Logo ROOT  
Reference Guide
 
Loading...
Searching...
No Matches
rf707_kernelestimation.C File Reference

Detailed Description

View in nbviewer Open in SWAN
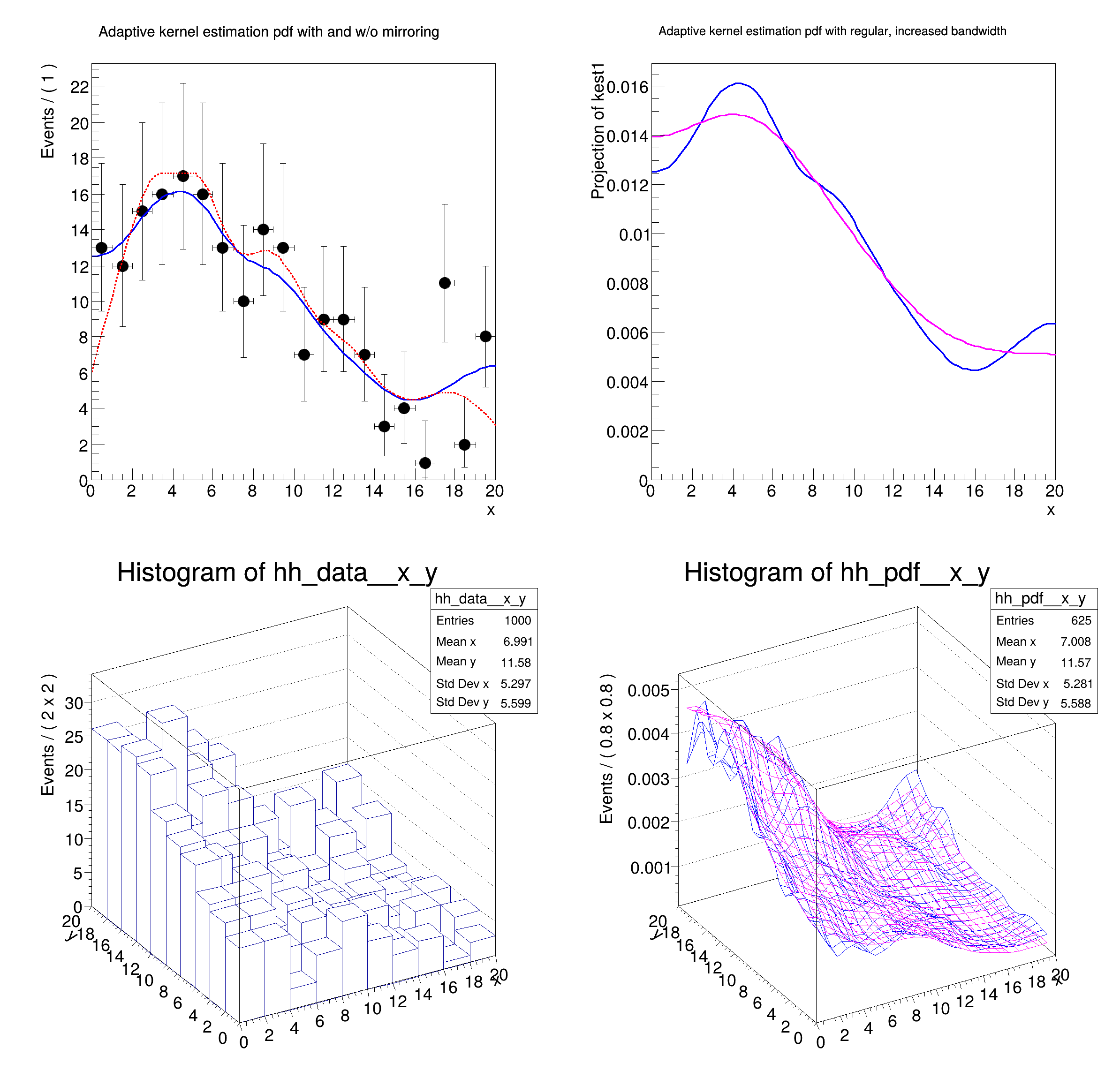
Special pdf's: using non-parametric (multi-dimensional) kernel estimation pdfs

