNING:Minimization -- RooAbsMinimizerFcn::synchronize: WARNING: no initial error estimate available for mean: using 0.6
[#0] WARNING:Minimization -- RooAbsMinimizerFcn::synchronize: WARNING: no initial error estimate available for sigma: using 0.2
sigma=0.5, [#0] WARNING:Eval -- The FFT convolution 'model' will run with 50 bins. A decent accuracy for difficult convolutions is typically only reached with n >= 1000. Suggest to increase the number of bins of the observable 'mean'.
[#1] INFO:NumericIntegration -- RooRealIntegral::init(model_mean_Int[mean]) using numeric integrator RooIntegrator1D to calculate Int(mean)
[#0] WARNING:Integration -- RooRombergIntegrator::integral: integral of model_mean over range (-6,6) did not converge after 20 steps
[1] h = 1 , s = 0
[2] h = 0.25 , s = 6
[3] h = 0.0625 , s = 3
[4] h = 0.015625 , s = 4.5
[5] h = 0.00390625 , s = 3.75
[6] h = 0.000976562 , s = 4.125
[7] h = 0.000244141 , s = 3.9375
[8] h = 6.10352e-05 , s = 4.03125
[9] h = 1.52588e-05 , s = 3.98438
[10] h = 3.8147e-06 , s = 4.00781
[11] h = 9.53674e-07 , s = 3.99609
[12] h = 2.38419e-07 , s = 4.00195
[13] h = 5.96046e-08 , s = 3.99902
[14] h = 1.49012e-08 , s = 4.00049
[15] h = 3.72529e-09 , s = 3.99976
[16] h = 9.31323e-10 , s = 4.00012
[17] h = 2.32831e-10 , s = 3.99994
[18] h = 5.82077e-11 , s = 4.00003
[19] h = 1.45519e-11 , s = 3.99998
[20] h = 3.63798e-12 , s = 4.00001
[#1] INFO:Caching -- RooAbsCachedPdf::getCache(model) creating new cache 0x556c51b89c80 with pdf gx_CONV_model_mean_CACHE_Obs[mean] for nset () with code 2
[#1] INFO:NumericIntegration -- RooRealIntegral::init(gx_Int[mean,x]) using numeric integrator RooIntegrator1D to calculate Int(mean)
[#1] INFO:NumericIntegration -- RooRealIntegral::init(model_mean_Int[mean]) using numeric integrator RooIntegrator1D to calculate Int(mean)
[#0] WARNING:Integration -- RooRombergIntegrator::integral: integral of model_mean over range (-6,6) did not converge after 20 steps
[1] h = 1 , s = 0
[2] h = 0.25 , s = 6
[3] h = 0.0625 , s = 3
[4] h = 0.015625 , s = 4.5
[5] h = 0.00390625 , s = 3.75
[6] h = 0.000976562 , s = 4.125
[7] h = 0.000244141 , s = 3.9375
[8] h = 6.10352e-05 , s = 4.03125
[9] h = 1.52588e-05 , s = 3.98438
[10] h = 3.8147e-06 , s = 4.00781
[11] h = 9.53674e-07 , s = 3.99609
[12] h = 2.38419e-07 , s = 4.00195
[13] h = 5.96046e-08 , s = 3.99902
[14] h = 1.49012e-08 , s = 4.00049
[15] h = 3.72529e-09 , s = 3.99976
[16] h = 9.31323e-10 , s = 4.00012
[17] h = 2.32831e-10 , s = 3.99994
[18] h = 5.82077e-11 , s = 4.00003
[19] h = 1.45519e-11 , s = 3.99998
[20] h = 3.63798e-12 , s = 4.00001
prevFCN = 2171.275755 a=2.017,
prevFCN = 2171.275755 a=1.983,
prevFCN = 2171.275755 a=2.172,
prevFCN = 2171.861215 a=1.84, [#0] WARNING:Integration -- RooRombergIntegrator::integral: integral of model_mean over range (-6,6) did not converge after 20 steps
[1] h = 1 , s = 0
[2] h = 0.25 , s = 6
[3] h = 0.0625 , s = 3
[4] h = 0.01562 , s = 4.5
[5] h = 0.003906 , s = 3.75
[6] h = 0.0009766 , s = 3.375
[7] h = 0.0002441 , s = 3.562
