Logo ROOT  
Reference Guide
 
Loading...
Searching...
No Matches
rf803_mcstudy_addons2.C File Reference

Detailed Description

View in nbviewer Open in SWAN
Validation and MC studies: RooMCStudy - Using the randomizer and profile likelihood add-on models

#include "RooRealVar.h"
#include "RooDataSet.h"
#include "RooGaussian.h"
#include "RooChebychev.h"
#include "RooAddPdf.h"
#include "RooMCStudy.h"
#include "RooPlot.h"
#include "TCanvas.h"
#include "TAxis.h"
#include "TH1.h"
#include "TDirectory.h"
using namespace RooFit;
{
// C r e a t e m o d e l
// -----------------------
// Simulation of signal and background of top quark decaying into
// 3 jets with background
// Observable
RooRealVar mjjj("mjjj", "m(3jet) (GeV)", 100, 85., 350.);
// Signal component (Gaussian)
RooRealVar mtop("mtop", "m(top)", 162);
RooRealVar wtop("wtop", "m(top) resolution", 15.2);
RooGaussian sig("sig", "top signal", mjjj, mtop, wtop);
// Background component (Chebychev)
RooRealVar c0("c0", "Chebychev coefficient 0", -0.846, -1., 1.);
RooRealVar c1("c1", "Chebychev coefficient 1", 0.112, -1., 1.);
RooRealVar c2("c2", "Chebychev coefficient 2", 0.076, -1., 1.);
RooChebychev bkg("bkg", "combinatorial background", mjjj, RooArgList(c0, c1, c2));
// Composite model
RooRealVar nsig("nsig", "number of signal events", 53, 0, 1e3);
RooRealVar nbkg("nbkg", "number of background events", 103, 0, 5e3);
RooAddPdf model("model", "model", RooArgList(sig, bkg), RooArgList(nsig, nbkg));
// C r e a t e m a n a g e r
// ---------------------------
// Configure manager to perform binned extended likelihood fits (Binned(),Extended()) on data generated
// with a Poisson fluctuation on Nobs (Extended())
RooMCStudy *mcs = new RooMCStudy(model, mjjj, Binned(), Silence(), Extended(true),
FitOptions(Extended(true), PrintEvalErrors(-1)));
// C u s t o m i z e m a n a g e r
// ---------------------------------
// Add module that randomizes the summed value of nsig+nbkg
// sampling from a uniform distribution between 0 and 1000
//
// In general one can randomize a single parameter, or a
// sum of N parameters, using either a uniform or a Gaussian
// distribution. Multiple randomization can be executed
// by a single randomizer module
randModule.sampleSumUniform(RooArgSet(nsig, nbkg), 50, 500);
