Logo ROOT  
Reference Guide
 
Loading...
Searching...
No Matches
graphics Directory Reference
Directory dependency graph for graphics:

Files

 accessiblecolorschemes.C
  View in nbviewer Open in SWAN
Choosing an appropriate color scheme is essential for making results easy to understand and interpret.
 
 analyze.C
  View in nbviewer Open in SWAN
This macro produces the flowchart of TFormula::Analyze.
 
 anim.C
 Macro illustrating how to animate a picture using a Timer.
 
 annotation3d.C
  View in nbviewer Open in SWAN
This example show how to put some annotation on a 3D plot using 3D polylines.
 
 archi.C
  View in nbviewer Open in SWAN
This macro displays the ROOT architecture.
 
 arrows.C
  View in nbviewer Open in SWAN
Draw arrows.
 
 basic3d.C
  View in nbviewer Open in SWAN
Show 3-D polylines and markers.
 
 canvas.C
  View in nbviewer Open in SWAN
Example of primitives in a canvas.
 
 canvas2.C
  View in nbviewer Open in SWAN
Example of canvas partitioning.
 
 compile.C
  View in nbviewer Open in SWAN
This macro produces the flowchart of TFormula::Compile.
 
 crown.C
  View in nbviewer Open in SWAN
Draw crowns.
 
 diamond.C
  View in nbviewer Open in SWAN
Draw a diamond.
 
 earth.C
  View in nbviewer Open in SWAN
This tutorial illustrates the special contour options.
 
 ellipse.C
  View in nbviewer Open in SWAN
Draw ellipses.
 
 eval.C
  View in nbviewer Open in SWAN
This macro produces the flowchart of TFormula::Eval.
 
 event.C
  View in nbviewer Open in SWAN
Illustrate some basic primitives.
 
 feynman.C
  View in nbviewer Open in SWAN
Draw Feynman diagrams.
 
 first.C
  View in nbviewer Open in SWAN
Show some basic primitives.
 
 formula1.C
  View in nbviewer Open in SWAN
Display interpreted functions.
 
 formula1.py
  View in nbviewer Open in SWAN
TF1 example.
 
 framework.C
  View in nbviewer Open in SWAN
An example with basic graphics illustrating the Object Oriented User Interface of ROOT.
 
 gaxis.C
  View in nbviewer Open in SWAN
Simple example illustrating how to draw TGaxis objects in various formats.
 
 gaxis2.C
  View in nbviewer Open in SWAN
Example illustrating how to draw TGaxis with labels defined by a function.
 
 gaxis3.C
  View in nbviewer Open in SWAN
Example illustrating how to modify individual labels of a TGaxis.
 
 graph_edit_playback.C
 This macro plays a recorded ROOT session showing how to perform various interactive graphical editing operations.
 
 greyscale.C
  View in nbviewer Open in SWAN
Create grey scale of 200x200 boxes.
 
 gtime.C
 Example of a graph of data moving in time.
 
 inside.C
  View in nbviewer Open in SWAN
Test the IsInside methods of various graphics primitives.
 
 latex.C
  View in nbviewer Open in SWAN
This macro draws 5 Latex-style formula in a canvas and prints the canvas as a Postscript file.
 
 latex2.C
  View in nbviewer Open in SWAN
This macro draws 4 Latex-style formula in a canvas and prints the canvas as a Postscript file.
 
 latex3.C
  View in nbviewer Open in SWAN
Example illustrating a TPaveText with Latex inside.
 
 latex4.C
  View in nbviewer Open in SWAN
Draw the Greek letters as a table and save the result as GIF, PS, PDF and SVG files.
 
 latex5.C
  View in nbviewer Open in SWAN
This draws the Mathematical Symbols letters as a table and save the result as GIF, PS, PDF and SVG files.
 
 logscales.C
  View in nbviewer Open in SWAN
Draw parametric functions with log scales.
 
 mandelbrot.C
  View in nbviewer Open in SWAN
Using TExec to handle keyboard events and TComplex to draw the Mandelbrot set.
 
 markerwarning.C
  View in nbviewer Open in SWAN
This script illustrates the danger of using asymmetric symbols.
 
