Logo ROOT  
Reference Guide
 
Loading...
Searching...
No Matches
combinedFit.C File Reference

Detailed Description

View in nbviewer Open in SWAN
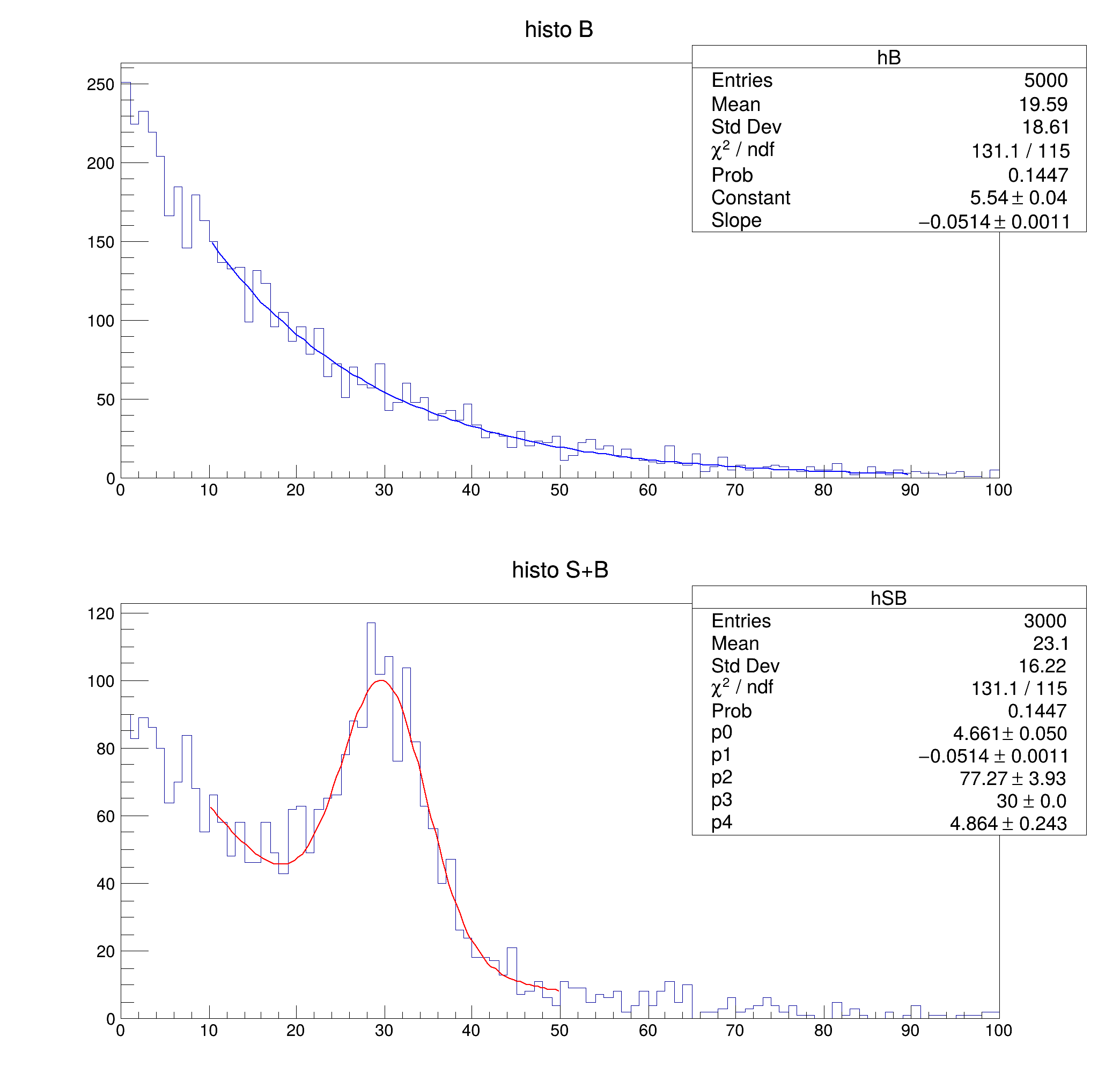
Combined (simultaneous) fit of two histogram with separate functions and some common parameters

See http://root.cern/phpBB3//viewtopic.php?f=3&t=11740#p50908 for a modified version working with Fumili or GSLMultiFit

