Logo ROOT  
Reference Guide
 
Loading...
Searching...
No Matches
TGraphQQ Class Reference

This class allows to draw quantile-quantile plots.

Plots can be drawn for 2 datasets or for a dataset and a theoretical distribution function

2 datasets:

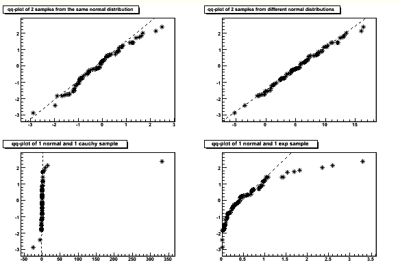
Quantile-quantile plots are used to determine whether 2 samples come from the same distribution. A qq-plot draws the quantiles of one dataset against the quantile of the the other. The quantiles of the dataset with fewer entries are on Y axis, with more entries - on X axis. A straight line, going through 0.25 and 0.75 quantiles is also plotted for reference. It represents a robust linear fit, not sensitive to the extremes of the datasets. If the datasets come from the same distribution, points of the plot should fall approximately on the 45 degrees line. If they have the same distribution function, but location or scale different parameters, they should still fall on the straight line, but not the 45 degrees one. The greater their departure from the straight line, the more evidence there is, that the datasets come from different distributions. The advantage of qq-plot is that it not only shows that the underlying distributions are different, but, unlike the analytical methods, it also gives information on the nature of this difference: heavier tails, different location/scale, different shape, etc.

Some examples of qqplots of 2 datasets:

1 dataset:

Quantile-quantile plots are used to determine if the dataset comes from the specified theoretical distribution, such as normal. A qq-plot draws quantiles of the dataset against quantiles of the specified theoretical distribution. (NOTE, that density, not CDF should be specified) A straight line, going through 0.25 and 0.75 quantiles can also be plotted for reference. It represents a robust linear fit, not sensitive to the extremes of the dataset. As in the 2 datasets case, departures from straight line indicate departures from the specified distribution.

"The correlation coefficient associated with the linear fit to the data in the probability plot (qq plot in our case) is a measure of the goodness of the fit. Estimates of the location and scale parameters of the distribution are given by the intercept and slope. Probability plots can be generated for several competing distributions to see which provides the best fit, and the probability plot generating the highest correlation coefficient is the best choice since it generates the straightest probability plot."

From "Engineering statistic handbook",

http://www.itl.nist.gov/div898/handbook/eda/section3/probplot.htm

Example of a qq-plot of a dataset from N(3, 2) distribution and TMath::Gaus(0, 1) theoretical function. Fitting parameters are estimates of the distribution mean and sigma.

References:

http://www.itl.nist.gov/div898/handbook/eda/section3/qqplot.htm

http://www.itl.nist.gov/div898/handbook/eda/section3/probplot.htm

Definition at line 18 of file TGraphQQ.h.

Public Member Functions

 TGraphQQ ()
 default constructor
 
 TGraphQQ (Int_t n, Double_t *x)
 Creates a quantile-quantile plot of dataset x.
 
 TGraphQQ (Int_t n, Double_t *x, TF1 *f)
 Creates a quantile-quantile plot of dataset x against function f.
 
 TGraphQQ (Int_t nx, Double_t *x, Int_t ny, Double_t *y)
 Creates a quantile-quantile plot of dataset x against dataset y Parameters nx and ny are respective array sizes.
 
 ~TGraphQQ () override
 Destroys a TGraphQQ.
 
TF1GetF () const
 
Double_t GetXq1 () const
 
Double_t GetXq2 () const
 
Double_t GetYq1 () const
 
Double_t GetYq2 () const
 
TClassIsA () const override
 
void SetFunction (TF1 *f)
 Sets the theoretical distribution function (density!) and computes its quantiles.
 
void Streamer (TBuffer &) override
 Stream an object of class TGraph.
 
void StreamerNVirtual (TBuffer &ClassDef_StreamerNVirtual_b)
 
- Public Member Functions inherited from TGraph
 TGraph ()
 Graph default constructor.
 
 TGraph (const char *filename, const char *format="%lg %lg", Option_t *option="")
 Graph constructor reading input from filename.
 
 TGraph (const TF1 *f, Option_t *option="")
 Graph constructor importing its parameters from the TF1 object passed as argument.
 
 TGraph (const TGraph &gr)
 Copy constructor for this graph.
 
 TGraph (const TH1 *h)
 Graph constructor importing its parameters from the TH1 object passed as argument.
 
 TGraph (const TVectorD &vx, const TVectorD &vy)
 Graph constructor with two vectors of doubles in input A graph is build with the X coordinates taken from vx and Y coord from vy The number of points in the graph is the minimum of number of points in vx and vy.
 
 TGraph (const TVectorF &vx, const TVectorF &vy)
 Graph constructor with two vectors of floats in input A graph is build with the X coordinates taken from vx and Y coord from vy The number of points in the graph is the minimum of number of points in vx and vy.
 
 TGraph (Int_t n)
 Constructor with only the number of points set the arrays x and y will be set later.
 
 TGraph (Int_t n, const Double_t *x, const Double_t *y)
 Graph normal constructor with doubles.
 
 TGraph (Int_t n, const Double_t *y, Double_t start=0., Double_t step=1.)
 Default X-Points constructor.
 