 mass_spectrum.C
  View in nbviewer Open in SWAN
This macro makes use of some basic graphics primitives such as line, arrow and text.
 
 multipalette.C
  View in nbviewer Open in SWAN
Draw color plots using different color palettes.
 
 palettes.C
  View in nbviewer Open in SWAN
This macro draws all the high definition palettes available in ROOT.
 
 pavetext.C
  View in nbviewer Open in SWAN
Draw a pave text.
 
 perceptualcolormap.C
  View in nbviewer Open in SWAN
A “Perceptual” colormap explicitly identifies a fixed value in the data.
 
 piechart.C
  View in nbviewer Open in SWAN
Pie chart example.
 
 polytest1.C
  View in nbviewer Open in SWAN
This macro is testing the "compacting" algorithm in TPadPainter.
 
 polytest2.C
  View in nbviewer Open in SWAN
This macro is testing the "compacting" algorithm in TPadPainter.
 
 pstable.C
  View in nbviewer Open in SWAN
Display all possible types of ROOT/Postscript characters.
 
 psview.C
  View in nbviewer Open in SWAN
An example how to display PS, EPS, PDF files in canvas.
 
 quarks.C
  View in nbviewer Open in SWAN
Example illustrating divided pads and Latex.
 
 save_batch.C
 This macro demonstrates batch image mode of web canvas When enabled - several images converted into JSON before all together provided to headless browser to produce image files.
 
 saveall.C
  View in nbviewer Open in SWAN
Creates many canvases and save as images or pdf.
 
 schroedinger_hydrogen.C
  View in nbviewer Open in SWAN
Plot the Amplitude of a Hydrogen Atom.
 
 splines_test.C
  View in nbviewer Open in SWAN
Examples of use of the spline classes.
 
 surfaces.C
  View in nbviewer Open in SWAN
Draw 2-Dim functions.
 
 surfaces.py
  View in nbviewer Open in SWAN
Surfaces example
 
 timeonaxis3.C
  View in nbviewer Open in SWAN
This example compares what the system time function gmtime and localtime give with what gives TGaxis.
 