[8] h = 6.104e-05 , s = 3.656
[9] h = 1.526e-05 , s = 3.703
[10] h = 3.815e-06 , s = 3.68
[11] h = 9.537e-07 , s = 3.691
[12] h = 2.384e-07 , s = 3.686
[13] h = 5.96e-08 , s = 3.683
[14] h = 1.49e-08 , s = 3.681
[15] h = 3.725e-09 , s = 3.68
[16] h = 9.313e-10 , s = 3.68
[17] h = 2.328e-10 , s = 3.68
[18] h = 5.821e-11 , s = 3.68
[19] h = 1.455e-11 , s = 3.68
[20] h = 3.638e-12 , s = 3.68
[#0] WARNING:Integration -- RooRombergIntegrator::integral: integral of model_mean over range (-6,6) did not converge after 20 steps
[1] h = 1 , s = 0
[2] h = 0.25 , s = 6
[3] h = 0.0625 , s = 3
[4] h = 0.01562 , s = 4.5
[5] h = 0.003906 , s = 3.75
[6] h = 0.0009766 , s = 3.375
[7] h = 0.0002441 , s = 3.562
[8] h = 6.104e-05 , s = 3.656
[9] h = 1.526e-05 , s = 3.703
[10] h = 3.815e-06 , s = 3.68
[11] h = 9.537e-07 , s = 3.691
[12] h = 2.384e-07 , s = 3.686
[13] h = 5.96e-08 , s = 3.683
[14] h = 1.49e-08 , s = 3.681
[15] h = 3.725e-09 , s = 3.68
[16] h = 9.313e-10 , s = 3.68
[17] h = 2.328e-10 , s = 3.68
[18] h = 5.821e-11 , s = 3.68
[19] h = 1.455e-11 , s = 3.68
[20] h = 3.638e-12 , s = 3.68
prevFCN = 2174.775121 a=2.017,
prevFCN = 2171.275755 a=1.983,
prevFCN = 2171.275755 a=2, mean=0.01944, [#0] WARNING:Integration -- RooRombergIntegrator::integral: integral of model_mean over range (-6,6) did not converge after 20 steps
[1] h = 1 , s = 0
[2] h = 0.25 , s = 6
[3] h = 0.0625 , s = 3
[4] h = 0.01562 , s = 4.5
[5] h = 0.003906 , s = 3.75
[6] h = 0.0009766 , s = 4.125
[7] h = 0.0002441 , s = 3.938
[8] h = 6.104e-05 , s = 4.031
[9] h = 1.526e-05 , s = 3.984
[10] h = 3.815e-06 , s = 4.008
[11] h = 9.537e-07 , s = 3.996
[12] h = 2.384e-07 , s = 4.002
[13] h = 5.96e-08 , s = 3.999
[14] h = 1.49e-08 , s = 4
[15] h = 3.725e-09 , s = 4
[16] h = 9.313e-10 , s = 4
[17] h = 2.328e-10 , s = 4
[18] h = 5.821e-11 , s = 4
[19] h = 1.455e-11 , s = 4
[20] h = 3.638e-12 , s = 4
[#0] WARNING:Integration -- RooRombergIntegrator::integral: integral of model_mean over range (-6,6) did not converge after 20 steps
[1] h = 1 , s = 0
[2] h = 0.25 , s = 6
[3] h = 0.0625 , s = 3
[4] h = 0.01562 , s = 4.5
[5] h = 0.003906 , s = 3.75
[6] h = 0.0009766 , s = 4.125
[7] h = 0.0002441 , s = 3.938
[8] h = 6.104e-05 , s = 4.031
[9] h = 1.526e-05 , s = 3.984
[10] h = 3.815e-06 , s = 4.008
[11] h = 9.537e-07 , s = 3.996
[12] h = 2.384e-07 , s = 4.002
[13] h = 5.96e-08 , s = 3.999
[14] h = 1.49e-08 , s = 4
[15] h = 3.725e-09 , s = 4
[16] h = 9.313e-10 , s = 4
[17] h = 2.328e-10 , s = 4
[18] h = 5.821e-11 , s = 4
[19] h = 1.455e-11 , s = 4
[20] h = 3.638e-12 , s = 4
prevFCN = 2171.275755 mean=-0.01944,
prevFCN = 2171.275755 mean=0.1943,
prevFCN = 2171.275755 mean=-0.1943,
prevFCN = 2171.275755 mean=0, sigma=0.5067,
prevFCN = 2171.291807 sigma=0.4934,
prevFCN = 2171.265264 sigma=0.5029,
prevFCN = 2171.281998 sigma=0.4971,
prevFCN = 2171.270547 sigma=0.4843,
prevFCN = 2171.259881 a=2.172,
prevFCN = 2171.692149 a=1.84, [#0] WARNING:Integration -- RooRombergIntegrator::integral: integral of model_mean over range (-6,6) did not converge after 20 steps