 TGraph (Int_t n, const Float_t *x, const Float_t *y)
 Graph normal constructor with floats.
 
 TGraph (Int_t n, const Int_t *x, const Int_t *y)
 Graph normal constructor with ints.
 
 ~TGraph () override
 Graph default destructor.
 
virtual void Add (TF1 *f, Double_t c1=1)
 Performs the operation: y = y + c1*f(x,y) Errors are not recalculated.
 
virtual void AddPoint (Double_t x, Double_t y)
 Append a new point to the graph.
 
virtual void Apply (TF1 *f)
 Apply function f to all the data points f may be a 1-D function TF1 or 2-d function TF2 The Y values of the graph are replaced by the new values computed using the function.
 
void Browse (TBrowser *b) override
 Browse.
 
virtual Double_t Chisquare (TF1 *f1, Option_t *option="") const
 Return the chisquare of this graph with respect to f1.
 
virtual void ComputeRange (Double_t &xmin, Double_t &ymin, Double_t &xmax, Double_t &ymax) const
 Compute the x/y range of the points in this graph.
 
Int_t DistancetoPrimitive (Int_t px, Int_t py) override
 Compute distance from point px,py to a graph.
 
void Draw (Option_t *chopt="") override
 Draw this graph with its current attributes.
 
virtual void DrawGraph (Int_t n, const Double_t *x=nullptr, const Double_t *y=nullptr, Option_t *option="")
 Draw this graph with new attributes.
 
virtual void DrawGraph (Int_t n, const Float_t *x, const Float_t *y, Option_t *option="")
 Draw this graph with new attributes.
 
virtual void DrawGraph (Int_t n, const Int_t *x, const Int_t *y, Option_t *option="")
 Draw this graph with new attributes.
 
virtual void DrawPanel ()
 Display a panel with all graph drawing options.
 
virtual Double_t Eval (Double_t x, TSpline *spline=nullptr, Option_t *option="") const
 Interpolate points in this graph at x using a TSpline.
 
void ExecuteEvent (Int_t event, Int_t px, Int_t py) override
 Execute action corresponding to one event.
 
virtual void Expand (Int_t newsize)
 If array sizes <= newsize, expand storage to 2*newsize.
 
virtual void Expand (Int_t newsize, Int_t step)
 If graph capacity is less than newsize points then make array sizes equal to least multiple of step to contain newsize points.
 
TObjectFindObject (const char *name) const override
 Search object named name in the list of functions.
 
TObjectFindObject (const TObject *obj) const override
 Search object obj in the list of functions.
 
virtual TFitResultPtr Fit (const char *formula, Option_t *option="", Option_t *goption="", Axis_t xmin=0, Axis_t xmax=0)
 Fit this graph with function with name fname.
 
virtual TFitResultPtr Fit (TF1 *f1, Option_t *option="", Option_t *goption="", Axis_t xmin=0, Axis_t xmax=0)
 Fit this graph with function f1.
 
virtual void FitPanel ()
 Display a GUI panel with all graph fit options.
 
virtual Double_t GetCorrelationFactor () const
 Return graph correlation factor.
 
virtual Double_t GetCovariance () const
 Return covariance of vectors x,y.
 
Bool_t GetEditable () const
 Return kTRUE if kNotEditable bit is not set, kFALSE otherwise.
 
virtual Double_t GetErrorX (Int_t bin) const
 It always returns a negative value. Real implementation in TGraphErrors.
 
virtual Double_t GetErrorXhigh (Int_t bin) const
 It always returns a negative value.
 
virtual Double_t GetErrorXlow (Int_t bin) const
 It always returns a negative value.
 
virtual Double_t GetErrorY (Int_t bin) const
 It always returns a negative value. Real implementation in TGraphErrors.
 
virtual Double_t GetErrorYhigh (Int_t bin) const
 It always returns a negative value.
 
virtual Double_t GetErrorYlow (Int_t bin) const
 It always returns a negative value.
 
virtual Double_tGetEX () const
 
virtual Double_tGetEXhigh () const
 
virtual Double_tGetEXhighd () const
 
virtual Double_tGetEXlow () const
 
virtual Double_tGetEXlowd () const
 
virtual Double_tGetEY () const
 
virtual Double_tGetEYhigh () const
 
virtual Double_tGetEYhighd () const
 
virtual Double_tGetEYlow () const
 
virtual Double_tGetEYlowd () const
 
TF1GetFunction (const char *name) const
 Return pointer to function with name.
 
virtual TH1FGetHistogram () const
 Returns a pointer to the histogram used to draw the axis Takes into account the two following cases.
 
TListGetListOfFunctions () const
 
Double_t GetMaximum () const
 
Int_t GetMaxSize () const
 
virtual Double_t GetMean (Int_t axis=1) const
 Return mean value of X (axis=1) or Y (axis=2)
 
Double_t GetMinimum () const
 
Int_t GetN () const
 
char * GetObjectInfo (Int_t px, Int_t py) const override
 Implementation to get information on point of graph at cursor position Adapted from class TH1.
 
virtual Int_t GetPoint (Int_t i, Double_t &x, Double_t &y) const
 Get x and y values for point number i.
 
virtual Double_t GetPointX (Int_t i) const
 Get x value for point i.
 
virtual Double_t GetPointY (Int_t i) const
 Get y value for point i.
 
virtual Double_t GetRMS (Int_t axis=1) const
 Return RMS of X (axis=1) or Y (axis=2)
 
Double_tGetX () const
 
TAxisGetXaxis () const
 Get x axis of the graph.
 
