Logo ROOT  
Reference Guide
 
Loading...
Searching...
No Matches
graphs Directory Reference
Directory dependency graph for graphs:

Files

 gr001_simple.C
  View in nbviewer Open in SWAN
This tutorial demonstrates how to create simple graphs in ROOT.
 
 gr001_simple.py
  View in nbviewer Open in SWAN
This tutorial demonstrates how to create simple graphs in ROOT.
 
 gr002_errors.C
  View in nbviewer Open in SWAN
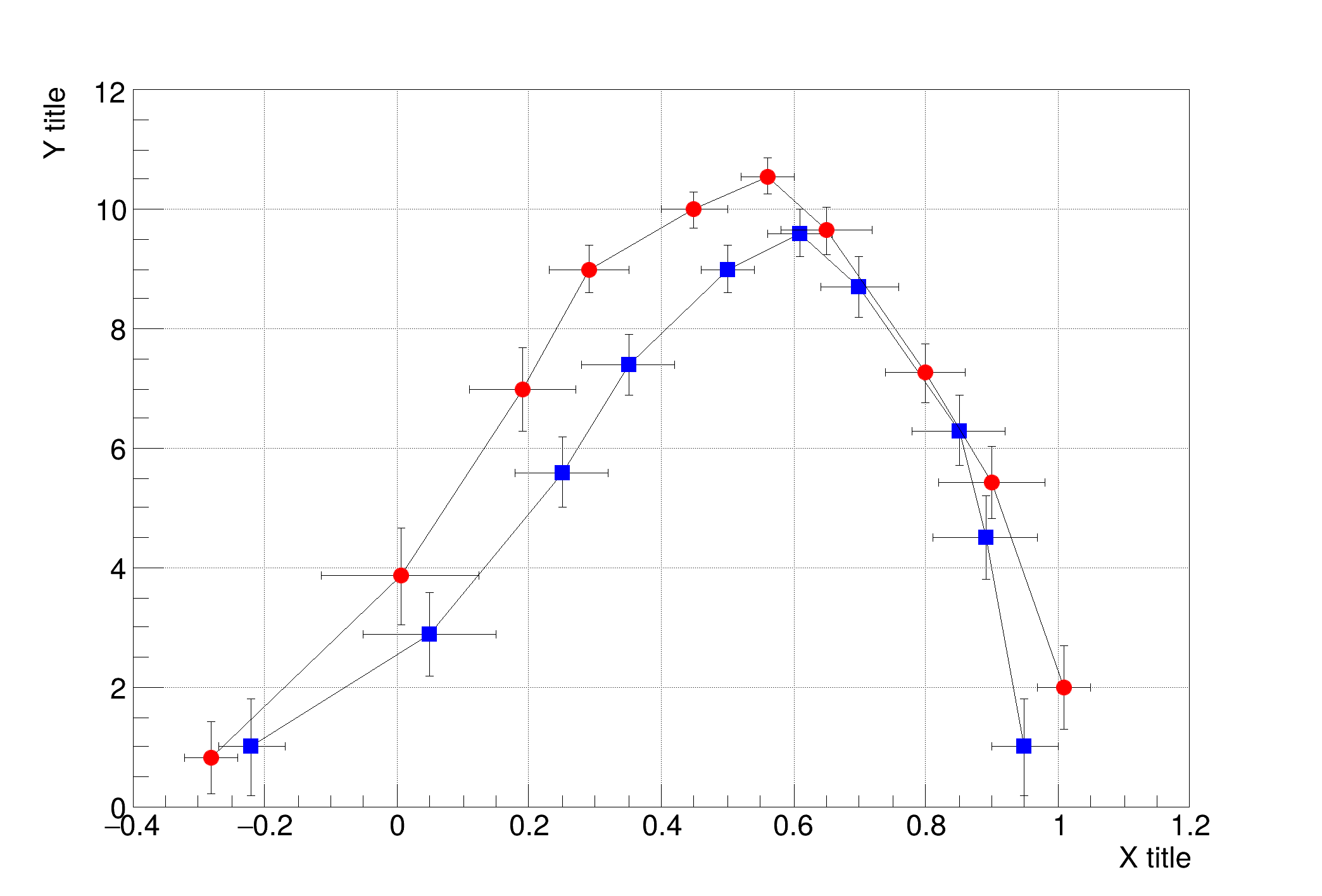
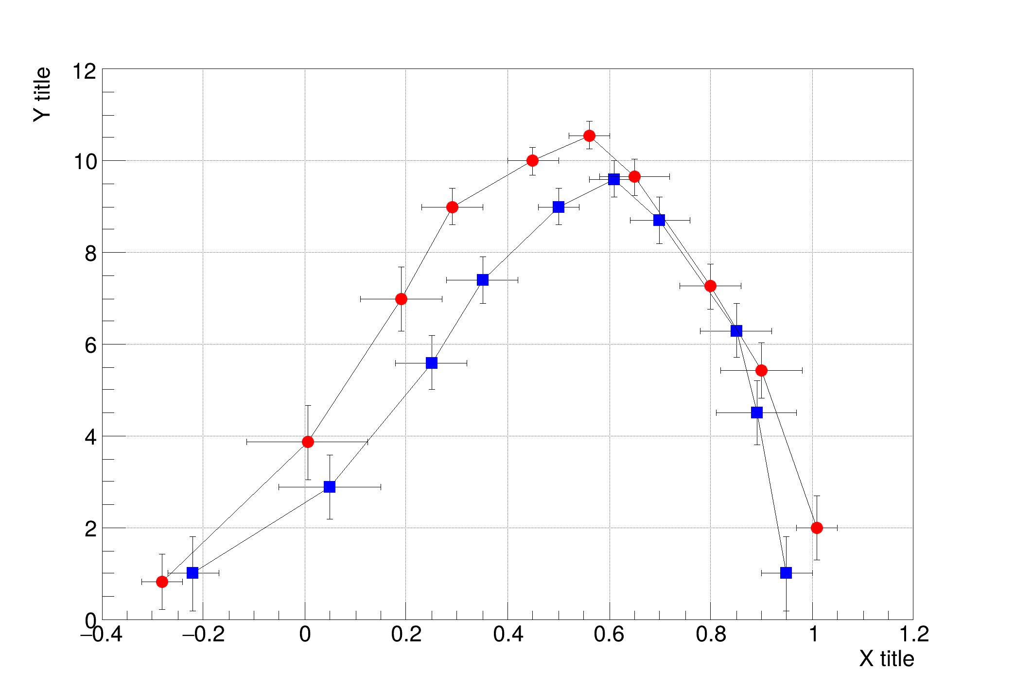
Create and draw a graph with error bars.
 