[1] h = 1 , s = 0
[2] h = 0.25 , s = 6
[3] h = 0.0625 , s = 3
[4] h = 0.01562 , s = 4.5
[5] h = 0.003906 , s = 3.75
[6] h = 0.0009766 , s = 3.375
[7] h = 0.0002441 , s = 3.562
[8] h = 6.104e-05 , s = 3.656
[9] h = 1.526e-05 , s = 3.703
[10] h = 3.815e-06 , s = 3.68
[11] h = 9.537e-07 , s = 3.691
[12] h = 2.384e-07 , s = 3.686
[13] h = 5.96e-08 , s = 3.683
[14] h = 1.49e-08 , s = 3.681
[15] h = 3.725e-09 , s = 3.68
[16] h = 9.313e-10 , s = 3.68
[17] h = 2.328e-10 , s = 3.68
[18] h = 5.821e-11 , s = 3.68
[19] h = 1.455e-11 , s = 3.68
[20] h = 3.638e-12 , s = 3.68
[#0] WARNING:Integration -- RooRombergIntegrator::integral: integral of model_mean over range (-6,6) did not converge after 20 steps
[1] h = 1 , s = 0
[2] h = 0.25 , s = 6
[3] h = 0.0625 , s = 3
[4] h = 0.01562 , s = 4.5
[5] h = 0.003906 , s = 3.75
[6] h = 0.0009766 , s = 3.375
[7] h = 0.0002441 , s = 3.562
[8] h = 6.104e-05 , s = 3.656
[9] h = 1.526e-05 , s = 3.703
[10] h = 3.815e-06 , s = 3.68
[11] h = 9.537e-07 , s = 3.691
[12] h = 2.384e-07 , s = 3.686
[13] h = 5.96e-08 , s = 3.683
[14] h = 1.49e-08 , s = 3.681
[15] h = 3.725e-09 , s = 3.68
[16] h = 9.313e-10 , s = 3.68
[17] h = 2.328e-10 , s = 3.68
[18] h = 5.821e-11 , s = 3.68
[19] h = 1.455e-11 , s = 3.68
[20] h = 3.638e-12 , s = 3.68
prevFCN = 2175.249474 a=2.017,
prevFCN = 2171.259881 a=1.983,
prevFCN = 2171.259881 a=2.172,
prevFCN = 2171.692149 a=1.84, [#0] WARNING:Integration -- RooRombergIntegrator::integral: integral of model_mean over range (-6,6) did not converge after 20 steps
[1] h = 1 , s = 0
[2] h = 0.25 , s = 6
[3] h = 0.0625 , s = 3
[4] h = 0.01562 , s = 4.5
[5] h = 0.003906 , s = 3.75
[6] h = 0.0009766 , s = 3.375
[7] h = 0.0002441 , s = 3.562
[8] h = 6.104e-05 , s = 3.656
[9] h = 1.526e-05 , s = 3.703
[10] h = 3.815e-06 , s = 3.68
[11] h = 9.537e-07 , s = 3.691
[12] h = 2.384e-07 , s = 3.686
[13] h = 5.96e-08 , s = 3.683
[14] h = 1.49e-08 , s = 3.681
[15] h = 3.725e-09 , s = 3.68
[16] h = 9.313e-10 , s = 3.68
[17] h = 2.328e-10 , s = 3.68
[18] h = 5.821e-11 , s = 3.68
[19] h = 1.455e-11 , s = 3.68
[20] h = 3.638e-12 , s = 3.68
[#0] WARNING:Integration -- RooRombergIntegrator::integral: integral of model_mean over range (-6,6) did not converge after 20 steps
[1] h = 1 , s = 0
[2] h = 0.25 , s = 6
[3] h = 0.0625 , s = 3
[4] h = 0.01562 , s = 4.5
[5] h = 0.003906 , s = 3.75
[6] h = 0.0009766 , s = 3.375
[7] h = 0.0002441 , s = 3.562
[8] h = 6.104e-05 , s = 3.656
[9] h = 1.526e-05 , s = 3.703
[10] h = 3.815e-06 , s = 3.68
[11] h = 9.537e-07 , s = 3.691
[12] h = 2.384e-07 , s = 3.686
[13] h = 5.96e-08 , s = 3.683
[14] h = 1.49e-08 , s = 3.681
[15] h = 3.725e-09 , s = 3.68
[16] h = 9.313e-10 , s = 3.68
[17] h = 2.328e-10 , s = 3.68
[18] h = 5.821e-11 , s = 3.68
[19] h = 1.455e-11 , s = 3.68
[20] h = 3.638e-12 , s = 3.68
prevFCN = 2175.249474 a=2, mean=1.438, [#0] WARNING:Integration -- RooRombergIntegrator::integral: integral of model_mean over range (-6,6) did not converge after 20 steps
[1] h = 1 , s = 0
[2] h = 0.25 , s = 6