mcs->addModule(randModule);
// Add profile likelihood calculation of significance. Redo each
// fit while keeping parameter nsig fixed to zero. For each toy,
// the difference in -log(L) of both fits is stored, as well
// a simple significance interpretation of the delta(-logL)
// using Dnll = 0.5 sigma^2
mcs->addModule(sigModule);
// R u n m a n a g e r , m a k e p l o t s
// ---------------------------------------------
// Run 1000 experiments. This configuration will generate a fair number
// of (harmless) MINUIT warnings due to the instability of the Chebychev polynomial fit
// at low statistics.
mcs->generateAndFit(500);
// Make some plots
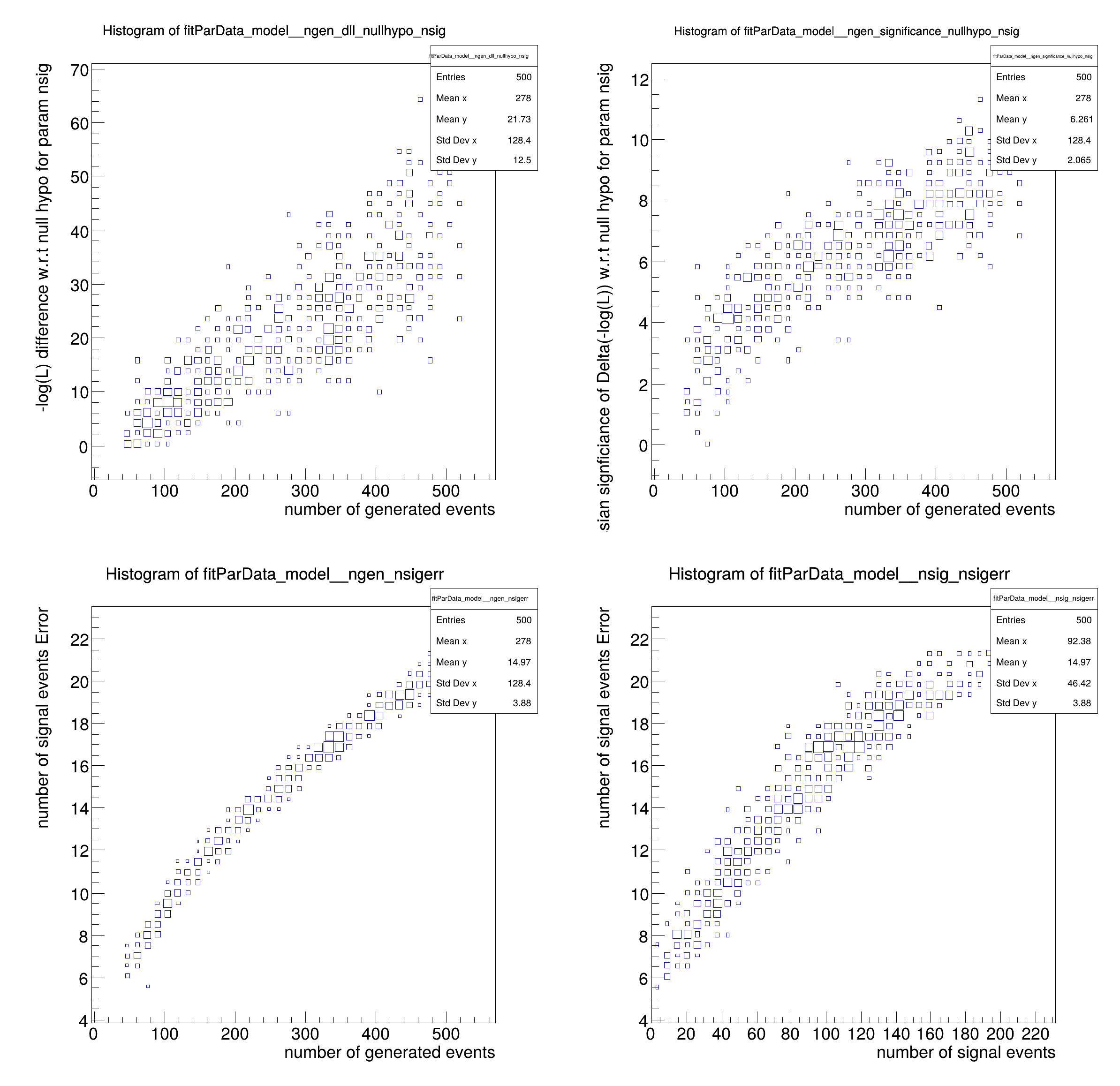
TH1 *dll_vs_ngen = mcs->fitParDataSet().createHistogram("ngen,dll_nullhypo_nsig", AutoBinning(40), AutoBinning(40));
TH1 *z_vs_ngen = mcs->fitParDataSet().createHistogram("ngen,significance_nullhypo_nsig", AutoBinning(40), AutoBinning(40));
TH1 *errnsig_vs_ngen = mcs->fitParDataSet().createHistogram("ngen,nsigerr", AutoBinning(40), AutoBinning(40));
TH1 *errnsig_vs_nsig = mcs->fitParDataSet().createHistogram("nsig,nsigerr", AutoBinning(40), AutoBinning(40));
// Draw plots on canvas
TCanvas *c = new TCanvas("rf803_mcstudy_addons2", "rf802_mcstudy_addons2", 800, 800);
c->Divide(2, 2);
c->cd(1);
gPad->SetLeftMargin(0.15);
dll_vs_ngen->GetYaxis()->SetTitleOffset(1.6);
dll_vs_ngen->Draw("box");
c->cd(2);
gPad->SetLeftMargin(0.15);
z_vs_ngen->GetYaxis()->SetTitleOffset(1.6);
z_vs_ngen->Draw("box");
c->cd(3);
gPad->SetLeftMargin(0.15);
errnsig_vs_ngen->GetYaxis()->SetTitleOffset(1.6);
errnsig_vs_ngen->Draw("box");
c->cd(4);
gPad->SetLeftMargin(0.15);
errnsig_vs_nsig->GetYaxis()->SetTitleOffset(1.6);
errnsig_vs_nsig->Draw("box");
// Make RooMCStudy object available on command line after
// macro finishes
gDirectory->Add(mcs);
}
#define c(i)
Definition RSha256.hxx:101
ROOT::Detail::TRangeCast< T, true > TRangeDynCast
TRangeDynCast is an adapter class that allows the typed iteration through a TCollection.
#define gDirectory
Definition TDirectory.h:384
#define gPad
Efficient implementation of a sum of PDFs of the form.
Definition RooAddPdf.h:33
RooArgList is a container object that can hold multiple RooAbsArg objects.