Double_tGetY () const
 
TAxisGetYaxis () const
 Get y axis of the graph.
 
virtual void InitExpo (Double_t xmin=0, Double_t xmax=0)
 Compute Initial values of parameters for an exponential.
 
virtual void InitGaus (Double_t xmin=0, Double_t xmax=0)
 Compute Initial values of parameters for a gaussian.
 
virtual void InitPolynom (Double_t xmin=0, Double_t xmax=0)
 Compute Initial values of parameters for a polynom.
 
virtual Int_t InsertPoint ()
 Insert a new point at the mouse position.
 
virtual void InsertPointBefore (Int_t ipoint, Double_t x, Double_t y)
 Insert a new point with coordinates (x,y) before the point number ipoint.
 
virtual Double_t Integral (Int_t first=0, Int_t last=-1) const
 Integrate the TGraph data within a given (index) range.
 
virtual Bool_t IsEditable () const
 
virtual Bool_t IsHighlight () const
 
virtual Int_t IsInside (Double_t x, Double_t y) const
 Return 1 if the point (x,y) is inside the polygon defined by the graph vertices 0 otherwise.
 
virtual void LeastSquareFit (Int_t m, Double_t *a, Double_t xmin=0, Double_t xmax=0)
 Least squares polynomial fitting without weights.
 
virtual void LeastSquareLinearFit (Int_t n, Double_t &a0, Double_t &a1, Int_t &ifail, Double_t xmin=0, Double_t xmax=0)
 Least square linear fit without weights.
 
virtual Int_t Merge (TCollection *list)
 Adds all graphs from the collection to this graph.
 
virtual void MovePoints (Double_t dx, Double_t dy, Bool_t logx=kFALSE, Bool_t logy=kFALSE)
 Move all graph points on specified values dx,dy If log argument specified, calculation done in logarithmic scale like: new_value = exp( log(old_value) + delta );.
 
TGraphoperator= (const TGraph &)
 Equal operator for this graph.
 
void Paint (Option_t *chopt="") override
 Draw this graph with its current attributes.
 
void PaintGraph (Int_t npoints, const Double_t *x, const Double_t *y, Option_t *chopt)
 Draw the (x,y) as a graph.
 
void PaintGrapHist (Int_t npoints, const Double_t *x, const Double_t *y, Option_t *chopt)
 Draw the (x,y) as a histogram.
 
virtual void PaintStats (TF1 *fit)
 Draw the stats.
 
void Print (Option_t *chopt="") const override
 Print graph values.
 
void RecursiveRemove (TObject *obj) override
 Recursively remove object from the list of functions.
 
virtual Int_t RemovePoint ()
 Delete point close to the mouse position Returns index of removed point (or -1 if nothing was changed)
 
virtual Int_t RemovePoint (Int_t ipoint)
 Delete point number ipoint Returns index of removed point (or -1 if nothing was changed)
 
void SaveAs (const char *filename="graph", Option_t *option="") const override
 Save the graph as .csv, .tsv or .txt.
 
void SavePrimitive (std::ostream &out, Option_t *option="") override
 Save primitive as a C++ statement(s) on output stream out.
 
virtual void Scale (Double_t c1=1., Option_t *option="y")
 Multiply the values of a TGraph by a constant c1.
 
virtual void Set (Int_t n)
 Set number of points in the graph Existing coordinates are preserved New coordinates above fNpoints are preset to 0.
 
virtual void SetEditable (Bool_t editable=kTRUE)
 if editable=kFALSE, the graph cannot be modified with the mouse by default a TGraph is editable
 
virtual void SetHighlight (Bool_t set=kTRUE)
 Set highlight (enable/disable) mode for the graph by default highlight mode is disable.
 
virtual void SetHistogram (TH1F *h)
 Set the histogram underlying the TGraph. This transfers the ownership of h to the TGraph. The preexisting fHistogram will be deleted.
 
virtual void SetMaximum (Double_t maximum=-1111)
 Set the maximum of the graph.
 
virtual void SetMinimum (Double_t minimum=-1111)
 Set the minimum of the graph.
 
void SetName (const char *name="") override
 Set graph name.
 
void SetNameTitle (const char *name="", const char *title="") override
 Set graph name and title.
 
virtual void SetOption (Option_t *option=" ")
 
virtual void SetPoint (Int_t i, Double_t x, Double_t y)
 Set x and y values for point number i.
 
virtual void SetPointX (Int_t i, Double_t x)
 Set x value for point i.
 
virtual void SetPointY (Int_t i, Double_t y)
 Set y value for point i.
 
virtual void SetStats (Bool_t stats=kTRUE)
 Set statistics option on/off.
 
void SetTitle (const char *title="") override
 Change (i.e.
 
virtual void Sort (Bool_t(*greater)(const TGraph *, Int_t, Int_t)=&TGraph::CompareX, Bool_t ascending=kTRUE, Int_t low=0, Int_t high=-1111)
 Sorts the points of this TGraph using in-place quicksort (see e.g.
 
void StreamerNVirtual (TBuffer &ClassDef_StreamerNVirtual_b)
 
void UseCurrentStyle () override
 Set current style settings in this graph This function is called when either TCanvas::UseCurrentStyle or TROOT::ForceStyle have been invoked.
 
void Zero (Int_t &k, Double_t AZ, Double_t BZ, Double_t E2, Double_t &X, Double_t &Y, Int_t maxiterations)
 Find zero of a continuous function.
 