[3] h = 0.0625 , s = 3
[4] h = 0.01562 , s = 4.5
[5] h = 0.003906 , s = 3.75
[6] h = 0.0009766 , s = 4.125
[7] h = 0.0002441 , s = 3.938
[8] h = 6.104e-05 , s = 4.031
[9] h = 1.526e-05 , s = 3.984
[10] h = 3.815e-06 , s = 4.008
[11] h = 9.537e-07 , s = 3.996
[12] h = 2.384e-07 , s = 4.002
[13] h = 5.96e-08 , s = 3.999
[14] h = 1.49e-08 , s = 4
[15] h = 3.725e-09 , s = 4
[16] h = 9.313e-10 , s = 4
[17] h = 2.328e-10 , s = 4
[18] h = 5.821e-11 , s = 4
[19] h = 1.455e-11 , s = 4
[20] h = 3.638e-12 , s = 4
[#0] WARNING:Integration -- RooRombergIntegrator::integral: integral of model_mean over range (-6,6) did not converge after 20 steps
[1] h = 1 , s = 0
[2] h = 0.25 , s = 6
[3] h = 0.0625 , s = 3
[4] h = 0.01562 , s = 4.5
[5] h = 0.003906 , s = 3.75
[6] h = 0.0009766 , s = 4.125
[7] h = 0.0002441 , s = 3.938
[8] h = 6.104e-05 , s = 4.031
[9] h = 1.526e-05 , s = 3.984
[10] h = 3.815e-06 , s = 4.008
[11] h = 9.537e-07 , s = 3.996
[12] h = 2.384e-07 , s = 4.002
[13] h = 5.96e-08 , s = 3.999
[14] h = 1.49e-08 , s = 4
[15] h = 3.725e-09 , s = 4
[16] h = 9.313e-10 , s = 4
[17] h = 2.328e-10 , s = 4
[18] h = 5.821e-11 , s = 4
[19] h = 1.455e-11 , s = 4
[20] h = 3.638e-12 , s = 4
prevFCN = 2171.259881 mean=-1.438,
prevFCN = 2171.259881 mean=0, sigma=0.4871,
prevFCN = 2171.26042 sigma=0.4815,
prevFCN = 2171.260367 a=2.003, sigma=0.4688,
prevFCN = 2171.275519 a=2.001, sigma=0.479,
prevFCN = 2171.261603 a=2, sigma=0.482,
prevFCN = 2171.260187 a=2, sigma=0.4832,
prevFCN = 2171.259943 a=2, sigma=0.4838,
prevFCN = 2171.259893 a=2, sigma=0.484,
prevFCN = 2171.259883 a=2, sigma=0.4841,
prevFCN = 2171.259881 a=2, sigma=0.4842, [#0] WARNING:Integration -- RooRombergIntegrator::integral: integral of model_mean over range (-6,6) did not converge after 20 steps
[1] h = 1 , s = 0
[2] h = 0.25 , s = 6
[3] h = 0.0625 , s = 3
[4] h = 0.01562 , s = 4.5
[5] h = 0.003906 , s = 3.75
[6] h = 0.0009766 , s = 4.125
[7] h = 0.0002441 , s = 3.938
[8] h = 6.104e-05 , s = 4.031
[9] h = 1.526e-05 , s = 3.984
[10] h = 3.815e-06 , s = 4.008
[11] h = 9.537e-07 , s = 3.996
[12] h = 2.384e-07 , s = 4.002
[13] h = 5.96e-08 , s = 3.999
[14] h = 1.49e-08 , s = 4
[15] h = 3.725e-09 , s = 4
[16] h = 9.313e-10 , s = 4
[17] h = 2.328e-10 , s = 4
[18] h = 5.821e-11 , s = 4
[19] h = 1.455e-11 , s = 4
[20] h = 3.638e-12 , s = 4
[#0] WARNING:Integration -- RooRombergIntegrator::integral: integral of model_mean over range (-6,6) did not converge after 20 steps
[1] h = 1 , s = 0
[2] h = 0.25 , s = 6
[3] h = 0.0625 , s = 3
[4] h = 0.01562 , s = 4.5
[5] h = 0.003906 , s = 3.75
[6] h = 0.0009766 , s = 4.125
[7] h = 0.0002441 , s = 3.938
[8] h = 6.104e-05 , s = 4.031
[9] h = 1.526e-05 , s = 3.984
[10] h = 3.815e-06 , s = 4.008
[11] h = 9.537e-07 , s = 3.996
[12] h = 2.384e-07 , s = 4.002
[13] h = 5.96e-08 , s = 3.999
[14] h = 1.49e-08 , s = 4
[15] h = 3.725e-09 , s = 4
[16] h = 9.313e-10 , s = 4
[17] h = 2.328e-10 , s = 4
[18] h = 5.821e-11 , s = 4
[19] h = 1.455e-11 , s = 4
[20] h = 3.638e-12 , s = 4
prevFCN = 2171.25988 a=2.017,