#include "RooRealVar.h"
#include "RooDataSet.h"
#include "RooGaussian.h"
#include "RooPolynomial.h"
#include "RooKeysPdf.h"
#include "RooNDKeysPdf.h"
#include "RooProdPdf.h"
#include "TCanvas.h"
#include "TAxis.h"
#include "TH1.h"
#include "RooPlot.h"
using namespace RooFit;
{
// C r e a t e l o w s t a t s 1 - D d a t a s e t
// -------------------------------------------------------
// Create a toy pdf for sampling
RooRealVar x("x", "x", 0, 20);
RooPolynomial p("p", "p", x, RooArgList(0.01, -0.01, 0.0004));
// Sample 500 events from p
std::unique_ptr<RooDataSet> data1{p.generate(x, 200)};
// C r e a t e 1 - D k e r n e l e s t i m a t i o n p d f
// ---------------------------------------------------------------
// Create adaptive kernel estimation pdf. In this configuration the input data
// is mirrored over the boundaries to minimize edge effects in distribution
// that do not fall to zero towards the edges
// An adaptive kernel estimation pdf on the same data without mirroring option
// for comparison
RooKeysPdf kest2("kest2", "kest2", x, *data1, RooKeysPdf::NoMirror);
// Adaptive kernel estimation pdf with increased bandwidth scale factor
// (promotes smoothness over detail preservation)
RooKeysPdf kest3("kest1", "kest1", x, *data1, RooKeysPdf::MirrorBoth, 2);
// Plot kernel estimation pdfs with and without mirroring over data
RooPlot *frame = x.frame(Title("Adaptive kernel estimation pdf with and w/o mirroring"), Bins(20));
data1->plotOn(frame);
kest1.plotOn(frame);
kest2.plotOn(frame, LineStyle(kDashed), LineColor(kRed));
// Plot kernel estimation pdfs with regular and increased bandwidth
RooPlot *frame2 = x.frame(Title("Adaptive kernel estimation pdf with regular, increased bandwidth"));
kest1.plotOn(frame2);
kest3.plotOn(frame2, LineColor(kMagenta));
// C r e a t e l o w s t a t s 2 - D d a t a s e t
// -------------------------------------------------------
// Construct a 2D toy pdf for sampling
RooRealVar y("y", "y", 0, 20);
RooPolynomial py("py", "py", y, RooArgList(0.01, 0.01, -0.0004));
RooProdPdf pxy("pxy", "pxy", RooArgSet(p, py));
std::unique_ptr<RooDataSet> data2{pxy.generate({x, y}, 1000)};
// C r e a t e 2 - D k e r n e l e s t i m a t i o n p d f
// ---------------------------------------------------------------
// Create 2D adaptive kernel estimation pdf with mirroring
RooNDKeysPdf kest4("kest4", "kest4", RooArgSet(x, y), *data2, "am");
// Create 2D adaptive kernel estimation pdf with mirroring and double bandwidth
RooNDKeysPdf kest5("kest5", "kest5", RooArgSet(x, y), *data2, "am", 2);
// Create a histogram of the data
TH1 *hh_data = data2->createHistogram("hh_data", x, Binning(10), YVar(y, Binning(10)));
// Create histogram of the 2d kernel estimation pdfs
TH1 *hh_pdf = kest4.createHistogram("hh_pdf", x, Binning(25), YVar(y, Binning(25)));
TH1 *hh_pdf2 = kest5.createHistogram("hh_pdf2", x, Binning(25), YVar(y, Binning(25)));
hh_pdf->SetLineColor(kBlue);
hh_pdf2->SetLineColor(kMagenta);
TCanvas *c = new TCanvas("rf707_kernelestimation", "rf707_kernelestimation", 800, 800);
c->Divide(2, 2);
c->cd(1);
gPad->SetLeftMargin(0.15);
frame->GetYaxis()->SetTitleOffset(1.4);
frame->Draw();
c->cd(2);
gPad->SetLeftMargin(0.15);
frame2->GetYaxis()->SetTitleOffset(1.8);
frame2->Draw();
c->cd(3);
gPad->SetLeftMargin(0.15);
hh_data->GetZaxis()->SetTitleOffset(1.4);
hh_data->Draw("lego");
c->cd(4);
gPad->SetLeftMargin(0.20);
hh_pdf->GetZaxis()->SetTitleOffset(2.4);
hh_pdf->Draw("surf");
hh_pdf2->Draw("surfsame");
}
#define c(i)
Definition RSha256.hxx:101
@ kRed
Definition Rtypes.h:66
@ kMagenta
Definition Rtypes.h:66
@ kBlue
Definition Rtypes.h:66
@ kDashed
Definition TAttLine.h:48
ROOT::Detail::TRangeCast< T, true > TRangeDynCast
TRangeDynCast is an adapter class that allows the typed iteration through a TCollection.
winID h TVirtualViewer3D TVirtualGLPainter p
#define gPad
RooArgList is a container object that can hold multiple RooAbsArg objects.
Definition RooArgList.h:22
RooArgSet is a container object that can hold multiple RooAbsArg objects.
Definition RooArgSet.h:24
Class RooKeysPdf implements a one-dimensional kernel estimation p.d.f which model the distribution of...
Definition RooKeysPdf.h:24
Generic N-dimensional implementation of a kernel estimation p.d.f.
Plot frame and a container for graphics objects within that frame.
Definition RooPlot.h:45
static RooPlot * frame(const RooAbsRealLValue &var, double xmin, double xmax, Int_t nBins)
Create a new frame for a given variable in x.
Definition RooPlot.cxx:225
TAxis * GetYaxis() const
Definition RooPlot.cxx:1264
void Draw(Option_t *options=nullptr) override
Draw this plot and all of the elements it contains.
Definition RooPlot.cxx:637
RooPolynomial implements a polynomial p.d.f of the form.
Efficient implementation of a product of PDFs of the form.
Definition RooProdPdf.h:36
Variable that can be changed from the outside.
Definition RooRealVar.h:37
virtual void SetTitleOffset(Float_t offset=1)
Set distance between the axis and the axis title.
Definition TAttAxis.cxx:298
The Canvas class.
Definition TCanvas.h:23
TH1 is the base class of all histogram classes in ROOT.
Definition TH1.h:59
RooCmdArg YVar(const RooAbsRealLValue &var, const RooCmdArg &arg={})
RooCmdArg Binning(const RooAbsBinning &binning)
Double_t y[n]
Definition legend1.C:17
Double_t x[n]
Definition legend1.C:17
The namespace RooFit contains mostly switches that change the behaviour of functions of PDFs (or othe...
Definition JSONIO.h:26
Date
July 2008
Author
Wouter Verkerke

Definition in file rf707_kernelestimation.C.