Definition RooArgList.h:22
RooArgSet is a container object that can hold multiple RooAbsArg objects.
Definition RooArgSet.h:55
Chebychev polynomial p.d.f.
Add-on module to RooMCStudy that calculates the significance of a signal by comparing the likelihood ...
Plain Gaussian p.d.f.
Definition RooGaussian.h:24
Helper class to facilitate Monte Carlo studies such as 'goodness-of-fit' studies, that involve fittin...
Definition RooMCStudy.h:32
Add-on module to RooMCStudy that allows you to randomize input generation parameters.
Variable that can be changed from the outside.
Definition RooRealVar.h:37
The Canvas class.
Definition TCanvas.h:23
TH1 is the base class of all histogram classes in ROOT.
Definition TH1.h:59
return c1
Definition legend1.C:41
return c2
Definition legend2.C:14
The namespace RooFit contains mostly switches that change the behaviour of functions of PDFs (or othe...
Definition JSONIO.h:26
[#0] WARNING:InputArguments -- The parameter 'wtop' with range [-inf, inf] of the RooGaussian 'sig' exceeds the safe range of (0, inf). Advise to limit its range.
[#0] PROGRESS:Generation -- RooMCStudy::run: sample 495
[#0] PROGRESS:Generation -- RooMCStudy::run: sample 490
[#0] PROGRESS:Generation -- RooMCStudy::run: sample 485
[#0] PROGRESS:Generation -- RooMCStudy::run: sample 480
[#0] PROGRESS:Generation -- RooMCStudy::run: sample 475
[#0] PROGRESS:Generation -- RooMCStudy::run: sample 470
[#0] PROGRESS:Generation -- RooMCStudy::run: sample 465
[#0] PROGRESS:Generation -- RooMCStudy::run: sample 460
[#0] PROGRESS:Generation -- RooMCStudy::run: sample 455
[#0] PROGRESS:Generation -- RooMCStudy::run: sample 450
[#0] PROGRESS:Generation -- RooMCStudy::run: sample 445
[#0] PROGRESS:Generation -- RooMCStudy::run: sample 440
[#0] PROGRESS:Generation -- RooMCStudy::run: sample 435
[#0] PROGRESS:Generation -- RooMCStudy::run: sample 430
[#0] PROGRESS:Generation -- RooMCStudy::run: sample 425
[#0] PROGRESS:Generation -- RooMCStudy::run: sample 420
[#0] PROGRESS:Generation -- RooMCStudy::run: sample 415
[#0] PROGRESS:Generation -- RooMCStudy::run: sample 410
[#0] PROGRESS:Generation -- RooMCStudy::run: sample 405
[#0] PROGRESS:Generation -- RooMCStudy::run: sample 400
[#0] PROGRESS:Generation -- RooMCStudy::run: sample 395
[#0] PROGRESS:Generation -- RooMCStudy::run: sample 390
[#0] PROGRESS:Generation -- RooMCStudy::run: sample 385
[#0] PROGRESS:Generation -- RooMCStudy::run: sample 380
[#0] PROGRESS:Generation -- RooMCStudy::run: sample 375
[#0] PROGRESS:Generation -- RooMCStudy::run: sample 370
[#0] PROGRESS:Generation -- RooMCStudy::run: sample 365
[#0] PROGRESS:Generation -- RooMCStudy::run: sample 360
[#0] PROGRESS:Generation -- RooMCStudy::run: sample 355
[#0] PROGRESS:Generation -- RooMCStudy::run: sample 350
[#0] PROGRESS:Generation -- RooMCStudy::run: sample 345
[#0] PROGRESS:Generation -- RooMCStudy::run: sample 340
[#0] PROGRESS:Generation -- RooMCStudy::run: sample 335
[#0] PROGRESS:Generation -- RooMCStudy::run: sample 330
[#0] PROGRESS:Generation -- RooMCStudy::run: sample 325
[#0] PROGRESS:Generation -- RooMCStudy::run: sample 320
[#0] PROGRESS:Generation -- RooMCStudy::run: sample 315
[#0] PROGRESS:Generation -- RooMCStudy::run: sample 310
[#0] PROGRESS:Generation -- RooMCStudy::run: sample 305
[#0] PROGRESS:Generation -- RooMCStudy::run: sample 300
[#0] PROGRESS:Generation -- RooMCStudy::run: sample 295
[#0] PROGRESS:Generation -- RooMCStudy::run: sample 290
[#0] PROGRESS:Generation -- RooMCStudy::run: sample 285
[#0] PROGRESS:Generation -- RooMCStudy::run: sample 280