prevFCN = 2171.25988 a=1.983,
prevFCN = 2171.25988 a=2.172,
prevFCN = 2171.691427 a=1.84, [#0] WARNING:Integration -- RooRombergIntegrator::integral: integral of model_mean over range (-6,6) did not converge after 20 steps
[1] h = 1 , s = 0
[2] h = 0.25 , s = 6
[3] h = 0.0625 , s = 3
[4] h = 0.01562 , s = 4.5
[5] h = 0.003906 , s = 3.75
[6] h = 0.0009766 , s = 3.375
[7] h = 0.0002441 , s = 3.562
[8] h = 6.104e-05 , s = 3.656
[9] h = 1.526e-05 , s = 3.703
[10] h = 3.815e-06 , s = 3.68
[11] h = 9.537e-07 , s = 3.691
[12] h = 2.384e-07 , s = 3.686
[13] h = 5.96e-08 , s = 3.683
[14] h = 1.49e-08 , s = 3.681
[15] h = 3.725e-09 , s = 3.68
[16] h = 9.313e-10 , s = 3.68
[17] h = 2.328e-10 , s = 3.68
[18] h = 5.821e-11 , s = 3.68
[19] h = 1.455e-11 , s = 3.68
[20] h = 3.638e-12 , s = 3.68
[#0] WARNING:Integration -- RooRombergIntegrator::integral: integral of model_mean over range (-6,6) did not converge after 20 steps
[1] h = 1 , s = 0
[2] h = 0.25 , s = 6
[3] h = 0.0625 , s = 3
[4] h = 0.01562 , s = 4.5
[5] h = 0.003906 , s = 3.75
[6] h = 0.0009766 , s = 3.375
[7] h = 0.0002441 , s = 3.562
[8] h = 6.104e-05 , s = 3.656
[9] h = 1.526e-05 , s = 3.703
[10] h = 3.815e-06 , s = 3.68
[11] h = 9.537e-07 , s = 3.691
[12] h = 2.384e-07 , s = 3.686
[13] h = 5.96e-08 , s = 3.683
[14] h = 1.49e-08 , s = 3.681
[15] h = 3.725e-09 , s = 3.68
[16] h = 9.313e-10 , s = 3.68
[17] h = 2.328e-10 , s = 3.68
[18] h = 5.821e-11 , s = 3.68
[19] h = 1.455e-11 , s = 3.68
[20] h = 3.638e-12 , s = 3.68
prevFCN = 2175.251788 a=2.017,
prevFCN = 2171.25988 a=1.983,
prevFCN = 2171.25988 a=2, mean=1.438, [#0] WARNING:Integration -- RooRombergIntegrator::integral: integral of model_mean over range (-6,6) did not converge after 20 steps
[1] h = 1 , s = 0
[2] h = 0.25 , s = 6
[3] h = 0.0625 , s = 3
[4] h = 0.01562 , s = 4.5
[5] h = 0.003906 , s = 3.75
[6] h = 0.0009766 , s = 4.125
[7] h = 0.0002441 , s = 3.938
[8] h = 6.104e-05 , s = 4.031
[9] h = 1.526e-05 , s = 3.984
[10] h = 3.815e-06 , s = 4.008
[11] h = 9.537e-07 , s = 3.996
[12] h = 2.384e-07 , s = 4.002
[13] h = 5.96e-08 , s = 3.999
[14] h = 1.49e-08 , s = 4
[15] h = 3.725e-09 , s = 4
[16] h = 9.313e-10 , s = 4
[17] h = 2.328e-10 , s = 4
[18] h = 5.821e-11 , s = 4
[19] h = 1.455e-11 , s = 4
[20] h = 3.638e-12 , s = 4
[#0] WARNING:Integration -- RooRombergIntegrator::integral: integral of model_mean over range (-6,6) did not converge after 20 steps
[1] h = 1 , s = 0
[2] h = 0.25 , s = 6
[3] h = 0.0625 , s = 3
[4] h = 0.01562 , s = 4.5
[5] h = 0.003906 , s = 3.75
[6] h = 0.0009766 , s = 4.125
[7] h = 0.0002441 , s = 3.938
[8] h = 6.104e-05 , s = 4.031
[9] h = 1.526e-05 , s = 3.984
[10] h = 3.815e-06 , s = 4.008
[11] h = 9.537e-07 , s = 3.996
[12] h = 2.384e-07 , s = 4.002
[13] h = 5.96e-08 , s = 3.999
[14] h = 1.49e-08 , s = 4
[15] h = 3.725e-09 , s = 4
[16] h = 9.313e-10 , s = 4
[17] h = 2.328e-10 , s = 4
[18] h = 5.821e-11 , s = 4
[19] h = 1.455e-11 , s = 4
[20] h = 3.638e-12 , s = 4
prevFCN = 2171.25988 mean=-1.438,
prevFCN = 2171.25988 mean=0, sigma=0.487,