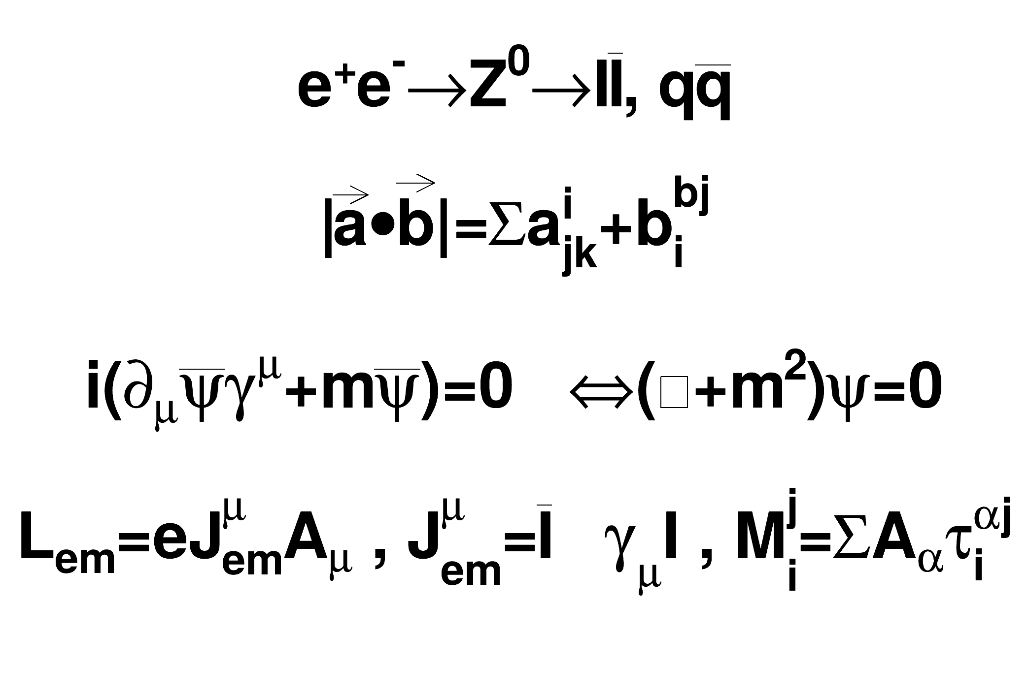
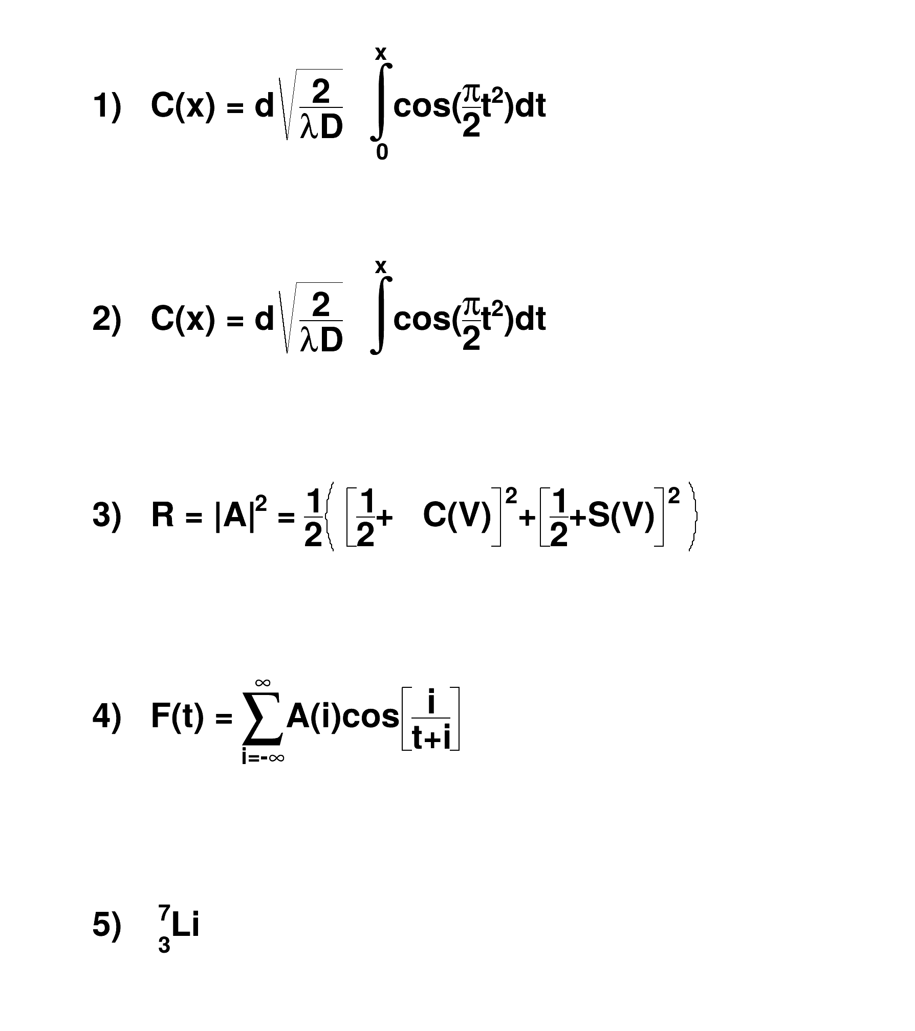
 tmathtext.C
  This macro draws various formula in a canvas.
 
 tmathtext2.C
  View in nbviewer Open in SWAN
This macro draw all possible symbols provided by TMathtext.
 
 tornado.C
  View in nbviewer Open in SWAN
Show 3-d polymarker.
 
 tornado.py
 Tornado example.
 
 transparency.C
  View in nbviewer Open in SWAN
This macro demonstrates the use of color transparency.
 
 triangles.C
  View in nbviewer Open in SWAN
Create small triangles at random positions on the canvas.
 
 xyplot.C
  View in nbviewer Open in SWAN
Example showing how to produce a plot with an orthogonal axis system centered at (0,0).