- Public Member Functions inherited from TNamed
 TNamed ()
 
 TNamed (const char *name, const char *title)
 
 TNamed (const TNamed &named)
 TNamed copy ctor.
 
 TNamed (const TString &name, const TString &title)
 
virtual ~TNamed ()
 TNamed destructor.
 
void Clear (Option_t *option="") override
 Set name and title to empty strings ("").
 
TObjectClone (const char *newname="") const override
 Make a clone of an object using the Streamer facility.
 
Int_t Compare (const TObject *obj) const override
 Compare two TNamed objects.
 
void Copy (TObject &named) const override
 Copy this to obj.
 
virtual void FillBuffer (char *&buffer)
 Encode TNamed into output buffer.
 
const char * GetName () const override
 Returns name of object.
 
const char * GetTitle () const override
 Returns title of object.
 
ULong_t Hash () const override
 Return hash value for this object.
 
TClassIsA () const override
 
Bool_t IsSortable () const override
 
void ls (Option_t *option="") const override
 List TNamed name and title.
 
TNamedoperator= (const TNamed &rhs)
 TNamed assignment operator.
 
void Print (Option_t *option="") const override
 Print TNamed name and title.
 
virtual Int_t Sizeof () const
 Return size of the TNamed part of the TObject.
 
void Streamer (TBuffer &) override
 Stream an object of class TObject.
 
void StreamerNVirtual (TBuffer &ClassDef_StreamerNVirtual_b)
 
- Public Member Functions inherited from TObject
 TObject ()
 TObject constructor.
 
 TObject (const TObject &object) noexcept
 TObject copy ctor.
 
virtual ~TObject ()
 TObject destructor.
 
void AbstractMethod (const char *method) const
 Call this function within a function that you don't want to define as purely virtual, in order not to force all users deriving from that class to implement that maybe (on their side) unused function; but at the same time, emit a run-time warning if they try to call it, telling that it is not implemented in the derived class: action must thus be taken on the user side to override it.
 
virtual void AppendPad (Option_t *option="")
 Append graphics object to current pad.
 
ULong_t CheckedHash ()
 Check and record whether this class has a consistent Hash/RecursiveRemove setup (*) and then return the regular Hash value for this object.
 
virtual const char * ClassName () const
 Returns name of class to which the object belongs.
 
virtual void Delete (Option_t *option="")
 Delete this object.
 
virtual void DrawClass () const
 Draw class inheritance tree of the class to which this object belongs.
 
virtual TObjectDrawClone (Option_t *option="") const
 Draw a clone of this object in the current selected pad with: gROOT->SetSelectedPad(c1).
 
virtual void Dump () const
 Dump contents of object on stdout.
 
virtual void Error (const char *method, const char *msgfmt,...) const
 Issue error message.
 
virtual void Execute (const char *method, const char *params, Int_t *error=nullptr)
 Execute method on this object with the given parameter string, e.g.
 
virtual void Execute (TMethod *method, TObjArray *params, Int_t *error=nullptr)
 Execute method on this object with parameters stored in the TObjArray.
 
virtual void Fatal (const char *method, const char *msgfmt,...) const
 Issue fatal error message.
 
virtual Option_tGetDrawOption () const
 Get option used by the graphics system to draw this object.
 
virtual const char * GetIconName () const
 Returns mime type name of object.
 
virtual Option_tGetOption () const
 
virtual UInt_t GetUniqueID () const
 Return the unique object id.
 
virtual Bool_t HandleTimer (TTimer *timer)
 Execute action in response of a timer timing out.
 
Bool_t HasInconsistentHash () const
 Return true is the type of this object is known to have an inconsistent setup for Hash and RecursiveRemove (i.e.
 
virtual void Info (const char *method, const char *msgfmt,...) const
 Issue info message.
 
virtual Bool_t InheritsFrom (const char *classname) const
 Returns kTRUE if object inherits from class "classname".
 
virtual Bool_t InheritsFrom (const TClass *cl) const
 Returns kTRUE if object inherits from TClass cl.
 
virtual void Inspect () const
 Dump contents of this object in a graphics canvas.
 
void InvertBit (UInt_t f)
 
Bool_t IsDestructed () const
 IsDestructed.
 
virtual Bool_t IsEqual (const TObject *obj) const
 Default equal comparison (objects are equal if they have the same address in memory).
 
virtual Bool_t IsFolder () const
 Returns kTRUE in case object contains browsable objects (like containers or lists of other objects).
 