N.B. this macro must be compiled with ACliC

****************************************
Minimizer is Minuit2 / Migrad
Chi2 = 131.104
NDf = 115
Edm = 2.11602e-08
NCalls = 225
Par_0 = 5.5396 +/- 0.0354094
Par_1 = 4.66089 +/- 0.050106
Par_2 = -0.0514037 +/- 0.00108539 (limited)
Par_3 = 77.2733 +/- 3.93105 (limited)
Par_4 = 30 (fixed)
Par_5 = 4.864 +/- 0.243005
Combined fit Chi2 = 131.104
#include <Fit/Fitter.h>
#include <Fit/BinData.h>
#include <Fit/Chi2FCN.h>
#include <TH1.h>
#include <HFitInterface.h>
#include <TCanvas.h>
#include <TStyle.h>
// definition of shared parameter
// background function
int iparB[2] = {
0, // exp amplitude in B histo
2 // exp common parameter
};
// signal + background function
int iparSB[5] = {
1, // exp amplitude in S+B histo
2, // exp common parameter
3, // Gaussian amplitude
4, // Gaussian mean
5 // Gaussian sigma
};
// Create the GlobalCHi2 structure
struct GlobalChi2 {
// parameter vector is first background (in common 1 and 2)
// and then is signal (only in 2)
double operator()(const double *par) const
{
double p1[2];
for (int i = 0; i < 2; ++i)
p1[i] = par[iparB[i]];
double p2[5];
for (int i = 0; i < 5; ++i)
p2[i] = par[iparSB[i]];
return (*fChi2_1)(p1) + (*fChi2_2)(p2);
}
};
void combinedFit()
{
TH1D *hB = new TH1D("hB", "histo B", 100, 0, 100);
TH1D *hSB = new TH1D("hSB", "histo S+B", 100, 0, 100);
TF1 *fB = new TF1("fB", "expo", 0, 100);
fB->SetParameters(1, -0.05);
hB->FillRandom("fB");
TF1 *fS = new TF1("fS", "gaus", 0, 100);
fS->SetParameters(1, 30, 5);
hSB->FillRandom("fB", 2000);
hSB->FillRandom("fS", 1000);
// perform now global fit
TF1 *fSB = new TF1("fSB", "expo + gaus(2)", 0, 100);
// set the data range
rangeB.SetRange(10, 90);
rangeSB.SetRange(10, 50);
const int Npar = 6;
double par0[Npar] = {5, 5, -0.1, 100, 30, 10};
// create before the parameter settings in order to fix or set range on them
fitter.Config().SetParamsSettings(6, par0);
// fix 5-th parameter
fitter.Config().ParSettings(4).Fix();
// set limits on the third and 4-th parameter
fitter.Config().ParSettings(2).SetLimits(-10, -1.E-4);
fitter.Config().ParSettings(3).SetLimits(0, 10000);
fitter.Config().ParSettings(3).SetStepSize(5);
fitter.Config().MinimizerOptions().SetPrintLevel(0);
fitter.Config().SetMinimizer("Minuit2", "Migrad");
// fit FCN function directly
// (specify optionally data size and flag to indicate that is a chi2 fit)
fitter.FitFCN(6, globalChi2, nullptr, dataB.Size() + dataSB.Size(), true);
result.Print(std::cout);
std::cout << "Combined fit Chi2 = " << result.Chi2() << std::endl;
TCanvas *c1 = new TCanvas("Simfit", "Simultaneous fit of two histograms", 10, 10, 700, 700);
c1->Divide(1, 2);
c1->cd(1);
gStyle->SetOptFit(1111);
fB->SetRange(rangeB().first, rangeB().second);
hB->GetListOfFunctions()->Add(fB);
hB->Draw();
c1->cd(2);
fSB->SetFitResult(result, iparSB);
fSB->SetRange(rangeSB().first, rangeSB().second);
fSB->SetLineColor(kRed);
hSB->GetListOfFunctions()->Add(fSB);
hSB->Draw();
}
@ kRed
Definition Rtypes.h:66
@ kBlue
Definition Rtypes.h:66
ROOT::Detail::TRangeCast< T, true > TRangeDynCast
TRangeDynCast is an adapter class that allows the typed iteration through a TCollection.
Option_t Option_t TPoint TPoint const char GetTextMagnitude GetFillStyle GetLineColor GetLineWidth GetMarkerStyle GetTextAlign GetTextColor GetTextSize void char Point_t Rectangle_t WindowAttributes_t Float_t Float_t Float_t Int_t Int_t UInt_t UInt_t Rectangle_t result
TRObject operator()(const T1 &t1) const
R__EXTERN TStyle * gStyle
Definition TStyle.h:442
Class describing the binned data sets : vectors of x coordinates, y values and optionally error on y ...
Definition BinData.h:52
class describing the range in the coordinates it supports multiple range in a coordinate.
Definition DataRange.h:35
class containing the result of the fit and all the related information (fitted parameter values,...
Definition FitResult.h:47
Fitter class, entry point for performing all type of fits.
Definition Fitter.h:79
const FitResult & Result() const
get fit result
Definition Fitter.h:397
bool FitFCN(unsigned int npar, Function &fcn, const double *params=nullptr, unsigned int dataSize=0, int fitType=0)
Fit using the a generic FCN function as a C++ callable object implementing double () (const double *)...
Definition Fitter.h:652
const FitConfig & Config() const
access to the fit configuration (const method)
Definition Fitter.h:425
Documentation for the abstract class IBaseFunctionMultiDim.
Definition IFunction.h:63
virtual void SetLineColor(Color_t lcolor)
Set the line color.
Definition TAttLine.h:42
The Canvas class.
Definition TCanvas.h:23
1-Dim function class
Definition TF1.h:234
virtual void SetRange(Double_t xmin, Double_t xmax)
Initialize the upper and lower bounds to draw the function.
Definition TF1.cxx:3560
virtual void SetParameters(const Double_t *params)
Definition TF1.h:685
virtual void SetFitResult(const ROOT::Fit::FitResult &result, const Int_t *indpar=nullptr)
Set the result from the fit parameter values, errors, chi2, etc... Optionally a pointer to a vector (...
Definition TF1.cxx:3387
1-D histogram with a double per channel (see TH1 documentation)
Definition TH1.h:925
void SetOptFit(Int_t fit=1)
The type of information about fit parameters printed in the histogram statistics box can be selected ...
Definition TStyle.cxx:1595
return c1
Definition legend1.C:41
TF1 * f1
Definition legend1.C:11
void FillData(BinData &dv, const TH1 *hist, TF1 *func=nullptr)
fill the data vector from a TH1.
DataOptions : simple structure holding the options on how the data are filled.
Definition DataOptions.h:28
Author
Lorenzo Moneta

Definition in file combinedFit.C.