Logo ROOT  
Reference Guide
 
Loading...
Searching...
No Matches
rf606_nllerrorhandling.py File Reference

Detailed Description

View in nbviewer Open in SWAN
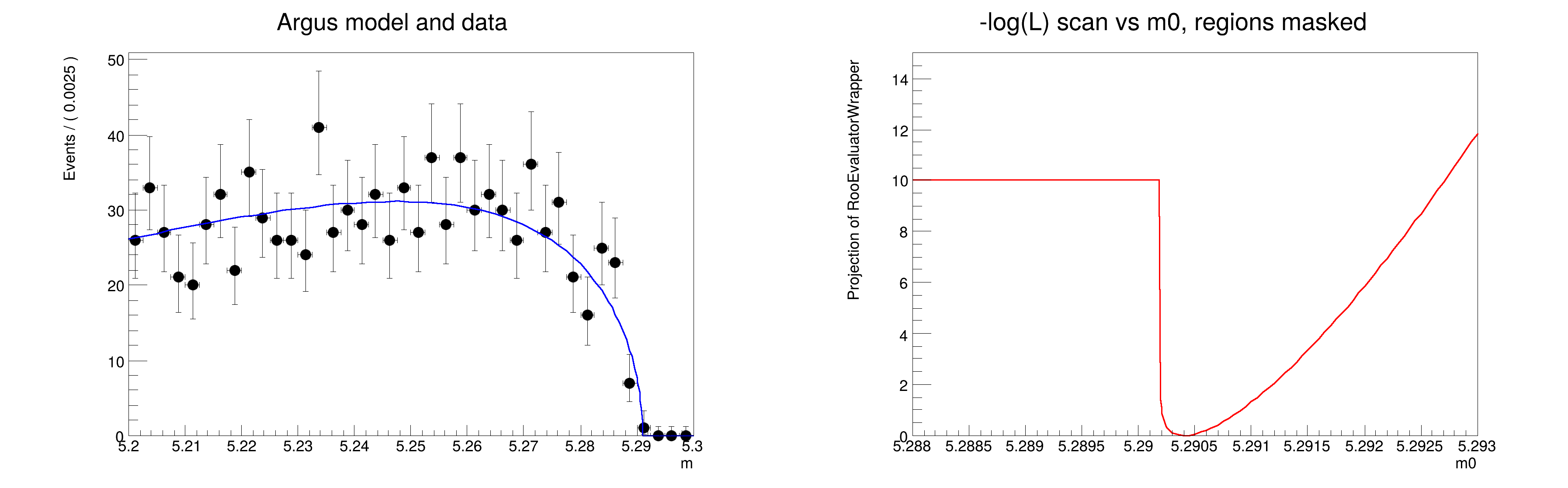
'LIKELIHOOD AND MINIMIZATION' RooFit tutorial macro #606

Understanding and customizing error handling in likelihood evaluations

import ROOT
# Create model and dataset
# ----------------------------------------------
# Observable
m = ROOT.RooRealVar("m", "m", 5.20, 5.30)
# Parameters
m0 = ROOT.RooRealVar("m0", "m0", 5.291, 5.20, 5.30)
k = ROOT.RooRealVar("k", "k", -30, -50, -10)
# Pdf
argus = ROOT.RooArgusBG("argus", "argus", m, m0, k)
# Sample 1000 events in m from argus
data = argus.generate({m}, 1000)
# Plot model and data
# --------------------------------------
frame1 = m.frame(Bins=40, Title="Argus model and data")
data.plotOn(frame1)
argus.plotOn(frame1)
# Fit model to data
# ---------------------------------
# The ARGUS background shape has a sharp kinematic cutoff at m=m0
# and is prone to evaluation errors if the cutoff parameter m0
# is floated: when the pdf cutoff value is lower than that in data
# events with m>m0 will have zero probability
# Perform unbinned ML fit. Print detailed error messages for up to
# 10 events per likelihood evaluation. The default error handling strategy
# is to return a very high value of the likelihood to MINUIT if errors occur,
# which will force MINUIT to retreat from the problematic area
argus.fitTo(data, PrintEvalErrors=10)