[#0] PROGRESS:Generation -- RooMCStudy::run: sample 275
[#0] PROGRESS:Generation -- RooMCStudy::run: sample 270
[#0] PROGRESS:Generation -- RooMCStudy::run: sample 265
[#0] PROGRESS:Generation -- RooMCStudy::run: sample 260
[#0] PROGRESS:Generation -- RooMCStudy::run: sample 255
[#0] PROGRESS:Generation -- RooMCStudy::run: sample 250
[#0] PROGRESS:Generation -- RooMCStudy::run: sample 245
[#0] PROGRESS:Generation -- RooMCStudy::run: sample 240
[#0] PROGRESS:Generation -- RooMCStudy::run: sample 235
[#0] PROGRESS:Generation -- RooMCStudy::run: sample 230
[#0] PROGRESS:Generation -- RooMCStudy::run: sample 225
[#0] PROGRESS:Generation -- RooMCStudy::run: sample 220
[#0] PROGRESS:Generation -- RooMCStudy::run: sample 215
[#0] PROGRESS:Generation -- RooMCStudy::run: sample 210
[#0] PROGRESS:Generation -- RooMCStudy::run: sample 205
[#0] PROGRESS:Generation -- RooMCStudy::run: sample 200
[#0] PROGRESS:Generation -- RooMCStudy::run: sample 195
[#0] PROGRESS:Generation -- RooMCStudy::run: sample 190
[#0] PROGRESS:Generation -- RooMCStudy::run: sample 185
[#0] PROGRESS:Generation -- RooMCStudy::run: sample 180
[#0] PROGRESS:Generation -- RooMCStudy::run: sample 175
[#0] PROGRESS:Generation -- RooMCStudy::run: sample 170
[#0] PROGRESS:Generation -- RooMCStudy::run: sample 165
[#0] PROGRESS:Generation -- RooMCStudy::run: sample 160
[#0] PROGRESS:Generation -- RooMCStudy::run: sample 155
[#0] PROGRESS:Generation -- RooMCStudy::run: sample 150
[#0] PROGRESS:Generation -- RooMCStudy::run: sample 145
[#0] PROGRESS:Generation -- RooMCStudy::run: sample 140
[#0] PROGRESS:Generation -- RooMCStudy::run: sample 135
[#0] PROGRESS:Generation -- RooMCStudy::run: sample 130
[#0] PROGRESS:Generation -- RooMCStudy::run: sample 125
[#0] PROGRESS:Generation -- RooMCStudy::run: sample 120
[#0] PROGRESS:Generation -- RooMCStudy::run: sample 115
[#0] PROGRESS:Generation -- RooMCStudy::run: sample 110
[#0] PROGRESS:Generation -- RooMCStudy::run: sample 105
[#0] PROGRESS:Generation -- RooMCStudy::run: sample 100
[#0] PROGRESS:Generation -- RooMCStudy::run: sample 95
[#0] PROGRESS:Generation -- RooMCStudy::run: sample 90
[#0] PROGRESS:Generation -- RooMCStudy::run: sample 85
[#0] PROGRESS:Generation -- RooMCStudy::run: sample 80
[#0] PROGRESS:Generation -- RooMCStudy::run: sample 75
[#0] PROGRESS:Generation -- RooMCStudy::run: sample 70
[#0] PROGRESS:Generation -- RooMCStudy::run: sample 65
[#0] PROGRESS:Generation -- RooMCStudy::run: sample 60
[#0] PROGRESS:Generation -- RooMCStudy::run: sample 55
[#0] PROGRESS:Generation -- RooMCStudy::run: sample 50
[#0] PROGRESS:Generation -- RooMCStudy::run: sample 45
[#0] PROGRESS:Generation -- RooMCStudy::run: sample 40
[#0] PROGRESS:Generation -- RooMCStudy::run: sample 35
[#0] PROGRESS:Generation -- RooMCStudy::run: sample 30
[#0] PROGRESS:Generation -- RooMCStudy::run: sample 25
[#0] PROGRESS:Generation -- RooMCStudy::run: sample 20
[#0] PROGRESS:Generation -- RooMCStudy::run: sample 15
[#0] PROGRESS:Generation -- RooMCStudy::run: sample 10
[#0] PROGRESS:Generation -- RooMCStudy::run: sample 5
[#0] PROGRESS:Generation -- RooMCStudy::run: sample 0
[#0] WARNING:Generation -- Fit parameter 'mtop' does not have an error. A pull distribution cannot be generated. This might be caused by the parameter being constant or because the fits were not run.
[#0] WARNING:Generation -- Fit parameter 'wtop' does not have an error. A pull distribution cannot be generated. This might be caused by the parameter being constant or because the fits were not run.
Date
July 2008
Author
Wouter Verkerke

Definition in file rf803_mcstudy_addons2.C.