 gr002_errors.py
  View in nbviewer Open in SWAN
Create and draw a graph with error bars.
 
 gr003_errors2.C
  View in nbviewer Open in SWAN
Create and draw two graphs with error bars, superposed on the same canvas
 
 gr003_errors2.py
  View in nbviewer Open in SWAN
Create and draw two graphs with error bars, superposed on the same canvas
 
 gr004_errors_asym.C
  View in nbviewer Open in SWAN
This tutorial demonstrates the use of TGraphAsymmErrors to plot a graph with asymmetrical errors on both the x and y axes.
 
 gr004_errors_asym.py
  View in nbviewer Open in SWAN
This tutorial demonstrates the use of TGraphAsymmErrors to plot a graph with asymmetrical errors on both the x and y axes.
 
 gr005_apply.C
  View in nbviewer Open in SWAN
A macro to demonstrate the functionality of TGraph::Apply() method.
 
 gr005_apply.py
  View in nbviewer Open in SWAN
A macro to demonstrate the functionality of TGraph::Apply() method.
 
 gr006_scatter.C
  View in nbviewer Open in SWAN
Draw a scatter plot for 4 variables, mapped to: x, y, marker colour and marker size.
 
 gr006_scatter.py
  View in nbviewer Open in SWAN
Draw a scatter plot for 4 variables, mapped to: x, y, marker colour and marker size.
 
 gr007_multigraph.C
  View in nbviewer Open in SWAN
TMultiGraph is used to combine multiple graphs into one plot.
 
 gr007_multigraph.py
  View in nbviewer Open in SWAN
TMultiGraph is used to combine multiple graphs into one plot.
 
 gr008_multierrors.C
  View in nbviewer Open in SWAN
Draw a graph with multiple errors.
 
 gr009_bent_err.C
  View in nbviewer Open in SWAN
Graph with bent error bars.
 
 gr009_bent_err.py
  View in nbviewer Open in SWAN
Graph with bent error bars.
 
 gr010_approx_smooth.C
  View in nbviewer Open in SWAN
Create a TGraphSmooth and show the usage of the interpolation function Approx.
 
 gr010_approx_smooth.py
  View in nbviewer Open in SWAN
Create a TGraphSmooth and show the usage of the interpolation function Approx.
 
 gr011_graph2d_errorsfit.C
  View in nbviewer Open in SWAN
Create, draw and fit a TGraph2DErrors.
 
 gr011_graph2d_errorsfit.py
  View in nbviewer Open in SWAN
Create, draw and fit a TGraph2DErrors.
 
 gr012_polar.C
  View in nbviewer Open in SWAN
Create and draw a polar graph.
 
 gr012_polar.py
  View in nbviewer Open in SWAN
Create and draw a polar graph.
 
 gr013_polar2.C
  View in nbviewer Open in SWAN
Create and draw a polar graph with errors and polar axis in radians (PI fractions).
 
 gr013_polar2.py
  View in nbviewer Open in SWAN
Create and draw a polar graph with errors and polar axis in radians (PI fractions).
 