# Perform another fit. In self configuration only the number of errors per
# likelihood evaluation is shown, it is greater than zero. The
# EvalErrorWall(kFALSE) arguments disables the default error handling strategy
# and will cause the actual (problematic) value of the likelihood to be passed
# to MINUIT.
#
# NB: Use of self option is NOT recommended as default strategt as broken -log(L) values
# can often be lower than 'good' ones because offending events are removed.
# ROOT.This may effectively create a False minimum in problem areas. ROOT.This is clearly
# illustrated in the second plot
argus.fitTo(data, PrintEvalErrors=0, EvalErrorWall=False)
# Plot likelihood as function of m0
# ------------------------------------------------------------------
# Construct likelihood function of model and data
nll = argus.createNLL(data)
# Plot likelihood in m0 in range that includes problematic values
# In self configuration no messages are printed for likelihood evaluation errors,
# but if an likelihood value evaluates with error, corresponding value
# on the curve will be set to the value given in EvalErrorValue().
frame2 = m0.frame(Range=(5.288, 5.293), Title="-log(L) scan vs m0, regions masked")
nll.plotOn(frame2, ShiftToZero=True, PrintEvalErrors=-1, EvalErrorValue=(nll.getVal() + 10), LineColor="r")
c = ROOT.TCanvas("rf606_nllerrorhandling", "rf606_nllerrorhandling", 1200, 400)
c.cd(1)
frame1.GetYaxis().SetTitleOffset(1.4)
c.cd(2)
frame2.GetYaxis().SetTitleOffset(1.4)
c.SaveAs("rf606_nllerrorhandling.png")
ROOT::Detail::TRangeCast< T, true > TRangeDynCast
TRangeDynCast is an adapter class that allows the typed iteration through a TCollection.
[#1] INFO:Fitting -- RooAbsPdf::fitTo(argus_over_argus_Int[m]) fixing normalization set for coefficient determination to observables in data
[#1] INFO:Fitting -- using generic CPU library compiled with no vectorizations
[#1] INFO:Fitting -- Creation of NLL object took 912.433 μs
[#1] INFO:Fitting -- RooAddition::defaultErrorLevel(nll_argus_over_argus_Int[m]_argusData) Summation contains a RooNLLVar, using its error level
[#1] INFO:Minimization -- RooAbsMinimizerFcn::setOptimizeConst: activating const optimization
[#1] INFO:Minimization -- [fitFCN] No discrete parameters, performing continuous minimization only
Minuit2Minimizer: Minimize with max-calls 1000 convergence for edm < 1 strategy 1
RooAbsMinimizerFcn: Minimized function has error status.
Returning maximum FCN so far (-2417.08) to force MIGRAD to back out of this region. Error log follows.
Parameter values: k=-33.8075 m0=5.29014
RooFit::Detail::RooNormalizedPdf::argus_over_argus_Int[m][ numerator=argus denominator=argus_Int[m] ]
getLogVal() top-level p.d.f not greater than zero @ numerator=argus=0.387202, denominator=argus_Int[m]=0.0305662
RooAbsMinimizerFcn: Minimized function has error status.
Returning maximum FCN so far (-2417.08) to force MIGRAD to back out of this region. Error log follows.
Parameter values: k=-36.7074 m0=5.2901
RooFit::Detail::RooNormalizedPdf::argus_over_argus_Int[m][ numerator=argus denominator=argus_Int[m] ]
getLogVal() top-level p.d.f not greater than zero @ numerator=argus=0.370612, denominator=argus_Int[m]=0.0290505
Minuit2Minimizer : Valid minimum - status = 0
FVAL = -2419.30692128725559
Edm = 2.90497786168460102e-06
Nfcn = 47
k = -35.3713 +/- 3.51942 (limited)
m0 = 5.2904 +/- 0.000261877 (limited)
[#1] INFO:Minimization -- RooAbsMinimizerFcn::setOptimizeConst: deactivating const optimization
[#1] INFO:Fitting -- RooAbsPdf::fitTo(argus_over_argus_Int[m]) fixing normalization set for coefficient determination to observables in data
[#1] INFO:Fitting -- Creation of NLL object took 131.531 μs
[#1] INFO:Fitting -- RooAddition::defaultErrorLevel(nll_argus_over_argus_Int[m]_argusData) Summation contains a RooNLLVar, using its error level
[#1] INFO:Minimization -- RooAbsMinimizerFcn::setOptimizeConst: activating const optimization
[#1] INFO:Minimization -- [fitFCN] No discrete parameters, performing continuous minimization only
Minuit2Minimizer: Minimize with max-calls 1000 convergence for edm < 1 strategy 1
RooAbsMinimizerFcn: Minimized function has error status but is ignored.