R__ALWAYS_INLINE Bool_t IsOnHeap () const
 
R__ALWAYS_INLINE Bool_t IsZombie () const
 
void MayNotUse (const char *method) const
 Use this method to signal that a method (defined in a base class) may not be called in a derived class (in principle against good design since a child class should not provide less functionality than its parent, however, sometimes it is necessary).
 
virtual Bool_t Notify ()
 This method must be overridden to handle object notification (the base implementation is no-op).
 
void Obsolete (const char *method, const char *asOfVers, const char *removedFromVers) const
 Use this method to declare a method obsolete.
 
void operator delete (void *, size_t)
 Operator delete for sized deallocation.
 
void operator delete (void *ptr)
 Operator delete.
 
void operator delete (void *ptr, void *vp)
 Only called by placement new when throwing an exception.
 
void operator delete[] (void *, size_t)
 Operator delete [] for sized deallocation.
 
void operator delete[] (void *ptr)
 Operator delete [].
 
void operator delete[] (void *ptr, void *vp)
 Only called by placement new[] when throwing an exception.
 
void * operator new (size_t sz)
 
void * operator new (size_t sz, void *vp)
 
void * operator new[] (size_t sz)
 
void * operator new[] (size_t sz, void *vp)
 
TObjectoperator= (const TObject &rhs) noexcept
 TObject assignment operator.
 
virtual void Pop ()
 Pop on object drawn in a pad to the top of the display list.
 
virtual Int_t Read (const char *name)
 Read contents of object with specified name from the current directory.
 
void ResetBit (UInt_t f)
 
void SetBit (UInt_t f)
 
void SetBit (UInt_t f, Bool_t set)
 Set or unset the user status bits as specified in f.
 
virtual void SetDrawOption (Option_t *option="")
 Set drawing option for object.
 
virtual void SetUniqueID (UInt_t uid)
 Set the unique object id.
 
void StreamerNVirtual (TBuffer &ClassDef_StreamerNVirtual_b)
 
virtual void SysError (const char *method, const char *msgfmt,...) const
 Issue system error message.
 
R__ALWAYS_INLINE Bool_t TestBit (UInt_t f) const
 
Int_t TestBits (UInt_t f) const
 
virtual void Warning (const char *method, const char *msgfmt,...) const
 Issue warning message.
 
virtual Int_t Write (const char *name=nullptr, Int_t option=0, Int_t bufsize=0)
 Write this object to the current directory.
 
virtual Int_t Write (const char *name=nullptr, Int_t option=0, Int_t bufsize=0) const
 Write this object to the current directory.
 
- Public Member Functions inherited from TAttLine
 TAttLine ()
 AttLine default constructor.
 
 TAttLine (Color_t lcolor, Style_t lstyle, Width_t lwidth)
 AttLine normal constructor.
 
virtual ~TAttLine ()
 AttLine destructor.
 
void Copy (TAttLine &attline) const
 Copy this line attributes to a new TAttLine.
 
Int_t DistancetoLine (Int_t px, Int_t py, Double_t xp1, Double_t yp1, Double_t xp2, Double_t yp2)
 Compute distance from point px,py to a line.
 
virtual Color_t GetLineColor () const
 Return the line color.
 
virtual Style_t GetLineStyle () const
 Return the line style.
 
virtual Width_t GetLineWidth () const
 Return the line width.
 
virtual void Modify ()
 Change current line attributes if necessary.
 
virtual void ResetAttLine (Option_t *option="")
 Reset this line attributes to default values.
 
virtual void SaveLineAttributes (std::ostream &out, const char *name, Int_t coldef=1, Int_t stydef=1, Int_t widdef=1)
 Save line attributes as C++ statement(s) on output stream out.
 
virtual void SetLineAttributes ()
 Invoke the DialogCanvas Line attributes.
 
virtual void SetLineColor (Color_t lcolor)
 Set the line color.
 
void SetLineColor (TColorNumber lcolor)
 
virtual void SetLineColorAlpha (Color_t lcolor, Float_t lalpha)
 Set a transparent line color.
 
virtual void SetLineStyle (Style_t lstyle)
 Set the line style.
 
virtual void SetLineWidth (Width_t lwidth)
 Set the line width.
 
void StreamerNVirtual (TBuffer &ClassDef_StreamerNVirtual_b)
 
- Public Member Functions inherited from TAttFill
 TAttFill ()
 AttFill default constructor.
 
 TAttFill (Color_t fcolor, Style_t fstyle)
 AttFill normal constructor.
 
virtual ~TAttFill ()
 AttFill destructor.
 
void Copy (TAttFill &attfill) const
 Copy this fill attributes to a new TAttFill.
 
virtual Color_t GetFillColor () const
 Return the fill area color.
 
virtual Style_t GetFillStyle () const
 Return the fill area style.
 
virtual Bool_t IsTransparent () const
 
virtual void Modify ()
 Change current fill area attributes if necessary.
 
virtual void ResetAttFill (Option_t *option="")
 Reset this fill attributes to default values.
 
virtual void SaveFillAttributes (std::ostream &out, const char *name, Int_t coldef=1, Int_t stydef=1001)
 Save fill attributes as C++ statement(s) on output stream out.
 
virtual void SetFillAttributes ()
 Invoke the DialogCanvas Fill attributes.
 
virtual void SetFillColor (Color_t fcolor)
 Set the fill area color.
 
void SetFillColor (TColorNumber)
 
virtual void SetFillColorAlpha (Color_t fcolor, Float_t falpha)
 Set a transparent fill color.
 
virtual void SetFillStyle (Style_t fstyle)
 Set the fill area style.
 
void StreamerNVirtual (TBuffer &ClassDef_StreamerNVirtual_b)
 
- Public Member Functions inherited from TAttMarker
 TAttMarker ()
 TAttMarker default constructor.
 