prevFCN = 2171.260398 sigma=0.4814,
prevFCN = 2171.260398 sigma=0.4842,
prevFCN = 2171.25988 a=2.017,
prevFCN = 2171.25988 a=1.983,
prevFCN = 2171.25988 a=2.172,
prevFCN = 2171.691427 a=1.84, [#0] WARNING:Integration -- RooRombergIntegrator::integral: integral of model_mean over range (-6,6) did not converge after 20 steps
[1] h = 1 , s = 0
[2] h = 0.25 , s = 6
[3] h = 0.0625 , s = 3
[4] h = 0.01562 , s = 4.5
[5] h = 0.003906 , s = 3.75
[6] h = 0.0009766 , s = 3.375
[7] h = 0.0002441 , s = 3.562
[8] h = 6.104e-05 , s = 3.656
[9] h = 1.526e-05 , s = 3.703
[10] h = 3.815e-06 , s = 3.68
[11] h = 9.537e-07 , s = 3.691
[12] h = 2.384e-07 , s = 3.686
[13] h = 5.96e-08 , s = 3.683
[14] h = 1.49e-08 , s = 3.681
[15] h = 3.725e-09 , s = 3.68
[16] h = 9.313e-10 , s = 3.68
[17] h = 2.328e-10 , s = 3.68
[18] h = 5.821e-11 , s = 3.68
[19] h = 1.455e-11 , s = 3.68
[20] h = 3.638e-12 , s = 3.68
[#0] WARNING:Integration -- RooRombergIntegrator::integral: integral of model_mean over range (-6,6) did not converge after 20 steps
[1] h = 1 , s = 0
[2] h = 0.25 , s = 6
[3] h = 0.0625 , s = 3
[4] h = 0.01562 , s = 4.5
[5] h = 0.003906 , s = 3.75
[6] h = 0.0009766 , s = 3.375
[7] h = 0.0002441 , s = 3.562
[8] h = 6.104e-05 , s = 3.656
[9] h = 1.526e-05 , s = 3.703
[10] h = 3.815e-06 , s = 3.68
[11] h = 9.537e-07 , s = 3.691
[12] h = 2.384e-07 , s = 3.686
[13] h = 5.96e-08 , s = 3.683
[14] h = 1.49e-08 , s = 3.681
[15] h = 3.725e-09 , s = 3.68
[16] h = 9.313e-10 , s = 3.68
[17] h = 2.328e-10 , s = 3.68
[18] h = 5.821e-11 , s = 3.68
[19] h = 1.455e-11 , s = 3.68
[20] h = 3.638e-12 , s = 3.68
prevFCN = 2175.251788 a=2.083,
prevFCN = 2171.25988 a=1.92,
prevFCN = 2172.379556 a=2, mean=1.438, [#0] WARNING:Integration -- RooRombergIntegrator::integral: integral of model_mean over range (-6,6) did not converge after 20 steps
[1] h = 1 , s = 0
[2] h = 0.25 , s = 6
[3] h = 0.0625 , s = 3
[4] h = 0.01562 , s = 4.5
[5] h = 0.003906 , s = 3.75
[6] h = 0.0009766 , s = 4.125
[7] h = 0.0002441 , s = 3.938
[8] h = 6.104e-05 , s = 4.031
[9] h = 1.526e-05 , s = 3.984
[10] h = 3.815e-06 , s = 4.008
[11] h = 9.537e-07 , s = 3.996
[12] h = 2.384e-07 , s = 4.002
[13] h = 5.96e-08 , s = 3.999
[14] h = 1.49e-08 , s = 4
[15] h = 3.725e-09 , s = 4
[16] h = 9.313e-10 , s = 4
[17] h = 2.328e-10 , s = 4
[18] h = 5.821e-11 , s = 4
[19] h = 1.455e-11 , s = 4
[20] h = 3.638e-12 , s = 4
[#0] WARNING:Integration -- RooRombergIntegrator::integral: integral of model_mean over range (-6,6) did not converge after 20 steps
[1] h = 1 , s = 0
[2] h = 0.25 , s = 6
[3] h = 0.0625 , s = 3
[4] h = 0.01562 , s = 4.5
[5] h = 0.003906 , s = 3.75
[6] h = 0.0009766 , s = 4.125
[7] h = 0.0002441 , s = 3.938
[8] h = 6.104e-05 , s = 4.031
[9] h = 1.526e-05 , s = 3.984
[10] h = 3.815e-06 , s = 4.008
[11] h = 9.537e-07 , s = 3.996
[12] h = 2.384e-07 , s = 4.002
[13] h = 5.96e-08 , s = 3.999
[14] h = 1.49e-08 , s = 4
[15] h = 3.725e-09 , s = 4
[16] h = 9.313e-10 , s = 4
[17] h = 2.328e-10 , s = 4
[18] h = 5.821e-11 , s = 4
[19] h = 1.455e-11 , s = 4
[20] h = 3.638e-12 , s = 4