Parameter values: k=-35.3713 m0=5.28877
RooFit::Detail::RooNormalizedPdf::argus_over_argus_Int[m][ numerator=argus denominator=argus_Int[m] ] has 4 errors
RooAbsMinimizerFcn: Minimized function has error status but is ignored.
Parameter values: k=-35.3713 m0=nan
RooFit::Detail::RooNormalizedPdf::argus_over_argus_Int[m][ numerator=argus denominator=argus_Int[m] ] has 2000 errors
RooAbsMinimizerFcn: Minimized function has error status but is ignored.
Parameter values: k=-35.3713 m0=nan
RooFit::Detail::RooNormalizedPdf::argus_over_argus_Int[m][ numerator=argus denominator=argus_Int[m] ] has 2000 errors
RooAbsMinimizerFcn: Minimized function has error status but is ignored.
Parameter values: k=-35.3713 m0=nan
RooFit::Detail::RooNormalizedPdf::argus_over_argus_Int[m][ numerator=argus denominator=argus_Int[m] ] has 2000 errors
RooAbsMinimizerFcn: Minimized function has error status but is ignored.
Parameter values: k=-35.3713 m0=nan
RooFit::Detail::RooNormalizedPdf::argus_over_argus_Int[m][ numerator=argus denominator=argus_Int[m] ] has 2000 errors
RooAbsMinimizerFcn: Minimized function has error status but is ignored.
Parameter values: k=nan m0=nan
RooFit::Detail::RooNormalizedPdf::argus_over_argus_Int[m][ numerator=argus denominator=argus_Int[m] ] has 2000 errors
RooAbsMinimizerFcn: Minimized function has error status but is ignored.
Parameter values: k=nan m0=nan
RooFit::Detail::RooNormalizedPdf::argus_over_argus_Int[m][ numerator=argus denominator=argus_Int[m] ] has 2000 errors
RooAbsMinimizerFcn: Minimized function has error status but is ignored.
Parameter values: k=nan m0=nan
RooFit::Detail::RooNormalizedPdf::argus_over_argus_Int[m][ numerator=argus denominator=argus_Int[m] ] has 2000 errors
RooAbsMinimizerFcn: Minimized function has error status but is ignored.
Parameter values: k=nan m0=nan
RooFit::Detail::RooNormalizedPdf::argus_over_argus_Int[m][ numerator=argus denominator=argus_Int[m] ] has 2000 errors
RooAbsMinimizerFcn: Minimized function has error status but is ignored.
Parameter values: k=nan m0=nan
RooFit::Detail::RooNormalizedPdf::argus_over_argus_Int[m][ numerator=argus denominator=argus_Int[m] ] has 2000 errors
RooAbsMinimizerFcn: Minimized function has error status but is ignored.
Parameter values: k=nan m0=nan
RooFit::Detail::RooNormalizedPdf::argus_over_argus_Int[m][ numerator=argus denominator=argus_Int[m] ] has 2000 errors
RooAbsMinimizerFcn: Minimized function has error status but is ignored.
Parameter values: k=nan m0=nan
RooFit::Detail::RooNormalizedPdf::argus_over_argus_Int[m][ numerator=argus denominator=argus_Int[m] ] has 2000 errors
RooAbsMinimizerFcn: Minimized function has error status but is ignored.
Parameter values: k=nan m0=nan
RooFit::Detail::RooNormalizedPdf::argus_over_argus_Int[m][ numerator=argus denominator=argus_Int[m] ] has 2000 errors
RooAbsMinimizerFcn: Minimized function has error status but is ignored.