 TAttMarker (Color_t color, Style_t style, Size_t msize)
 TAttMarker normal constructor.
 
virtual ~TAttMarker ()
 TAttMarker destructor.
 
void Copy (TAttMarker &attmarker) const
 Copy this marker attributes to a new TAttMarker.
 
virtual Color_t GetMarkerColor () const
 Return the marker color.
 
virtual Size_t GetMarkerSize () const
 Return the marker size.
 
virtual Style_t GetMarkerStyle () const
 Return the marker style.
 
virtual void Modify ()
 Change current marker attributes if necessary.
 
virtual void ResetAttMarker (Option_t *toption="")
 Reset this marker attributes to the default values.
 
virtual void SaveMarkerAttributes (std::ostream &out, const char *name, Int_t coldef=1, Int_t stydef=1, Int_t sizdef=1)
 Save line attributes as C++ statement(s) on output stream out.
 
virtual void SetMarkerAttributes ()
 Invoke the DialogCanvas Marker attributes.
 
virtual void SetMarkerColor (Color_t mcolor=1)
 Set the marker color.
 
void SetMarkerColor (TColorNumber lcolor)
 
virtual void SetMarkerColorAlpha (Color_t mcolor, Float_t malpha)
 Set a transparent marker color.
 
virtual void SetMarkerSize (Size_t msize=1)
 Set the marker size.
 
virtual void SetMarkerStyle (Style_t mstyle=1)
 Set the marker style.
 
void StreamerNVirtual (TBuffer &ClassDef_StreamerNVirtual_b)
 

Static Public Member Functions

static TClassClass ()
 
static const char * Class_Name ()
 
static constexpr Version_t Class_Version ()
 
static const char * DeclFileName ()
 
- Static Public Member Functions inherited from TGraph
static TClassClass ()
 
static const char * Class_Name ()
 
static constexpr Version_t Class_Version ()
 
static Bool_t CompareArg (const TGraph *gr, Int_t left, Int_t right)
 Return kTRUE if point number "left"'s argument (angle with respect to positive x-axis) is bigger than that of point number "right".
 
static Bool_t CompareRadius (const TGraph *gr, Int_t left, Int_t right)
 Return kTRUE if point number "left"'s distance to origin is bigger than that of point number "right".
 
static Bool_t CompareX (const TGraph *gr, Int_t left, Int_t right)
 Return kTRUE if fX[left] > fX[right]. Can be used by Sort.
 
static Bool_t CompareY (const TGraph *gr, Int_t left, Int_t right)
 Return kTRUE if fY[left] > fY[right]. Can be used by Sort.
 
static const char * DeclFileName ()
 
- Static Public Member Functions inherited from TNamed
static TClassClass ()
 
static const char * Class_Name ()
 
static constexpr Version_t Class_Version ()
 
static const char * DeclFileName ()
 
- Static Public Member Functions inherited from TObject
static TClassClass ()
 
static const char * Class_Name ()
 
static constexpr Version_t Class_Version ()
 
static const char * DeclFileName ()
 
static Longptr_t GetDtorOnly ()
 Return destructor only flag.
 
static Bool_t GetObjectStat ()
 Get status of object stat flag.
 
static void SetDtorOnly (void *obj)
 Set destructor only flag.
 
static void SetObjectStat (Bool_t stat)
 Turn on/off tracking of objects in the TObjectTable.
 
- Static Public Member Functions inherited from TAttLine
static TClassClass ()
 
static const char * Class_Name ()
 
static constexpr Version_t Class_Version ()
 
static const char * DeclFileName ()
 
- Static Public Member Functions inherited from TAttFill
static TClassClass ()
 
static const char * Class_Name ()
 
static constexpr Version_t Class_Version ()
 
static const char * DeclFileName ()
 
- Static Public Member Functions inherited from TAttMarker
static TClassClass ()
 
static const char * Class_Name ()
 
static constexpr Version_t Class_Version ()
 
static const char * DeclFileName ()
 
static Width_t GetMarkerLineWidth (Style_t style)
 Internal helper function that returns the line width of the given marker style (0 = filled marker)
 
static Style_t GetMarkerStyleBase (Style_t style)
 Internal helper function that returns the corresponding marker style with line width 1 for the given style.
 

Protected Member Functions

void MakeFunctionQuantiles ()
 Computes quantiles of theoretical distribution function.
 
void MakeQuantiles ()
 When sample sizes are not equal, computes quantiles of the bigger sample by linear interpolation.
 
void Quartiles ()
 compute quartiles a quartile is a 25 per cent or 75 per cent quantile
 
- Protected Member Functions inherited from TGraph
virtual Double_t ** Allocate (Int_t newsize)
 Allocate internal data structures for newsize points.
 
Double_t ** AllocateArrays (Int_t Narrays, Int_t arraySize)
 Allocate arrays.
 
virtual void CopyAndRelease (Double_t **newarrays, Int_t ibegin, Int_t iend, Int_t obegin)
 Copy points from fX and fY to arrays[0] and arrays[1] or to fX and fY if arrays == 0 and ibegin != iend.
 
virtual Bool_t CopyPoints (Double_t **newarrays, Int_t ibegin, Int_t iend, Int_t obegin)
 Copy points from fX and fY to arrays[0] and arrays[1] or to fX and fY if arrays == 0 and ibegin != iend.
 