prevFCN = 2171.25988 mean=-1.438,
prevFCN = 2171.25988 mean=1.465,
prevFCN = 2171.25988 mean=-1.465,
prevFCN = 2171.25988 mean=0, [#0] WARNING:Minimization -- RooAbsMinimizerFcn::synchronize: WARNING: no initial error estimate available for a: using 0.5
[#1] INFO:Minimization -- RooAbsMinimizerFcn::synchronize: value of parameter a changed from 2 to 2
[#1] INFO:Minimization -- RooAbsMinimizerFcn::synchronize: error/step size of parameter a changed from 0.5 to 0.5
[#0] WARNING:Minimization -- RooAbsMinimizerFcn::synchronize: WARNING: no initial error estimate available for mean: using 0.6
[#0] WARNING:Minimization -- RooAbsMinimizerFcn::synchronize: WARNING: no initial error estimate available for sigma: using 0.1921
[#1] INFO:Minimization -- RooAbsMinimizerFcn::synchronize: value of parameter sigma changed from 0.5 to 0.4842
[#1] INFO:Minimization -- RooAbsMinimizerFcn::synchronize: error/step size of parameter sigma changed from 0.2 to 0.1921
prevFCN = 2171.25988 a=2.017,
prevFCN = 2171.25988 a=1.983,
prevFCN = 2171.25988 a=2.172,
prevFCN = 2171.691427 a=1.84, [#0] WARNING:Integration -- RooRombergIntegrator::integral: integral of model_mean over range (-6,6) did not converge after 20 steps
[1] h = 1 , s = 0
[2] h = 0.25 , s = 6
[3] h = 0.0625 , s = 3
[4] h = 0.01562 , s = 4.5
[5] h = 0.003906 , s = 3.75
[6] h = 0.0009766 , s = 3.375
[7] h = 0.0002441 , s = 3.562
[8] h = 6.104e-05 , s = 3.656
[9] h = 1.526e-05 , s = 3.703
[10] h = 3.815e-06 , s = 3.68
[11] h = 9.537e-07 , s = 3.691
[12] h = 2.384e-07 , s = 3.686
[13] h = 5.96e-08 , s = 3.683
[14] h = 1.49e-08 , s = 3.681
[15] h = 3.725e-09 , s = 3.68
[16] h = 9.313e-10 , s = 3.68
[17] h = 2.328e-10 , s = 3.68
[18] h = 5.821e-11 , s = 3.68
[19] h = 1.455e-11 , s = 3.68
[20] h = 3.638e-12 , s = 3.68
[#0] WARNING:Integration -- RooRombergIntegrator::integral: integral of model_mean over range (-6,6) did not converge after 20 steps
[1] h = 1 , s = 0
[2] h = 0.25 , s = 6
[3] h = 0.0625 , s = 3
[4] h = 0.01562 , s = 4.5
[5] h = 0.003906 , s = 3.75
[6] h = 0.0009766 , s = 3.375
[7] h = 0.0002441 , s = 3.562
[8] h = 6.104e-05 , s = 3.656
[9] h = 1.526e-05 , s = 3.703
[10] h = 3.815e-06 , s = 3.68
[11] h = 9.537e-07 , s = 3.691
[12] h = 2.384e-07 , s = 3.686
[13] h = 5.96e-08 , s = 3.683
[14] h = 1.49e-08 , s = 3.681
[15] h = 3.725e-09 , s = 3.68
[16] h = 9.313e-10 , s = 3.68
[17] h = 2.328e-10 , s = 3.68
[18] h = 5.821e-11 , s = 3.68
[19] h = 1.455e-11 , s = 3.68
[20] h = 3.638e-12 , s = 3.68
prevFCN = 2175.251788 a=2.083,
prevFCN = 2171.25988 a=1.92,
prevFCN = 2172.379556 a=2, mean=1.438, [#0] WARNING:Integration -- RooRombergIntegrator::integral: integral of model_mean over range (-6,6) did not converge after 20 steps
[1] h = 1 , s = 0
[2] h = 0.25 , s = 6
[3] h = 0.0625 , s = 3
[4] h = 0.01562 , s = 4.5
[5] h = 0.003906 , s = 3.75
[6] h = 0.0009766 , s = 4.125
[7] h = 0.0002441 , s = 3.938
[8] h = 6.104e-05 , s = 4.031
[9] h = 1.526e-05 , s = 3.984
[10] h = 3.815e-06 , s = 4.008
[11] h = 9.537e-07 , s = 3.996