 gr014_polar3.C
  View in nbviewer Open in SWAN
Create a polar graph using a TF1 and draw it with PI axis.
 
 gr014_polar3.py
  View in nbviewer Open in SWAN
Create a polar graph using a TF1 and draw it with PI axis.
 
 gr015_smooth.C
  View in nbviewer Open in SWAN
Show scatter plot smoothers: ksmooth, lowess, supsmu, as described in: Modern Applied Statistics with S-Plus, 3rd Edition W.N.
 
 gr016_struct.C
  View in nbviewer Open in SWAN
Draw a simple graph structure.
 
 gr017_time.C
  View in nbviewer Open in SWAN
Example of TGraphTime.
 
 gr018_time2.C
  View in nbviewer Open in SWAN
Example of TGraphTime showing how the class could be used to visualize a set of particles with their time stamp in a MonteCarlo program.
 
 gr019_scatter2d.C
  View in nbviewer Open in SWAN
Draw a 2D scatter plot.
 
 gr101_shade_area.C
  View in nbviewer Open in SWAN
Show how to shade an area between two graphs.
 
 gr102_reverse_graph.C
  View in nbviewer Open in SWAN
This example tests the reverse graphs obtained with Draw("a pl rx ry ") on a TGraph, where rx and ry refere to the reversing of x and y axis.
 
 gr103_zones.C
  View in nbviewer Open in SWAN
Example of script showing how to divide a canvas into adjacent subpads + axis labels on the top and right side of the pads.
 
 gr103_zones.py
  View in nbviewer Open in SWAN
Example of script showing how to divide a canvas into adjacent subpads + axis labels on the top and right side of the pads.
 
 gr104_palettecolor.C
  View in nbviewer Open in SWAN
Palette coloring for graphs is activated thanks to the options PFC (Palette Fill Color), PLC (Palette Line Color) and AMC (Palette Marker Color).
 
 gr105_multigraphpalettecolor.C
  View in nbviewer Open in SWAN
Palette coloring for multi-graphs is activated thanks to the options PFC (Palette Fill Color), PLC (Palette Line Color) and AMC (Palette Marker Color).
 
 gr106_exclusiongraph.C
  View in nbviewer Open in SWAN
Draw three graphs with an exclusion zone.
 
 gr107_exclusiongraph2.C
  View in nbviewer Open in SWAN
Draw several graphs with exclusion zones.
 
 gr108_timeSeriesFromCSV.C
  View in nbviewer Open in SWAN
This macro illustrates the use of the time axis on a TGraph with data read from a text file containing the SWAN usage statistics during July 2017.
 
 gr108_timeSeriesFromCSV.py
  View in nbviewer Open in SWAN
This macro illustrates the use of the time axis on a TGraph with data read from a text file containing the SWAN usage statistics during July 2017.
 
 gr109_timeSeriesFromCSV_RDF.C
  View in nbviewer Open in SWAN
This macro illustrates the use of the time axis on a TGraph with data read from a text file containing the SWAN usage statistics during July 2017.
 
 gr110_logscale.C
  View in nbviewer Open in SWAN
This tutorial demonstrates how to set a logarithmic scale for the axes of a graph using the SetLogScale() method.
 
 gr111_legend.C
  View in nbviewer Open in SWAN
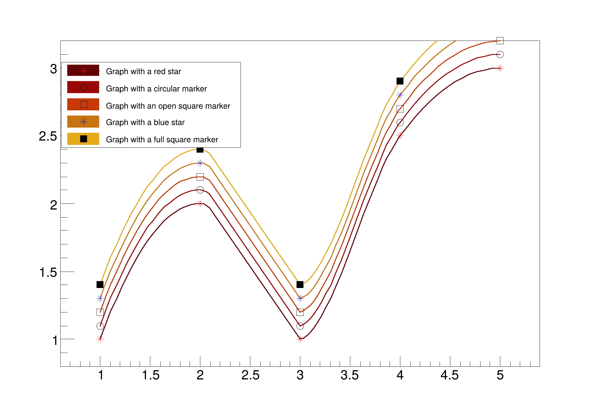
Simple graph with legend.
 
 gr112_reverse_graph_and_errors.C
  View in nbviewer Open in SWAN
This example tests all the various cases of reverse graphs obtained with Draw("a pl rx ry "), where rx and ry refer to the reversing of x and y axis.
 
 gr201_waves.C
  View in nbviewer Open in SWAN
Draw spherical waves interference.
 
 gr202_textmarkers.C
  View in nbviewer Open in SWAN
Draw a graph with text attached to each point.
 
 gr301_highlight1.C
  This tutorial demonstrates how to use the highlight mode on graph, thanks to the TCanvas HighlightConnect method.
 
 gr302_highlight2.C
  This tutorial demonstrates how to use the highlight mode on graph, thanks to the TCanvas HighlightConnect method.
 
 gr303_zdemo.C
  View in nbviewer Open in SWAN
This macro is an example of graphs in log scales with annotations.