Bool_t CtorAllocate ()
 In constructors set fNpoints than call this method.
 
virtual Bool_t DoMerge (const TGraph *g)
 protected function to perform the merge operation of a graph
 
Double_t ** ExpandAndCopy (Int_t size, Int_t iend)
 if size > fMaxSize allocate new arrays of 2*size points and copy iend first points.
 
virtual void FillZero (Int_t begin, Int_t end, Bool_t from_ctor=kTRUE)
 Set zero values for point arrays in the range [begin, end) Should be redefined in descendant classes.
 
void SaveHistogramAndFunctions (std::ostream &out, const char *varname, Option_t *option)
 Save histogram and list of functions of TGraph as C++ statement Used in all TGraph-derived classes.
 
Double_t ** ShrinkAndCopy (Int_t size, Int_t iend)
 if size*2 <= fMaxSize allocate new arrays of size points, copy points [0,oend).
 
virtual void SwapPoints (Int_t pos1, Int_t pos2)
 Swap points.
 
virtual void UpdateArrays (const std::vector< Int_t > &sorting_indices, Int_t numSortedPoints, Int_t low)
 Update the fX and fY arrays with the sorted values.
 
- Protected Member Functions inherited from TNamed
void SavePrimitiveNameTitle (std::ostream &out, const char *variable_name)
 Save object name and title into the output stream "out".
 
- Protected Member Functions inherited from TObject
virtual void DoError (int level, const char *location, const char *fmt, va_list va) const
 Interface to ErrorHandler (protected).
 
void MakeZombie ()
 

Protected Attributes

TF1fF {nullptr}
 theoretical density function, if specified
 
Int_t fNy0 {0}
 size of the fY0 dataset
 
Double_t fXq1 {0.}
 x1 coordinate of the interquartile line
 
Double_t fXq2 {0.}
 x2 coordinate of the interquartile line
 
Double_tfY0 {nullptr}
 ! second dataset, if specified
 
Double_t fYq1 {0.}
 y1 coordinate of the interquartile line
 
Double_t fYq2 {0.}
 y2 coordinate of the interquartile line
 
- Protected Attributes inherited from TGraph
TListfFunctions
 Pointer to list of functions (fits and user)
 
TH1FfHistogram
 Pointer to histogram used for drawing axis.
 
Double_t fMaximum
 Maximum value for plotting along y.
 
Int_t fMaxSize
 !Current dimension of arrays fX and fY
 
Double_t fMinimum
 Minimum value for plotting along y.
 
Int_t fNpoints
 Number of points <= fMaxSize.
 
TString fOption
 Options used for drawing the graph.
 
Double_tfX
 [fNpoints] array of X points
 
Double_tfY
 [fNpoints] array of Y points
 
- Protected Attributes inherited from TNamed
TString fName
 
TString fTitle
 
- Protected Attributes inherited from TAttLine
Color_t fLineColor
 Line color.
 
Style_t fLineStyle
 Line style.
 
Width_t fLineWidth
 Line width.
 
- Protected Attributes inherited from TAttFill
Color_t fFillColor
 Fill area color.
 
Style_t fFillStyle
 Fill area style.
 
- Protected Attributes inherited from TAttMarker
Color_t fMarkerColor
 Marker color.
 
Size_t fMarkerSize
 Marker size.
 
Style_t fMarkerStyle
 Marker style.
 

Additional Inherited Members

- Public Types inherited from TGraph
enum  EStatusBits {
  kNoStats = (1ULL << ( 9 )) , kClipFrame = (1ULL << ( 10 )) , kResetHisto = (1ULL << ( 17 )) , kNotEditable = (1ULL << ( 18 )) ,
  kIsSortedX = (1ULL << ( 19 )) , kIsHighlight = (1ULL << ( 20 ))
}
 
- Public Types inherited from TObject
enum  {
  kIsOnHeap = 0x01000000 , kNotDeleted = 0x02000000 , kZombie = 0x04000000 , kInconsistent = 0x08000000 ,
  kBitMask = 0x00ffffff
}
 
enum  { kSingleKey = (1ULL << ( 0 )) , kOverwrite = (1ULL << ( 1 )) , kWriteDelete = (1ULL << ( 2 )) }
 
enum  EDeprecatedStatusBits { kObjInCanvas = (1ULL << ( 3 )) }
 
enum  EStatusBits {
  kCanDelete = (1ULL << ( 0 )) , kMustCleanup = (1ULL << ( 3 )) , kIsReferenced = (1ULL << ( 4 )) , kHasUUID = (1ULL << ( 5 )) ,
  kCannotPick = (1ULL << ( 6 )) , kNoContextMenu = (1ULL << ( 8 )) , kInvalidObject = (1ULL << ( 13 ))
}
 
- Protected Types inherited from TObject
enum  { kOnlyPrepStep = (1ULL << ( 3 )) }
 
- Static Protected Member Functions inherited from TGraph
static void SwapValues (Double_t *arr, Int_t pos1, Int_t pos2)
 Swap values.
 
- Static Protected Member Functions inherited from TObject
static void SavePrimitiveConstructor (std::ostream &out, TClass *cl, const char *variable_name, const char *constructor_agrs="", Bool_t empty_line=kTRUE)
 Save object constructor in the output stream "out".
 
static void SavePrimitiveDraw (std::ostream &out, const char *variable_name, Option_t *option=nullptr)
 Save invocation of primitive Draw() method Skipped if option contains "nodraw" string.
 
static TString SavePrimitiveVector (std::ostream &out, const char *prefix, Int_t len, Double_t *arr, Bool_t empty_line=kFALSE)
 Save array in the output stream "out" as vector.
 