[12] h = 2.384e-07 , s = 4.002
[13] h = 5.96e-08 , s = 3.999
[14] h = 1.49e-08 , s = 4
[15] h = 3.725e-09 , s = 4
[16] h = 9.313e-10 , s = 4
[17] h = 2.328e-10 , s = 4
[18] h = 5.821e-11 , s = 4
[19] h = 1.455e-11 , s = 4
[20] h = 3.638e-12 , s = 4
[#0] WARNING:Integration -- RooRombergIntegrator::integral: integral of model_mean over range (-6,6) did not converge after 20 steps
[1] h = 1 , s = 0
[2] h = 0.25 , s = 6
[3] h = 0.0625 , s = 3
[4] h = 0.01562 , s = 4.5
[5] h = 0.003906 , s = 3.75
[6] h = 0.0009766 , s = 4.125
[7] h = 0.0002441 , s = 3.938
[8] h = 6.104e-05 , s = 4.031
[9] h = 1.526e-05 , s = 3.984
[10] h = 3.815e-06 , s = 4.008
[11] h = 9.537e-07 , s = 3.996
[12] h = 2.384e-07 , s = 4.002
[13] h = 5.96e-08 , s = 3.999
[14] h = 1.49e-08 , s = 4
[15] h = 3.725e-09 , s = 4
[16] h = 9.313e-10 , s = 4
[17] h = 2.328e-10 , s = 4
[18] h = 5.821e-11 , s = 4
[19] h = 1.455e-11 , s = 4
[20] h = 3.638e-12 , s = 4
prevFCN = 2171.25988 mean=-1.438,
prevFCN = 2171.25988 mean=1.465,
prevFCN = 2171.25988 mean=-1.465,
prevFCN = 2171.25988 mean=0, [#1] INFO:Minimization -- RooAbsMinimizerFcn::setOptimizeConst: deactivating const optimization
[#0] WARNING:Eval -- The FFT convolution 'model' will run with 50 bins. A decent accuracy for difficult convolutions is typically only reached with n >= 1000. Suggest to increase the number of bins of the observable 'mean'.
[#1] INFO:NumericIntegration -- RooRealIntegral::init(gx_Int[mean,x]) using numeric integrator RooIntegrator1D to calculate Int(mean)
[#1] INFO:NumericIntegration -- RooRealIntegral::init(model_mean_Int[mean]) using numeric integrator RooIntegrator1D to calculate Int(mean)
[#0] WARNING:Integration -- RooRombergIntegrator::integral: integral of model_mean over range (-6,6) did not converge after 20 steps
[1] h = 1 , s = 0
[2] h = 0.25 , s = 6
[3] h = 0.0625 , s = 3
[4] h = 0.01562 , s = 4.5
[5] h = 0.003906 , s = 3.75
[6] h = 0.0009766 , s = 4.125
[7] h = 0.0002441 , s = 3.938
[8] h = 6.104e-05 , s = 4.031
[9] h = 1.526e-05 , s = 3.984
[10] h = 3.815e-06 , s = 4.008
[11] h = 9.537e-07 , s = 3.996
[12] h = 2.384e-07 , s = 4.002
[13] h = 5.96e-08 , s = 3.999
[14] h = 1.49e-08 , s = 4
[15] h = 3.725e-09 , s = 4
[16] h = 9.313e-10 , s = 4
[17] h = 2.328e-10 , s = 4
[18] h = 5.821e-11 , s = 4
[19] h = 1.455e-11 , s = 4
[20] h = 3.638e-12 , s = 4
[#1] INFO:Caching -- RooAbsCachedPdf::getCache(model) creating new cache 0x556c56a97590 with pdf gx_CONV_model_mean_CACHE_Obs[x,mean]_NORM_x_mean for nset (x,mean) with code 1
[#0] WARNING:Eval -- The FFT convolution 'model' will run with 50 bins. A decent accuracy for difficult convolutions is typically only reached with n >= 1000. Suggest to increase the number of bins of the observable 'mean'.
[#1] INFO:Caching -- RooAbsCachedPdf::getCache(model) creating new cache 0x556c56ba2a00 with pdf gx_CONV_model_mean_CACHE_Obs[x,mean]_NORM_x for nset (x) with code 3 from preexisting content.
Date
February 2018
Authors
Clemens Lange, Wouter Verkerke (C version)

Definition in file rf211_paramconv.py.