Parameter values: k=nan m0=nan
RooFit::Detail::RooNormalizedPdf::argus_over_argus_Int[m][ numerator=argus denominator=argus_Int[m] ] has 2000 errors
RooAbsMinimizerFcn: Minimized function has error status but is ignored.
Parameter values: k=nan m0=nan
RooFit::Detail::RooNormalizedPdf::argus_over_argus_Int[m][ numerator=argus denominator=argus_Int[m] ] has 2000 errors
RooAbsMinimizerFcn: Minimized function has error status but is ignored.
Parameter values: k=nan m0=nan
RooFit::Detail::RooNormalizedPdf::argus_over_argus_Int[m][ numerator=argus denominator=argus_Int[m] ] has 2000 errors
RooAbsMinimizerFcn: Minimized function has error status but is ignored.
Parameter values: k=-35.3713 m0=nan
RooFit::Detail::RooNormalizedPdf::argus_over_argus_Int[m][ numerator=argus denominator=argus_Int[m] ] has 2000 errors
RooAbsMinimizerFcn: Minimized function has error status but is ignored.
Parameter values: k=-35.3713 m0=nan
RooFit::Detail::RooNormalizedPdf::argus_over_argus_Int[m][ numerator=argus denominator=argus_Int[m] ] has 2000 errors
RooAbsMinimizerFcn: Minimized function has error status but is ignored.
Parameter values: k=-35.3713 m0=5.27133
RooFit::Detail::RooNormalizedPdf::argus_over_argus_Int[m][ numerator=argus denominator=argus_Int[m] ] has 166 errors
RooAbsMinimizerFcn: Minimized function has error status but is ignored.
Parameter values: k=-35.3713 m0=5.28726
RooFit::Detail::RooNormalizedPdf::argus_over_argus_Int[m][ numerator=argus denominator=argus_Int[m] ] has 9 errors
RooAbsMinimizerFcn: Minimized function has error status but is ignored.
Parameter values: k=-35.3713 m0=5.2898
RooFit::Detail::RooNormalizedPdf::argus_over_argus_Int[m][ numerator=argus denominator=argus_Int[m] ] has 1 errors
Minuit2Minimizer : Invalid minimum - status = 3
FVAL = -2419.31
Edm = -nan
Nfcn = 34
RooAbsMinimizerFcn: Minimized function has error status but is ignored.
Parameter values: k=-35.3713 m0=5.2898
RooFit::Detail::RooNormalizedPdf::argus_over_argus_Int[m][ numerator=argus denominator=argus_Int[m] ] has 1 errors
RooAbsMinimizerFcn: Minimized function has error status but is ignored.
Parameter values: k=-35.3713 m0=5.28374
RooFit::Detail::RooNormalizedPdf::argus_over_argus_Int[m][ numerator=argus denominator=argus_Int[m] ] has 44 errors
RooAbsMinimizerFcn: Minimized function has error status but is ignored.
Parameter values: k=-35.3713 m0=5.27133
RooFit::Detail::RooNormalizedPdf::argus_over_argus_Int[m][ numerator=argus denominator=argus_Int[m] ] has 166 errors
RooAbsMinimizerFcn: Minimized function has error status but is ignored.
Parameter values: k=-35.3713 m0=5.28726
RooFit::Detail::RooNormalizedPdf::argus_over_argus_Int[m][ numerator=argus denominator=argus_Int[m] ] has 9 errors
RooAbsMinimizerFcn: Minimized function has error status but is ignored.
Parameter values: k=-35.3713 m0=5.2898
RooFit::Detail::RooNormalizedPdf::argus_over_argus_Int[m][ numerator=argus denominator=argus_Int[m] ] has 1 errors
[#1] INFO:Minimization -- RooAbsMinimizerFcn::setOptimizeConst: deactivating const optimization
[#1] INFO:Fitting -- RooAbsPdf::fitTo(argus_over_argus_Int[m]) fixing normalization set for coefficient determination to observables in data
[#1] INFO:Fitting -- Creation of NLL object took 183.462 μs
Date
February 2018
Authors
Clemens Lange, Wouter Verkerke (C version)

Definition in file rf606_nllerrorhandling.py.