#include <TGraphQQ.h>

Inheritance diagram for TGraphQQ:
[legend]

Constructor & Destructor Documentation

◆ TGraphQQ() [1/4]

TGraphQQ::TGraphQQ ( )

default constructor

Definition at line 91 of file TGraphQQ.cxx.

◆ TGraphQQ() [2/4]

TGraphQQ::TGraphQQ ( Int_t n,
Double_t * x )

Creates a quantile-quantile plot of dataset x.

Theoretical distribution function can be defined later by SetFunction method

Definition at line 99 of file TGraphQQ.cxx.

◆ TGraphQQ() [3/4]

TGraphQQ::TGraphQQ ( Int_t n,
Double_t * x,
TF1 * f )

Creates a quantile-quantile plot of dataset x against function f.

Definition at line 112 of file TGraphQQ.cxx.

◆ TGraphQQ() [4/4]

TGraphQQ::TGraphQQ ( Int_t nx,
Double_t * x,
Int_t ny,
Double_t * y )

Creates a quantile-quantile plot of dataset x against dataset y Parameters nx and ny are respective array sizes.

Definition at line 130 of file TGraphQQ.cxx.

◆ ~TGraphQQ()

TGraphQQ::~TGraphQQ ( )
override

Destroys a TGraphQQ.

Definition at line 171 of file TGraphQQ.cxx.

Member Function Documentation

◆ Class()

static TClass * TGraphQQ::Class ( )
static
Returns
TClass describing this class

◆ Class_Name()

static const char * TGraphQQ::Class_Name ( )
static
Returns
Name of this class

◆ Class_Version()

static constexpr Version_t TGraphQQ::Class_Version ( )
inlinestaticconstexpr
Returns
Version of this class

Definition at line 46 of file TGraphQQ.h.

◆ DeclFileName()

static const char * TGraphQQ::DeclFileName ( )
inlinestatic
Returns
Name of the file containing the class declaration

Definition at line 46 of file TGraphQQ.h.

◆ GetF()

TF1 * TGraphQQ::GetF ( ) const
inline

Definition at line 44 of file TGraphQQ.h.

◆ GetXq1()

Double_t TGraphQQ::GetXq1 ( ) const
inline

Definition at line 40 of file TGraphQQ.h.

◆ GetXq2()

Double_t TGraphQQ::GetXq2 ( ) const
inline

Definition at line 41 of file TGraphQQ.h.

◆ GetYq1()

Double_t TGraphQQ::GetYq1 ( ) const
inline

Definition at line 42 of file TGraphQQ.h.

◆ GetYq2()

Double_t TGraphQQ::GetYq2 ( ) const
inline

Definition at line 43 of file TGraphQQ.h.

◆ IsA()

TClass * TGraphQQ::IsA ( ) const
inlineoverridevirtual
Returns
TClass describing current object

Reimplemented from TGraph.

Definition at line 46 of file TGraphQQ.h.

◆ MakeFunctionQuantiles()

void TGraphQQ::MakeFunctionQuantiles ( )
protected

Computes quantiles of theoretical distribution function.

Definition at line 182 of file TGraphQQ.cxx.

◆ MakeQuantiles()

void TGraphQQ::MakeQuantiles ( )
protected

When sample sizes are not equal, computes quantiles of the bigger sample by linear interpolation.

Definition at line 214 of file TGraphQQ.cxx.

◆ Quartiles()

void TGraphQQ::Quartiles ( )
protected

compute quartiles a quartile is a 25 per cent or 75 per cent quantile

Definition at line 235 of file TGraphQQ.cxx.

◆ SetFunction()

void TGraphQQ::SetFunction ( TF1 * f)

Sets the theoretical distribution function (density!) and computes its quantiles.

Definition at line 261 of file TGraphQQ.cxx.

◆ Streamer()

void TGraphQQ::Streamer ( TBuffer & b)
overridevirtual

Stream an object of class TGraph.

Reimplemented from TGraph.

◆ StreamerNVirtual()

void TGraphQQ::StreamerNVirtual ( TBuffer & ClassDef_StreamerNVirtual_b)
inline

Definition at line 46 of file TGraphQQ.h.

Member Data Documentation

◆ fF

TF1* TGraphQQ::fF {nullptr}
protected

theoretical density function, if specified

Definition at line 26 of file TGraphQQ.h.

◆ fNy0

Int_t TGraphQQ::fNy0 {0}
protected

size of the fY0 dataset

Definition at line 20 of file TGraphQQ.h.

◆ fXq1

Double_t TGraphQQ::fXq1 {0.}
protected

x1 coordinate of the interquartile line

Definition at line 21 of file TGraphQQ.h.

◆ fXq2

Double_t TGraphQQ::fXq2 {0.}
protected

x2 coordinate of the interquartile line

Definition at line 22 of file TGraphQQ.h.

◆ fY0

Double_t* TGraphQQ::fY0 {nullptr}
protected

! second dataset, if specified

Definition at line 25 of file TGraphQQ.h.

◆ fYq1

Double_t TGraphQQ::fYq1 {0.}
protected

y1 coordinate of the interquartile line

Definition at line 23 of file TGraphQQ.h.

◆ fYq2

Double_t TGraphQQ::fYq2 {0.}
protected

y2 coordinate of the interquartile line

Definition at line 24 of file TGraphQQ.h.

Libraries for TGraphQQ:

The documentation for this class was generated from the following files: